Особенности деструкции тетра(4-иод-5-трет-бутил)фталоцианина под влиянием н-бутиламина в среде бензол–диметилсульфоксид
- Авторы: Петров О.А.1, Шагалов Е.В.1, Киселев А.Н.2, Майзлиш В.Е.1
-
Учреждения:
- Ивановский государственный химико-технологический университет
- Институт химии растворов имени Г. А. Крестова Российской академии наук
- Выпуск: Том 94, № 9 (2024)
- Страницы: 965-972
- Раздел: Статьи
- URL: https://journals.rcsi.science/0044-460X/article/view/281316
- DOI: https://doi.org/10.31857/S0044460X24090039
- EDN: https://elibrary.ru/RONGDA
- ID: 281316
Цитировать
Полный текст
Аннотация
Изучены свойства впервые синтезированного тетра(4-иод-5-трет-бутил)фталоцианина в присутствии н-бутиламина в среде бензол–диметилсульфоксид. Показано, что молекулярная форма тетра(4-иод-5-трет-бутил)фталоцианина и его комплекс с переносом протонов подвергаются деструкции под влиянием н-бутиламина, которая описывается различными кинетическими уравнениями. Установлено влияние полярности и основности среды на скорость и активационные параметры процесса и предложены схемы деструкции.
Ключевые слова
Полный текст
ВВЕДЕНИЕ
Фталоцианины (Н2Рс) относятся к числу интенсивно исследуемых соединений в связи с возрастающими возможностями их применения в качестве сенсибилизаторов синглетного кислорода, адсорбционно-полупроводниковых датчиков токсических газов, жидкокристаллических и каталитических материалов [1–3]. Важное значение имеют структурно модифицированные Н2Рс, которые перспективны в качестве рецепторов, лежащих в основе создания высокоселективных сенсоров на хлорид-, фосфат- и салицилат-ионы, играющие ключевую роль в функционировании ряда биосистем [4]. Расширить область практического использования фталоцианинов позволяет не только получение новых многофункциональных соединений этого ряда, но и всестороннее изучение их физико-химических свойств. Одним из редко наблюдаемых свойств Н2Рс является их нестабильность в протоноакцепторных средах, которая во многом определяет особенности реакций электрофильного и нуклеофильного замещения на периферии молекулы, а также играет немаловажную роль при выборе оптимальных условий жидкофазного синтеза металлокомплексов фталоцианинов in vitro [5]. К настоящему времени установлены некоторые закономерности деструкции β-замещенных порфиразинов [6]. Количественные данные для фталоцианинов немногочисленны [6].
В связи с этим в данной работе исследованы свойства тетра(4-иод-5-трет-бутил)фталоцианина [H2Pc(I)4(t-Bu)4] в присутствии н-бутиламина в среде бензол–диметилсульфоксид (схема 1).
Схема 1.
РЕЗУЛЬТАТЫ И ОБСУЖДЕНИЕ
Предварительно установлено, что в малополярном бензоле и среде бензол–диметилсульфоксид с содержанием полярного компонента от 5 до 40% электронный спектр поглощения H2Pc(I)4(t-Bu)4 содержит в видимой области две интенсивные хорошо разрешенные Qх- и Qy-составляющие Q-полосы с λI = 700 и λII = 667 нм соответственно и В-полосу (полосу Соре) с λ = 347 нм (рис. 1). В присутствии н-бутиламина электронный спектр поглощения H2Pc(I)4(t-Bu)4 в среде бензол–5(10)% ДМСО подвергается существенным изменениям в отличие от бензола. С течением времени регистрируется уменьшение интенсивности Qх- и Qy-составляющих Q-полосы с λI и λII соответственно (рис. 2, 3). При этом исчезает В-полоса, характеризующая наличие пиррольных фрагментов в макроцикле (рис. 3), а цвет раствора изменяется от изумрудного до бесцветного.
Рис. 1. Электронный спектр поглощения H2Pc(I)4(t-Bu)4 в бензоле и среде бензол–ДМСО при 298 K.
Рис. 2. Изменение электронного спектра поглощения H2Pc(I)4(t-Bu)4 в присутствии BuNH2 в среде бензол–5% ДМСО в течение 278 мин при c0BuNH2 = 4.58 моль/л при 323 K.
