Мезопористые титанаты магния в процессах фотокаталитического окисления полициклических ароматических углеводородов
- Авторы: Мацукевич И.В.1, Кулинич Н.В.2, Бельжин Е.3
-
Учреждения:
- Центр функционального и поверхностно-функционализированного стекла (FunGlass)
- Институт общей и неорганической химии НАН Беларуси
- Университет Нови Сада
- Выпуск: Том 97, № 1 (2024)
- Страницы: 14-20
- Раздел: Катализ
- URL: https://journals.rcsi.science/0044-4618/article/view/259629
- DOI: https://doi.org/10.31857/S004446182401002X
- EDN: https://elibrary.ru/FDJTVV
- ID: 259629
Цитировать
Полный текст
Аннотация
Гетероструктурные мезопористые материалы TiO2–MgO с удельной поверхностью 22.0‒28.4 м2·г–1 и средним диаметром пор 17‒24 нм получены методом самораспространяющегося высокотемпературного синтеза из глицин-цитрат-нитратных водных растворов, исследован их фазовый состав и микроструктура. Изучена их эффективность в процессах фотокаталитического окисления полициклических ароматических углеводородов под воздействием естественного солнечного света и установлено, что наибольшая степень фотокаталитического окисления флуорена, пирена и бензапирена (80, 68 и 53% соответственно) в присутствии нанокомпозитa TiO2|MgTi2O5|MgTiO3 под действием естественного солнечного света достигается с дозой фотокатализатора 1 мг·л–1 и при рН 7.
Полный текст
Титанаты магния используются в авиационной и космической отраслях в качестве пигментов и компонентов конденсаторных материалов ввиду своих диэлектрических свойств [1]. Метатитанаты с перовскитной структурой MTiO3 (M = Sr, Ba, Mg и т. д.) содержат кислородные вакансии и вакансии M-позиций из-за их собственной нестехиометрии [2], что повышает эффективность фотоиндуцированного разделения пары электрон–дырка (e–/h+), а также облегчает миграцию пар e–/h+ из объема на поверхность [3, 4]. Таким образом, MgTiO3 относится к фотокаталитическим полупроводникам с шириной запрещенной зоны от 2.8 до 3.7 эВ [5–8].
Работы последних лет [7–9] демонстрируют высокую фотокаталитическую активность композитов на основе титанатов магния в процессах фотодеградации органических примесей под воздействием видимого света. Установлено высокое значение сорбционной емкости наноструктурного композита на основе титаната магния с удельной поверхностью 152 м2·г–1 по отношению к ионам свинца — 241 мг·г–1 [10]. Синергические эффекты, наблюдаемые в гетероструктурных фотокатализаторах TiO2–MgTiO3, приводящие к устойчивому разделению e–/h+-пары за счет текстурирования поверхности порошка, являются причиной значительного повышения фокаталитической активности по сравнению с TiO2 со структурой анатаза [11]. Вышеперечисленные факты свидетельствуют о возможности использования мезопористых нанокомпозитов на основе титаната магния в качестве катализаторов процессов фотоокисления органических примесей, например полициклических ароматических углеводородов (ПАУ), которые являются одной из повсеместно распространенных групп загрязнителей окружающей среды. В основном такие соединения накапливаются в почвах и донных отложениях (см., например, работу [12]). Помимо прямого фотолиза, вызванного поглощением солнечного света, фоторазложение органических загрязнителей может происходить косвенным путем посредством сенсибилизированного фотолиза [13, 14].
Цель работы — оценка возможности использования мезопористых нанокомпозитов на TiO2–MgO в качестве катализаторов процессов фотоокисления полициклических ароматических углеводородов под воздействием видимого света. Задачи исследования — получение мезопористых нанокомпозитов TiO2–MgO методом самораспространяющегося высокотемпературного синтеза из глицин-цитрат-нитратных водных растворов, изучение их состава, микроструктуры и морфологии, исследование эффективности фотодеградации полициклических ароматических углеводородов (флуорен, пирен, бензапирен) под воздействием естественного видимого света в присутствии фотокатализаторов на основе титаната магния.
Экспериментальная часть
Композиционные материалы в системе TiO2–MgO получали методом самораспространяющегося высокотемпературного синтеза из глицин-цитрат-нитратных водных растворов с использованием в качестве исходных компонентов метатитановой кислоты H2TiO3 (ч., ЗАО «Вектон»), Mg(NO3)2·6H2O (ч.д.а., ЗАО «Вектон»), лимонной кислоты C6H8O7 (х.ч., АО «База № 1 химреактивов»), глицина NH2CH2COOH (ч.д.а., АО «База № 1 химреактивов») по методике, описанной в работе [15], в условиях самоорганизации ограничений роста частиц [16]. Финишную термообработку проводили при температуре 750°С в течение 5 ч с получением порошка белого цвета.
