Электрохимический синтез оксикобаламина гидрохлорида
- Authors: Конарев А.А.1
-
Affiliations:
- «ГНЦ «НИОПИК»
- Issue: Vol 98, No 1 (2025)
- Pages: 4-18
- Section: Неорганический синтез и технология неорганических производств
- URL: https://journals.rcsi.science/0044-4618/article/view/288613
- DOI: https://doi.org/10.31857/S0044461825010018
- EDN: https://elibrary.ru/LKFJEL
- ID: 288613
Cite item
Full Text
Abstract
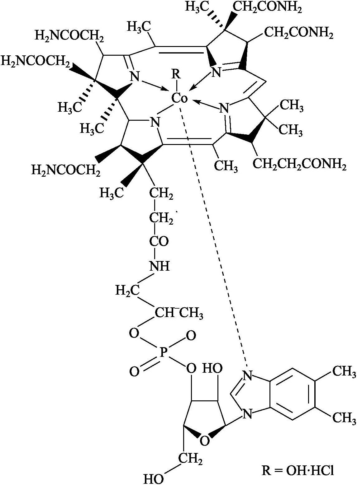
Исследовано влияние условий (материала катода, плотности тока, температуры, концентрации исходного вещества и соляной кислоты) на препаративный электросинтез оксикобаламина гидрохлорида (ОК) восстановлением витамина В12 в кислой среде, на выход целевого продукта и его качество (подлинность, содержание основного вещества, рН раствора, отсутствие примесей). Определены оптимальные условия препаративного электросинтеза оксикобаламина гидрохлорида и его показатели качества, обеспечивающие выход по веществу 82.0–87.0%. Условия электросинтеза апробированы в опытно-промышленном масштабе на технологической схеме с разработанным электролизером фильтр-прессной конструкции на токовую нагрузку 100 А. Лекарственный препарат «Оксикобаламин-лио», изготовленный из фармакопейной субстанции оксикобаламина гидрохлорида, стабилен при его хранении в течение 22–30 мес по физико-химическим и медико-биологическим параметрам, нормированным фармацевтической статьей ВФС 42-660-99, что свидетельствует о требуемом качестве исходной субстанции ОК.
About the authors
Александр Андреевич Конарев
«ГНЦ «НИОПИК»
Author for correspondence.
Email: konarev.niopik@gmail.com
ORCID iD: 0000-0002-0476-3414
г.н.с., руководитель
Russian Federation, Долгопрудный, Московская облReferences
Supplementary files