Рис. 3. Изменение электронного спектра поглощения H2Pc(I)4(t-Bu)4 в присутствии BuNH2 в среде бензол–10% ДМСО в течение 176 мин при c0BuNH2 = 4.58 моль/л при 323 K.
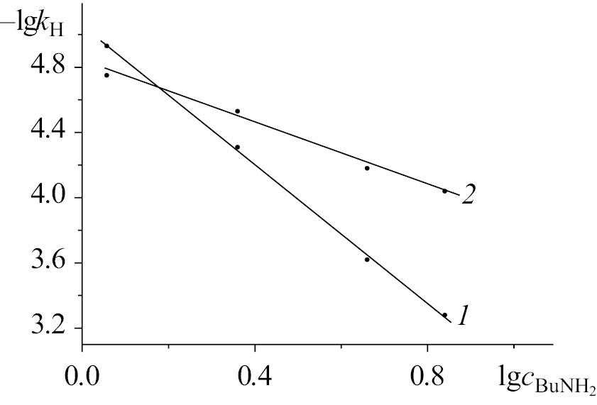
В интервале концентраций н-бутиламина от 1.14 до 6.88 моль/л в среде бензол–5% ДМСО деструкция H2Pc(I)4(t-Bu)4 описывается суммарным кинетическим уравнением третьего порядка: первого по H2Pc(I)4(t-Bu)4 (рис. 4) и близкого ко второму (в пределах экспериментальной ошибки опыта) по н-бутиламину (рис. 5):
, (1)
, (2)
где kH и k – наблюдаемая и истинная константы скорости деструкции соответственно, c1 – концентрация H2Pc(I)4(t-Bu)4, В – BuNH2.
Рис. 4. Зависимость ln(c0/c) от времени деструкции H2Pc(I)4(t-Bu)4 (1) и H2Pc(I)4(t-Bu)4∙2BuNH2 (2) в присутствии BuNH2 в среде бензол–5% ДМСО при 333 K и [BuNH2] = 4.58 моль/л.
Рис. 5. Зависимость lgkH от lgc0BuNH2 реакции деструкции H2Pc(I)4(t-Bu)4 (1) и H2Pc(I)4(t-Bu)4∙2BuNH2 (2) в присуствии BuNH2 в среде бензол–5% ДМСО (1) и бензол–20% ДМСО (2) при 333 K.
Аналогичным кинетическим уравнением описывается процесс распада H2Pc(I)4(t-Bu)4 в среде бензол–10% ДМСО. В этом случае деструкция H2Pc(I)4(t-Bu)4, скорее всего, осуществляется в две стадии в соответствии с предполагаемой схемой:
, (3)
. (4)
На стадии (3) димер н-бутиламина (В∙∙∙В), образующийся за счет NH-связи одной и неподеленной электронной пары атома азота другой молекулы [7], вступает в кислотно-основное взаимодействие с одним из двух внутрициклических протонов NH-групп H2Pc(I)4(t-Bu)4. Благодаря выраженной протоноакцепторной способности н-бутиламина (рKa298 = 10.60 [8]) и сравнительно высокой основности среды происходит его удаление из плоскости макроцикла с образованием моноаниона [НPc(I)4(t-Bu)4·В]–. При этом симметрия молекулы должна понижаться от D2h до С2v, а электронный спектр поглощения моноанионной формы должен иметь вид электронного спектра поглощения H2Pc(I)4(t-Bu)4 по числу полос, но расщепление Q-полосы должно уменьшаться за счет гипсохромного смещения ее длинноволновой компоненты Qх [9, 10]. Однако такие спектральные изменения в условиях значительного избытка основания по отношению к кислоте (табл. 1, 2) не наблюдаются. Уменьшение концентрации H2Pc(I)4(t-Bu)4 происходит с сохранением четких изобестических точек без появления в реагирующей системе спектральной формы [НPc(I)4(t-Bu)4·В]– (рис. 2, 3). Отсутствие компенсации отрицательного заряда в макроцикле приводит к быстрому самопроизвольному распаду [НPc(I)4(t-Bu)4·В]– на стадии (4) с образованием низкомолекулярных бесцветных продуктов деструкции, т. е. k1 < k2, а k1 = kН. При этом бимолекулярная лимитирующая стадия деструкции H2Pc(I)4(t-Bu)4 характеризуется необычно низкими скоростями, судя по значениям k298, и достаточно высокими значениями энергии активации (Еа) процесса (табл. 1, 2). Этот факт не является неожиданным, поскольку делокализованная π-связь по фталоцианиновому макроциклу, а также наличие в аннелированных бензольных кольцах объемных трет-бутильных заместителей и атомов иода способствует пространственному экранированию атомами и π-электронами внутрициклических протонов NH-групп H2Pc(I)4(t-Bu)4, что затрудняет благоприятный контакт молекул-партнеров. Наряду с геометрической (пространственной) составляющей фталоцианинового макроцикла симбатно действует электронная (поляризационная) составляющая, которая обусловлена слабовыраженной NH-кислотностью фталоцианинов по сравнению с β-замещенными порфиразинами [6, 11, 12].