Характеризацию образцов (табл. 1) проводили при помощи рентгенофазового анализа (РФА) (рентгеновский дифрактометр ДРОН-3, АО «Инновационный центр «Буревестник»), CuKα-излучение), микроструктуру порошков исследовали при помощи автоэмиссионного сканирующего электронного микроскопа Шотки JSM 7600F (JEOL, Ltd) с пространственным разрешением около 1 нм. Размеры кристаллитов оценивали по уширениям рентгеновских дифракционных пиков с помощью формулы Дебая–Шеррера. Насыпную плобтность измеряли в соответствии с ГОСТ 19440–94.1
Таблица 1. Характеристика образцов TiO2–MgO
Образец | Брутто-формула (заданный состав) | Фазовый состав | Насыпная плотность, г·см–3 | Размер кристаллитов, нм |
ТМ1 | TiO2·MgO | MgTiO3 | 0.17 | 43 |
ТМ2 | TiO2·4MgO | MgO, Mg2TiO4, TiO2 (пр.) | 0.07 | — |
ТМ3 | 2TiO2·MgO | MgTiO3, MgTi2O5, TiO2 | 0.19 | 31 |
ТМ4 | 3TiO2·MgO | MgTi2O5, MgTiO3, TiO2 | 0.57 | — |
ТМ5 | 3TiO2·2MgO | MgTi2O5, MgTiO3, TiO2 | 0.16 | 55 |
ТМ6 | 3TiO2·4MgO | MgTiO3, Mg2TiO4 | 0.13 | 46 |
Примечание. Выделенные в таблице формулы соответствуют преобладающим фазам, для которых определены размеры кристаллитов; «—» — композит TiO2‒MgO содержит одну или несколько слабоокристаллизованных фаз.
Адсорбционные свойства образцов изучали на анализаторе площади поверхности и пористости ASAP 2020 МР (Micromeritics Instrument Corporation) из изотерм низкотемпературной (‒196°C) статической физической адсорбции–десорбции азота. Удельную поверхность определяли одноточечным и многоточечным методом Брунауэра‒Эммета‒Теллера (АBET, м2·г–1). Удельный объем пор (Vsp, см3·г–1), средний диаметр пор (Dsp, нм) и распределение пор по размерам в линейной форме определяли методом Барретта‒Джойнера‒Халенды, используя десорбционную ветвь изотермы и модель цилиндрических пор. Перед анализом образцы вакуумировали в течение 1 ч при температуре 100°С и остаточном давлении 133.3·10–3 Па.
Исследование фотокаталитической активности проводили в процессах фотодеградации полициклических ароматических углеводородов [флуорен (ч.д.а., Sigma-Aldrich Chemie GmbH, № 128333), пирен (ч.д.а., Sigma-Aldrich Chemie GmbH, № 82648), бензапирен (ч., Sigma-Aldrich Chemie GmbH, № B1760) с исходной концентрацией 2 мг·л–1] под воздействием солнечного света. Изменение концентрации полициклических ароматических углеводородов контролировали с помощью газового хроматографа Agilent 7890 с масс-спектрометром MSD 5975C с использованием колонки HP-5MS (J&W Scientific) в соответствии с методом EPA 8270C.2 Степень фотодеградации (разрушения) органических загрязнителей (φ, %) под действием солнечного света и в присутствии катализатора рассчитывали по формуле
(1)
где — исходная концентрация раствора, — концентрация полициклических ароматических углеводородов по истечении 24 ч облучения солнечным светом. Время облучения указано без учета темного времени суток.3 Важно отметить, что данный эксперимент проводили в летнее время года в хорошо освещенном помещении (без дополнительных источников света). Температуру окружающей среды и интенсивность освещения поддерживали на уровне 29.3 ± 3.8°С и 348 ± 97 Вт·м–2 соответственно.
Обсуждение результатов
Основными фазами композитов TiO2–MgO, полученных методом самораспространяющегося высокотемпературного синтеза из водных растворов после финишной термообработки при температуре 750°С, являются MgTiO3 с перовскитной структурой, MgTi2O5 со структой псевдобрукита, для которого характерно сильное искажение катионных центров, и Mg2TiO4, который имеет структуру шпинели. Для некоторых образцов характерно присутствие примесной фазы TiO2 со структурой рутила (рис. 1).
Рис. 1. Рентгеновские дифрактограммы мезопористых композиционных материалов TiO2–MgO после финишной термообработки при 750°С. ТМ1 — TiO2·MgO, ТМ2 — TiO2·4MgO, ТМ3 — 2TiO2·MgO, ТМ4 — 3TiO2·MgO, ТМ5 — 3TiO2·2MgO, ТМ6 — 3TiO2·4MgO; индексы Миллера указаны для фазы MgTiO3.
Титанат магния MgTiO3 имеет ячеистую микроструктуру с развитой системой пор (рис. 2), которая сформирована в результате выделения большого объема газообразных продуктов в процессе самораспространяющегося высокотемпературного синтеза. Значения насыпной плотности заметно увеличиваются с увеличением содержания TiО2 в составе гетерооксидных систем, при этом минимальное значение характерно для образца TiO2·4MgO и составляет 0.07 г·см–3 (табл. 1).
Рис. 2. Электронные микрофотографии титаната магния с заданным составом TiO2·MgO.
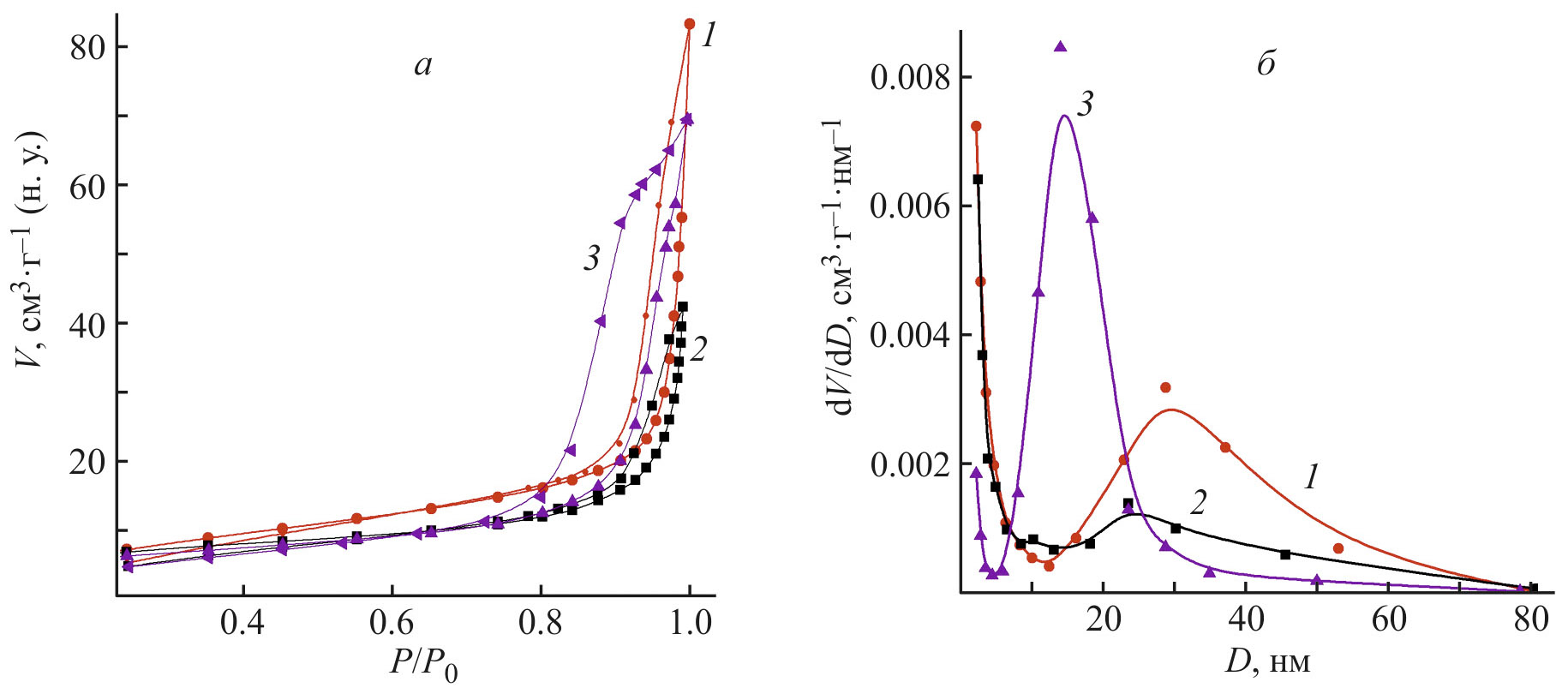
Изотермы адсорбции–десорбции азота нанокомпозитов на основе титаната магния относятся к четвертому типу изотерм по классификации IUPAC, характерному для мезопористых адсорбентов с размером пор 2 ≤ D ≤ 50 нм (рис. 3). Изотермы низкотемпературной адсорбции–десорбции азота имеют выраженные петли капиллярно-конденсационного гистерезиса, соответствующие типу Н3, обусловленному нежесткими агрегатами пластинчатых частиц, и не имеющие плато при высоких значениях относительного давления P/P0. Форма петель капиллярно-конденсационного гистерезиса на изотермах (рис. 3, а) характерна для цилиндрических и щелеобразных мезопор.