Таблица 1. Кинетические параметры деструкции H2Pc(I)4(t-Bu)4 и комплекса H2Pc(I)4(t-Bu)4 ∙ 2BuNH2 в присутствии н-бутиламина в среде бензол–5% ДМСО и бензол–20% ДМСО соответственноа
c0BuNH2, моль/л | Т, Kб | kН ∙ 105, моль/л | k ∙ 106, лn/(мольn∙с) | Еа, кДж/моль |
H2Pc(I)4(t-Bu)4 в среде бензол–5% ДМСО | ||||
1.14 | 298 313 323 333 | 0.03 0.18 0.46 1.17 | 0.23 1.37 3.50 8.95 | 82 |
2.30 | 298 313 323 333 | 0.15 0.74 1.94 4.85 | 0.26 1.29 3.35 8.40 | 80 |
4.58 | 298 313 323 333 | 0.73 3.56 9.03 23.83 | 0.30 1.46 3.70 9.77 | 82 |
6.88 | 298 313 323 333 | 1.66 8.03 20.10 52.00 | 0.29 1.40 3.50 9.06 | 81 |
H2Pc(I)4(t-Bu)4 ∙ 2BuNH2 в среде бензол–20% ДМСО | ||||
1.14 | 298 313 323 333 | 0.07 0.30 0.73 1.75 | 0.62 2.75 6.50 15.62 | 76 |
2.30 | 298 313 323 333 | 0.11 0.50 1.20 2.96 | 0.52 2.40 5.76 14.05 | 77 |
4.58 | 298 313 323 333 | 0.28 1.17 2.70 6.60 | 0.71 2.97 6.87 16.80 | 75 |
6.88 | 298 313 323 333 | 0.37 1.50 3.70 9.05 | 0.65 2.60 6.50 16.00 | 78 |
а c0H2Pc(I)4(t-Bu)4 = c0H2Pc(I)4(t-Bu)4∙2BuNH2 = 1.07 ∙ 10–5 моль/л.
б Значение kН при 298 K рассчитаны по уравнению Аррениуса. n – порядок реакции по BuNH2.
Таблица 2. Кинетические параметры деструкции H2Pc(I)4(t-Bu)4 и комплекса H2Pc(I)4(t-Bu)4 ∙ 2BuNH2 в присутствии н-бутиламина в среде бензол–ДМСОa,б
Среда | Т, Kв | kН ∙ 105, моль/л | k ∙ 106, лn/(мольn∙с) | Еа, кДж/моль |
H2Pc(I)4(t-Bu)4 | ||||
Бензол–5% ДМСО | 298 313 323 333 | 0.73 3.56 9.03 23.83 | 0.30 1.46 3.70 9.77 | 82 |
Бензол–10% ДМСО | 298 313 323 333 | 1.08 5.12 13.15 32.90 | 0.40 2.10 5.40 13.47 | 80 |
H2Pc(I)4(t-Bu)4 ∙ 2BuNH2 | ||||
Бензол–20% ДМСО | 298 313 323 333 | 0.28 1.17 2.70 6.60 | 0.71 2.97 6.87 16.80 | 75 |
Бензол–30% ДМСО | 298 313 323 333 | 1.05 3.77 8.18 17.20 | 2.67 9.60 20.80 43.76 | 66 |
Бензол–40% ДМСО | 298 313 323 333 | 13.40 26.40 38.30 59.35 | 34.10 67.20 97.45 151.00 | 35 |
а c0H2Pc(I)4(t-Bu)4 = c0H2Pc(I)4(t-Bu)4∙2BuNH2 = 1.07 ∙ 10–5 моль/л.