Площадь петель гистерезиса увеличивается с ростом содержания TiO2, что свидетельствует об увеличении пористости в данном ряду (рис. 3). На этом основании можно предположить, что добавление TiO2 к MgO приводит к облегчению порообразования в процессе синтеза. Значения удельной поверхности и среднего диаметра пор исследованных образцов зависят от состава и изменяются в диапазонах 22.0‒28.4 м2·г–1 и 17‒24 нм соответственно (табл. 2).
Рис. 3. Изотермы низкотемпературной адсорбции–десорбции азота (а) и дифференциальные распределения мезопор по размерам (б) нанокомпозитов TiO2–MgO. 1 — TiO2·MgO, 2 — TiO2·4MgO, 3 — 3TiO2·MgO.
Таблица 2. Микроструктурные свойства нанокомпозитов на основе титаната магния
Образец | Брутто-формула (заданный состав) | Удельная поверхность, м2·г–1 | Объeм пор, см3·г–1 | Средний диаметр пор, нм |
ТМ1 | TiO2·MgO | 28.4 | 0.13 | 20 |
ТМ2 | TiO2·4MgO | 24.2 | 0.06 | 17 |
ТМ4 | 3TiO2·MgO | 22.0 | 0.11 | 24 |
Кривые распределения мезопор по размерам демонстрируют гомогенность мезопор исследованных образцов с преобладающими диаметрами 10‒30 нм. Наиболее однородно мезопористым из изученных является образец TM4 состава 3TiO2·MgO, имеющий наибольший средний диаметр пор — 24 нм (табл. 2).
Исследование процесса фотокаталитического окисления полициклических ароматических углеводородов в присутствии композитов TiO2–MgO показало, что полученные образцы действительно обладают фотокаталитической активностью на достаточно высоком уровне (рис. 4). Установлено, что наибольшая эффективность разложения полициклических ароматических углеводородов достигается с дозой фотокатализатора 1 мг·л–1 и при рН 7. По истечении 24 ч облучения солнечным светом при этих условиях степень фотодеградации в присутствии образца ТМ4, содержащего MgTiO3, MgTi2O5, TiO2, демонстрирует наибольшие значения — 80, 68 и 53% для флуорена, пирена и бензапирена соответственно. Значительное превосходство гетероструктурного образца ТМ4 можно объяснить следующим образом: за счет согласованных гетеропереходов в системе полупроводниковых оксидов TiO2|MgTi2O5|MgTiO3 [17, 18] достигается устойчивое разделение e–/h+-пары, что в результате приводит к переносу к поверхности кристаллита зарядов, необходимых для образования ОН•-радикалов. Кроме того, по сравнению с другими образец ТМ4 содержит большое количество диоксида титана со структурой рутила, который демонстрирует высокую активность в процессах фотокаталитического окисления органических примесей в водных растворах [19].
Рис. 4. Степень фотодеградации флуорена (а, г), пирена (б, д) и бензапирена (в, е) под воздействием солнечного света в зависимости от дозы фотокатализатора (а‒в) и pH (г‒е). 1 — без фотокатализатора, 2 — TiO2·MgO, 3 — TiO2·4MgO, 4 — 3TiO2·MgO.
Выводы
В настоящей работе показана возможность использования мезопористых нанокомпозитов TiO2–MgO в качестве катализаторов процессов фотоокисления полициклических ароматических углеводородов. Наибольшая степень фотокаталитического окисления полициклических ароматических углеводородов в присутствии нанокомпозитов TiO2–MgO под воздействием естественного солнечного освещения достигается с дозой фотокатализатора 1 мг·л–1 и при рН 7. Гетероструктурная система оксидных полупроводников TiO2|MgTi2O5|MgTiO3 показала высокую степень разложения флуорена, пирена и бензапирена — 80, 68 и 53%. Высокая эффективность образца, содержащего фазы MgTiO3, MgTi2O5, TiO2, в процессах фотодеградации ПАУ объясняется высоким содержанием диоксида титана со структурой рутила и разделением электронно-дырочных пар за счет согласованных гетеропереходов в системе оксидных полупроводников.
Благодарности
Авторы выражают благодарность к.х.н. доценту Т. Ф. Кузнецовой (ИОНХ НАН Беларуси) за анализ изотерм адсорбции–десорбции азота и Л. В. Кульбицкой (ИОНХ НАН Беларуси) за рентгенофазовый анализ образцов. Также коллектив авторов благодарит научного редактора журнала к.х.н. М. Л. Хрущеву за проделанную работу, которая помогла улучшить качество статьи.
Финансирование работы
Работа выполнена в рамках международного белорусско-сербского научно-технического проекта «Разработка и применение для защиты окружающей среды наноструктурных материалов на основе титанатов магния» (2022-2024 гг., договор с БРФФИ № Х22СРГ-010). И. В. Мацукевич благодарит за финансовую поддержку Восьмую рамочную программу Европейского Союза по развитию научных исследований и технологий «Горизонт 2020» (грантовое соглашениe № 739566).
Конфликт интересов
Авторы заявляют об отсутствии конфликта интересов, требующего раскрытия в статье.
1 ГОСТ 19440–94. Порошки металлические. Определение насыпной плотности. Часть 1. Метод с использованием воронки. Часть 2. Метод волюмометра Скотта.
2 EPA 8270C. Semivolatile organic compounds by gas chromatography/mass spectrometry (GC/MS).
3 Интенсивность освещения до 251 Вт·м–2.
Об авторах
Ирина Васильевна Мацукевич
Центр функционального и поверхностно-функционализированного стекла (FunGlass)
Автор, ответственный за переписку.
Email: iryna.matsukevich@tnuni.sk
ORCID iD: 0000-0001-6686-4213
к.х.н., доцент
Словакия, Студенческая 2, г. Тренчин, 91150Наталья Владимировна Кулинич
Институт общей и неорганической химии НАН Беларуси
Email: kulinich.55@yandex.by
ORCID iD: 0000-0003-2242-3437
Белоруссия, Сурганова 9/1, г. Минск, 220072
Елена Бельжин
Университет Нови Сада
Email: iryna.matsukevich@tnuni.sk
ORCID iD: 0000-0001-9269-4377
к.х.н., доцент
Сербия, Доситея Обрадовича 3, г. Нови-Сад, 21102Список литературы
- Li D., Wang L., Xue D. Stearic acid gel derived MgTiO3 nanoparticles: A low temperature intermediate phase of Mg2TiO4 // J. Alloys Compd. 2020. V. 492. P. 564–569. 10.1016/j.jallcom.2009.11.181' target='_blank'>https://doi: 10.1016/j.jallcom.2009.11.181
- Wang L., Yang G., Peng S., Wang J., Ji D., Yan W., Ramakrishna S. Fabrication of MgTiO3 nanofibers by electrospinning and their photocatalytic water splitting activity // Int. J. Hydrogen Energy. 2017. V. 42. P. 25882–25890. https://doi.org/ 10.1016/j.ijhydene.2017.08.19
- Li H., Yu J., Gong Y., Lin N., Yang Q., Zhang X, Wang Y. Perovskite catalysts with different dimensionalities for environmental and energy applications: A review // Sep. Purif. Technol. 2023. V. 307. ID 122716. https://doi.org/10.1016/j.seppur.2022.122716
- Yang J., Yang H., Dong Y., Cui H., Sun H., Yin Sh. Fabrication of Cu2O/MTiO3 (M = Ca, Sr and Ba) p-n heterojunction for highly enhanced photocatalytic hydrogen generation // J. Alloys Compd. 2023. V. 930. ID 167333. https://doi.org/10.1016/j.jallcom.2022.167333