б c0BuNH2 = 4.58 моль/л.
в Значение kН при 298 K рассчитаны по уравнению Аррениуса. n – порядок реакции по BuNH2.
Из данных табл. 2 видно, что кинетические параметры деструкции H2Pc(I)4(t-Bu)4 под влиянием BuNH2 не претерпевают изменений при увеличении концентрации ДМСО от 5 до 10% в бензоле. Иначе обстоит дело в более полярных средах. Так, в бензоле c содержанием ДМСО от 20 до 40% электронный спектр поглощения H2Pc(I)4(t-Bu)4 в присутствии BuNH2 содержит нерасщепленную Q-полосу (D4h-симметрия молекулы) в отличие от расщепленной Q-полосы в бензоле (D2h-симметрия молекулы) (рис. 6). Повышение симметрии молекулы от D2h до D4h свидетельствует о том, что тетра(4-иод-5-трет-бутил)фталоцианин, проявляя свойства двухосновной NH-кислоты, вступает во взаимодействие с н-бутиламином с образованием комплекса с переносом протонов – H2Pc(I)4(t-Bu)4∙2BuNH2. В этом комплексе протоны NH-групп, связанные с атомами азота молекул н-бутиламина, располагаются по разные стороны от плоскости макроцикла, что обеспечивает благоприятное пространственное расположение молекул основания. При этом перенос протонов от кислоты к основанию в H2Pc(I)4(t-Bu)4 ∙ 2BuNH2 может ограничиваться либо стадией образования более полярного ионного комплекса [6, 11], чему благоприятствует сравнительно высокая полярность и основность среды [7, 13, 14], либо Н-комплекса [6, 11] вследствие слабовыраженной NH-кислотности тетра(4-иод-5-трет-бутил)фталоцианина. Однако наиболее вероятным представляется возможность существования кислотно-основного равновесия между двумя возможными структурами [13, 14].
Рис. 6. Электронный спектр поглощения H2Pc(I)4(t-Bu)4 в бензоле (1) и среде бензол–ДМСО (2) при c0BuNH2 = 4.58 моль/л при 298 K.
Дальнейшие исследования показали, что комплекс с переносом протонов H2Pc(I)4(t-Bu)4 ∙ 2BuNH2 в среде бензола с содержанием ДМСО от 20 до 40% является кинетически неустойчивым. В электронном спектре поглощения с течением времени регистрируется уменьшение интенсивности нерасщепленной Q-полосы с λ = 675 нм (рис. 7, 8), которое сопровождается обесцвечиванием раствора.
Рис. 7. Изменение электронного спектра поглощения H2Pc(I)4(t-Bu)4 ∙ 2BuNH2 в среде бензол–20% ДМСО в течение 135 мин при c0BuNH2 = 4.58 моль/л при 323 K.
Рис. 8. Изменение электронного спектра поглощения H2Pc(I)4(t-Bu)4 ∙ 2BuNH2 в среде бензол–40% ДМСО в течение 117 мин при c0BuNH2 = 4.58 моль/л при 333 K.
При концентрации н-бутиламина более 1.14 моль/л в среде бензол–20% ДМСО (табл. 1) деструкция H2Pc(I)4(t-Bu)4∙2BuNH2 подчиняется кинетическому уравнению второго порядка: первого по комплексу с переносом протонов (рис. 4) и первого по основанию (рис. 5):
, (5)
, (6)
где kH и k – наблюдаемая и истинная константы скорости деструкции соответственно, с1 – концентрация H2Pc(I)4(t-Bu)4∙2BuNH2, В – BuNH2.