- Pradhan G., Maurya S., Pradhan S., Sharma Y. Ch. An accelerated route for synthesis of Glycerol carbonate using MgTiO3 perovskite as greener and cheaper catalyst // J. Mol. Catal. 2023. V. 545. ID 113162. https://doi.org/10.1016/j.mcat.2023.113162
- De Haart L. G. J., de Vries A.J., Blasse G. Photoelectrochemical properties of MgTiO3 and other titanates with the ilmenite structure // Mater. Res. Bull. 1984. V. 19. N 7. P. 817–824. https://doi.org/10.1016/0025-5408(84)90042-4
- Bhagwat U. O., Wu J. J., Asiri A. M., Anandan S. Synthesis of MgTiO3 nanoparticles for photocatalytic applications // ChemistrySelect. 2019. V. 4. P. 788–796. https://doi.org/10.1002/slct.201803583
- Kiani A., Nabiyouni Gh., Masoumi Sh., Ghanbari D. A novel magnetic MgFe2O4–MgTiO3 perovskite nanocomposite: Rapid photo-degradation of toxic dyes under visible irradiation // Compos. B. Eng. 2019. V. 175. ID 107080. https://doi.org/10.1016/j.compositesb.2019.107080
- Selvamani T., Anandan S., Asiri A. M., Maruthamuthu P., Ashokkumar M. Preparation of MgTi2O5 nanoparticles for sonophotocatalytic degradation of triphenylmethane dyes // Ultrason. Sonochem. 2021. V. 75. ID 105585. https://doi.org/10.1016/j.ultsonch.2021.105585
- Wang X., Cai J., Zhang Y., Li L., Jiang L., Wang Ch. Heavy metal sorption properties of magnesium titanate mesoporous nanorods // J. Mater. Chem. 2015. V. 3. P. 11796–11800. https://doi.org/10.1039/C5TA02034D
- Liu Z., Xu P., Song H., Xu J., Fu J., Gao B., Chu P. K. In situ formation of porous TiO2 nanotube array with MgTiO3 nanoparticles for enhanced photocatalytic activity // Surf. Coat. Technol. 2018. V. 365. P. 222–226. https://doi.org/10.1016/j.surfcoat.2018.07.06
- Rotondo L. N., Mora V. C., Temporetti P. F., Beamud S. G., Pedrozo F. L. The use of an algal bioindicator in the assessment of different chemical remediation strategies for PAH-contaminated soils and sediments // J. Environ. Chem. Eng. 2023. V. 11. N 3. ID 110098. https://doi.org/10.1016/j.jece.2023.110098
- Tu Z., Qi Y., Qu R., Tang X., Wang Z., Huo Z. Photochemical transformation of hexachlorobenzene (HCB) in solid-water system: Kinetics, mechanism and toxicity evaluation // Chemosphere. 2022. V. 295. ID 133907. https://doi.org/10.1016/j.chemosphere.2022.133907
- Kulak A., Kokorin A. Enhanced titania photocatalyst on magnesium oxide support doped with molybdenum // Catalysts. 2023. V.13, N 3. ID 454. https://doi.org/10.3390/ catal13030454
- Matsukevich I., Kulak A., Palkhouskaya V., Romanovski V., Jo J. H., Aniskevich Y., Mohamed S. G. Comparison of different methods for Li2MTi3O8 (M – Co, Cu, Zn) synthesis // J. Chem. Technol. Biotechnol. 2022. V. 97. N 4. P. 1021–1026. https://doi.org/10.1002/jctb.6992
- Almjasheva O. V., Popkov V. I., Proskurina O. V., Gusarov V. V. Phase formation under conditions of self-organization of particle growth restrictions in the reaction system // Nanosystems: Phys. Chem. Math. 2022. V. 13 (2). P. 165–181. https://doi.org/10.17586/2220-8054-2022-13-2-165-181
- Wang W., Zhang H., Wu L., Li J., Qian Y., Li Y. Enhanced performance of dye-sensitized solar cells based on TiO2/MnTiO3/MgTiO3 composite photoanode // J. Alloys Compd. 2016. V. 657. P. 53–58. https://doi.org/10.1016/j.jallcom.2015.09.246
- Yang G., Wang L., Zhao Y., Peng S., Wang J., Ji D., Ramakrishna S. One-dimensional MgxTiyOx+2y nanostructures: General synthesis and enhanced photocatalytic performance // Appl. Catal. B: Environmental. 2018. V. 225. P. 332–339. https://doi.org/10.1016/j.apcatb.2017.11.062
- Gupta S. M., Tripathi M. A review of TiO2 nanoparticles // Chin. Sci. Bull. 2011. V. 56. P. 1639–1657. https://doi.org/10.1007/s11434-011-4476-1
Дополнительные файлы