В среде бензол–30(40)% ДМСО кинетическое уравнение (5) не претерпевает изменений. В этих случаях наиболее вероятная причина распад комплекса с переносом протонов с последующим разрушением макроцикла связана с протеканием конкурентной реакции за протон:
, (7)
. (8)
На стадии (7) молекула н-бутиламина вступает во взаимодействие с выведенным из плоскости макроцикла атомом водорода H2Pc(I)4(t-Bu)4∙2B и конкурируют с макроциклом за протон. При этом высокая основность и ионизирующая способность среды благоприятствует диссоциации комплекса с переносом протонов с образованием спектрально не регистрируемого промежуточного комплекса [НPc(I)4(t-Bu)4∙B]– (С2v-симметрия макроцикла [10]). Образующийся на стадии (8) дианион [Pc(I)4(t-Bu)4]2– относится к группе симметрии D4h [10], и поэтому не отличается от электронного спектра поглощения H2Pc(I)4(t-Bu)4∙2B. Из-за отсутствия компенсации избыточного отрицательного заряда в макроцикле дианион тетра(4-иод-5-трет-бутил)фталоцианина подвергается распаду с образованием бесцветных продуктов реакции. Этот факт дает основание полагать, что k1 < k2, а k1 = kН. Следует отметить, что детальный механизм распада фталоцианинового макроцикла представляется достаточно сложным и требует специального углубленно изучения.
Из данных табл. 2 видно, что при увеличении концентрации ДМСО в бензоле от 20 до 40% значение k298 возрастает в 48 раз, а величина Еа процесса уменьшается в 2 раза. Полученные данные позволяют считать, что сильная зависимость кинетических параметров деструкции H2Pc(I)4(t-Bu)4∙2B от процентного содержания ДМСО в бензоле, прежде всего, связана с увеличением полярности и ионизирующей способности среды, которая облегчает образование комплекса с переносом протонов и в условиях значительного избытка н-бутиламина протеканию конкурентной реакции за протон [13]. Напротив, в менее полярных средах (азотсодержащее основание – бензол) подобные комплексы фталоцианинов не подвергаются распаду с течением времени [6, 15].
ВЫВОДЫ
Таким образом установлено, что молекулярная форма тетра(4-иод-5-трет-бутил)фталоцианина в присутствии н-бутиламина в среде бензола с концентрацией диметилсульфоксида от 5 до 10% является кинетически неустойчивой и подвергается деструкции, которая характеризуется необычно низкими скоростями и высокими значениями энергии активации процесса. В среде бензола с концентрацией диметилсульфоксида от 20 до 40% тетра(4-иод-5-трет-бутил)фталоцианин вступает в кислотно-основное взаимодействие с н-бутиламином, которое приводит к образованию неустойчивого во времени комплекса с переносом протонов. Благодаря значительному избытку основания он вступает в конкурентную реакцию за протон, которая приводит к разрушению фталоцианинового макроцикла. Показано, что кинетические параметры деструкции комплекса с переносом протонов тетра(4-иод-5-трет-бутил)фталоцианина более сильно зависят от полярности среды, чем таковые для тетра(4-иод-5-трет-бутил)фталоцианина.
ЭКСПЕРИМЕНТАЛЬНАЯ ЧАСТЬ
Спектры ЯМР 1H и 13C получали на спектрометре Bruker Avance-500 в стандартных растворах. В качестве внутренних стандартов использовали сигналы растворителя. ИК спектры (3000–300 см–1) регистрировали с помощью прибора Avatar. ЭСП регистрировали на спектрофотометре Shimadzu-UV-1800. Элементный анализ проводили на анализаторе FlashEA 1112 CHNS–O. Масс-спектры MALDI-TOF положительных ионов регистрировали на времяпролетном масс-спектрометре Shimadzu AXIMA Confidence с лазерной десорбцией, связанной с матрицей на аппарате Bruker Daltonics Ultraflex.
4-Иод-5-трет-бутилфталонитрил. Смесь 5 г (25 ммоль) 4-амино-5-трет-бутилфталонитрила в 30 мл 38%-ного раствора HCl и 90 мл этанола перемешивали в течение 10 мин и охлаждали до –5°C, затем добавляли раствор 4 г (58 ммоль) NaNO2 в 50 мл воды. Полученную суспензию перемешивали в течение 45 мин. После образования соли диазония добавляли небольшими порциями раствор 10 г (60 ммоль) KI в 50 мл холодной воды. Полученную суспензию темно-коричневого цвета перемешивали в течение 2 ч. Для удаления непрореагировавшего иода добавляли насыщенный раствор Na2SO3. Полученный раствор разбавляли в 200 мл холодной воды и оставляли на 20 мин. Образующийся осадок серого цвета отфильтровывали и промывали холодной водой, затем перекристаллизовывали из этанола. Выход 6 г (0.019 моль, 79%), т. пл. 223–224°С. ИК спектр, ν, см–1: 2227 сл (CN), 1467 ср (СH3), 1396,8 ср (t-Bu), 1365,7 ср (t-Bu), 1263 ср (С–H), 1224 cр (С–H), 1104 (C–H), 911 ср (С–H), 532 с (C–I). Спектр ЯМР 1H (500 Гц, CDCl3), δ, м. д.: 8.40 с (1H), 7.79 с (1H), 1.58 с (9H, t-Bu). Спектр ЯМР 13С (126 Гц, CDCl3), δC, м. д.: 157.41 [С–C(CH3)3], 147.78 (CH), 131.68 (CH), 115.49 (CN), 115.13 (CN), 113.88 (С–СN), 113.82 (С–СN), 100.07 (CI), 38.00 [C(CH3)3], 29.13 (CH3). Масс-спектр, m/z (Iотн, %): 310 (56) [M]+. Найдено, %: C 46.56; H 3.47; N 9.12. C12H11IN2. Вычислено, %: C 46.47; H 3.58; N 9.03.
Тетра(4-иод-5-трет-бутил)фталоцианин. Смесь 4-иод-5-трет-бутилфталонитрила (100 мг) и магния (50 мг) кипятили в 40 мл 1-пентанола в течение 2 ч. Растворитель отгоняли с водяным паром, образующийся осадок сине-зеленого цвета отфильтровывали и промывали 30 мл воды, затем добавляли 5 мл трифторуксусной кислотой и перемешивали смесь в течение 10 мин при комнатной температуре. Образующуюся суспензию разбавляли водой, затем отфильтровывали, промывали 10 мл воды и хроматографировали на силикагеле 40–60 нм, используя в качестве элюента смесь СН2Cl2–C2H5OH (95:5). Выход 20 мг (0.016 ммоль, 45%), Rf 0.3. Спектр ЯМР 1H (500 Гц, CDCl3), δ, м. д.: 8.32–7.92 м (8H), 1.33–1.38 м (36H, t-Bu). ЭСП (бензол), нм: λI = 700 (lgεI = 5.04), λII = 667 (lgεII = 4.92) и λСоре = 347 (lgεСоре = 2.92). Масс-спектр, m/z (Iотн, %): 1243.65 (95) [M + H]+. C48H46I4N8.
Бензол, н-бутиламин и диметилсульфоксид (Acros) использовали без дополнительной очистки. Для проведения кинетических измерений в термостатируемую кювету спектрофотометра Shimadzu-UV-1800 помещали свежеприготовленный раствор H2Pc(I)4(t-Bu)4 в среде бензол–ДМСО с начальной постоянной концентрацией 1.07∙10–5 моль/л и добавляли переменные количества н-бутиламина. Скорость деструкции H2Pc(I)4(t-Bu)4 и комплекса с переносом протонов H2Pc(I)4(t-Bu)4∙2BuNH2 определяли по уменьшению оптической плотности раствора на длинах волн λ = 700 и 675 нм соответственно. Текущую концентрацию H2Pc(I)4(t-Bu)4 и его комплекса с н-бутиламином определяли по формуле (9):
, (9)
где А0, Аτ, А∞ – оптические плотности растворов в начальный момент времени, в момент времени τ и после завершения реакции (τ∞); с0 и с – начальная и текущая концентрации H2Pc(I)4(t-Bu)4 и H2Pc(I)4(t-Bu)4∙2BuNH2. Все измерения проводили в условиях реакции псевдопервого порядка, поэтому наблюдаемую константу скорости деструкции H2Pc(I)4(t-Bu)4 и H2Pc(I)4(t-Bu)4∙2BuNH2 рассчитывали по формуле (10):
. (10)
Точность кинетических параметров оценивали с помощью обычных методов статистики при доверительном интервале 95%. Использование метода Стьюдента позволило определить относительные ошибки в значениях kH и Еа, которые составили не более 3.97 и 7.15% соответственно.
КОНФЛИКТ ИНТЕРЕСОВ
Авторы заявляют об отсутствии конфликта интересов.
Об авторах
О. А. Петров
Ивановский государственный химико-технологический университет
Автор, ответственный за переписку.
Email: poa@isuct.ru
ORCID iD: 0000-0003-3424-7135
Россия, Иваново, 153000
Е. В. Шагалов
Ивановский государственный химико-технологический университет
Email: poa@isuct.ru
ORCID iD: 0000-0002-9628-2692
Россия, Иваново, 153000
А. Н. Киселев
Институт химии растворов имени Г. А. Крестова Российской академии наук
Email: poa@isuct.ru
ORCID iD: 0000-0002-6664-6221
Россия, Иваново, 153040
В. Е. Майзлиш
Ивановский государственный химико-технологический университет
Email: poa@isuct.ru
ORCID iD: 0000-0001-5423-3297
Россия, Иваново, 153000
Список литературы
- Phthalocyanines: Properties and Applications / Eds. C.C. Leznoff, A.B.P. Lever. New York: VCH Publ., 1996. Vol. 4. 524 p.
- Gounden D.I., Nombona N., Zul Van W.E. // Coord. Chem. Rev. 2020. Vol. 420. P. 213359. doi: 10.1016/jccr. 213359
- Ibrahim-Ouali M., Dumur M. // Molecules. 2019. Vol. 24. P. 1412. doi: 10.3390/molecules24071412
- Сесслер Дж.Л., Гейл Ф.А., Вон-Сеоб Хо. Химия анионных рецепторов. М.: Красанд, 2011. 371 с.
- Петров О.А. // Изв. АН. Сер. хим. 2022. Т. 71. С. 613; Petrov O.A. // Russ. Chem. Bull. 2022. Vol. 71. P. 613. doi: 10.1007/S11172-022-34-59-5
- Петров О.А. // ЖФХ. 2022. Т. 96. № 3. С. 324; Petrov O.A. // Russ. J. Phys. Chem. (A). 2022. Vol. 96. N 3. P. 470. doi: 10.31857/S0044453722030207
- Райхардт К. Растворители и эффекты среды в органической химии. М.: Мир, 1991. 764 с.
- The Handbook of Chemistry and Physics / Ed. W.M. Haynes. Boca Raton; London; New York: Taylor and Francis, 2013. 2668 p.
- Toyota K., Hasegawa J., Nokatsuji H. // Chem. Phys. Lett. 1996. Vol. 250. N 5–6.лла P. 437. doi 10/1016/0009-2614(96)00043-7
- Stuzhin P.A., Khelevina O.G., Berezin B.D. Phthalocyanines: Properties and Applications. New York: VCH Publ. Inc, 1996. Vol. 4. P. 23.
- Петров О.А. // ЖФХ. 2021. Т. 95. № 4. С. 549; Petrov O.A. // Russ. J. Phys. Chem. (A). 2021. Vol. 95. N 4. P. 696. doi: 10.31857/S004445372104021Х
- Stuzhin P.A. // J. Porph. Phthal. 2003. Vol. 7. P. 813. doi 10.1142./s1088424-603001014
- Молекулярные взаимодействия / Под ред. Г. Ратайчак, У. Орвилл-Томаса. М.: Мир, 1984. 599 с.
- Zundell G. Hydrogen Bonds with Large Proton Polarizability and Transfer Processes in Electrochemistry and Biology. New York: Willy and Sons Inc., 2000. 217 p.
- Петров О.А., Осипова Г.В., Майзлиш В.Е., Аганичева К.А., Чуркина М.М. // ЖОрХ. 2021. Т. 57. № 9. С. 1281; Petrov О.А., Osipova G.V., Mayzlish V.E., Aganicheva K.A. // Russ. J. Org. Chem. 2021. Vol. 57. N 9. P. 1428. doi: 10.1134/s1070363218040187
Дополнительные файлы












