Synthesis, structure, and analgesic activity of methyl (3R*,4S*)-4-aryl-2-oxo-1,2,3,4-tetrahydrobenzo[4,5]imidazo[1,2-a]pyrimidine-3-carboxylates
- Authors: Podchezertseva K.V.1, Buzmakova N.A.1, Zamaraeva T.M.1, Slepova N.V.1, Dmitriev М.V.2
- 
							Affiliations: 
							- Perm State Pharmaceutical Academy of the Ministry of Health of the Russian Federation
- Perm State National Research University
 
- Issue: Vol 94, No 11-12 (2024)
- Pages: 1080-1085
- Section: Articles
- URL: https://journals.rcsi.science/0044-460X/article/view/280895
- DOI: https://doi.org/10.31857/S0044460X24110023
- EDN: https://elibrary.ru/QXRXSO
- ID: 280895
Cite item
Abstract
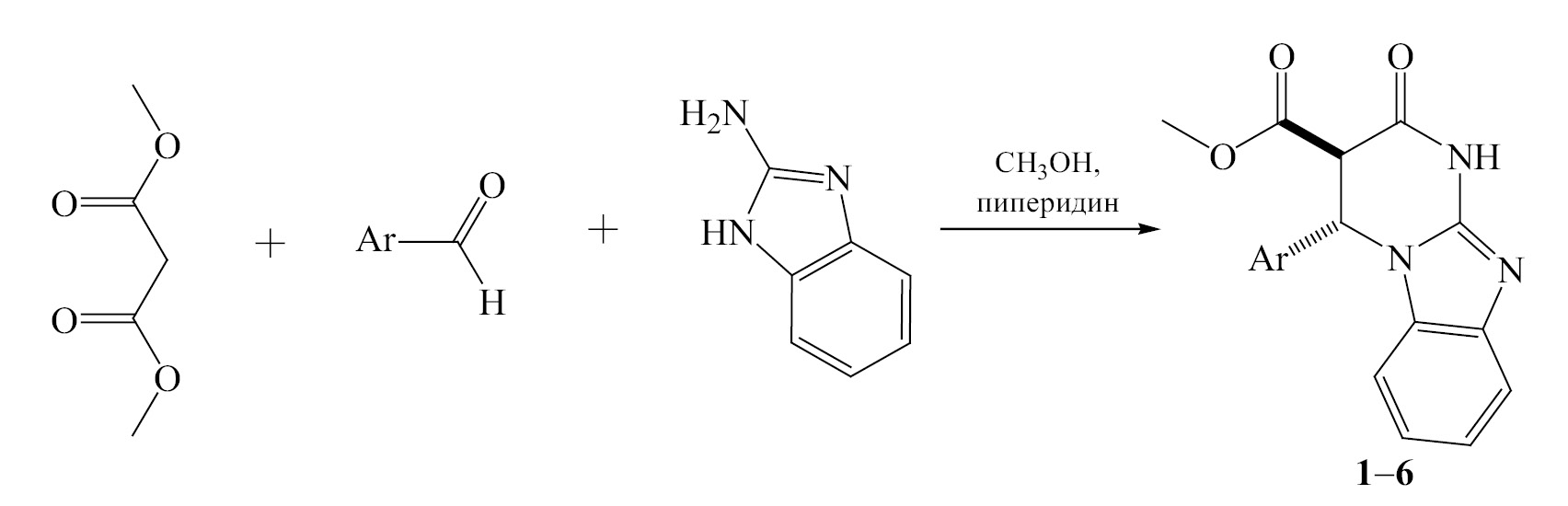
A series of new methyl (3R*,4S*)-4-aryl-2-oxo-1,2,3,4-tetrahydrobenzo[4,5]imidazo[1,2-a]pyrimidine-3-carboxylates was obtained by three-component condensation of dimethyl malonate, aromatic aldehyde, and 1H-benzimidazole-2-amine in methanol in the presence of piperidine. The structure of the obtained compounds was determined by 1H, 13C NMR spectroscopy and X-ray diffraction analysis. The analgesic activity of the synthesized compounds was studied.
Full Text
 
												
	                        About the authors
K. V. Podchezertseva
Perm State Pharmaceutical Academy of the Ministry of Health of the Russian Federation
														Email: tanyapgfa@yandex.ru
				                	ORCID iD: 0009-0009-7473-5505
				                																			                												                	Russian Federation, 							614990, Perm						
N. A. Buzmakova
Perm State Pharmaceutical Academy of the Ministry of Health of the Russian Federation
														Email: tanyapgfa@yandex.ru
				                	ORCID iD: 0000-0003-3171-0438
				                																			                												                	Russian Federation, 							614990, Perm						
T. M. Zamaraeva
Perm State Pharmaceutical Academy of the Ministry of Health of the Russian Federation
							Author for correspondence.
							Email: tanyapgfa@yandex.ru
				                	ORCID iD: 0000-0002-9932-9628
				                																			                												                	Russian Federation, 							614990, Perm						
N. V. Slepova
Perm State Pharmaceutical Academy of the Ministry of Health of the Russian Federation
														Email: tanyapgfa@yandex.ru
				                	ORCID iD: 0000-0003-3924-3715
				                																			                												                	Russian Federation, 							614990, Perm						
М. V. Dmitriev
Perm State National Research University
														Email: tanyapgfa@yandex.ru
				                	ORCID iD: 0000-0002-8817-0543
				                																			                												                	Russian Federation, 							614068, Perm						
References
- Федотов В.В., Русинов В.Л., Уломский Е.Н., Мухин Е.М., Горбунов Е.Б., Чупахин О.Н. // ХГС. 2021. Т. 57. № 4. С. 383; Fedotov V.V., Rusinov V.L., Ulomsky E.N., Mukhin E.M., Gorbunov E.B., Chupakhin O.N. // Chem. Heterocycl. Compd. 2021. Vol. 57. N 4. P. 383. doi: 10.1007/6034
- Sondhi S.M., Rajvanshi S., Johar M., Bharti N., Azam A., Singh A.K. // Eur. J. Med. Chem. 2002. Vol. 37. N 10. P. 835. doi: 10.1016/s0223-5234(02)01403-4.
- Mardazad N., Khorshidi A., Shojaei A.F. // RSC Adv. 2021. Vol. 11. P. 12349. doi: 10.1039/d1ra01005k
- Tran P.H., Thi Bui T.-P., Bach Lam X.-Q., Thi Nguyen X.-T. // RSC Adv. 2018. Vol. 8. P. 36392. doi: 10.1039/c8ra07256f
- Kaur N., Kaur K., Raj T., Kaur G., Singh A., Aree T., Park S.-J., Kim T.-J., Singh N., Jang D.O. // Tetrahedron. 2015. Vol. 71. P. 332. doi: 10.1016/j.tet.2014.11.039
- Шихалиев Х.С., Крыльский Д.В., Потапов А.Ю., Крысин М.Ю., Трефилова И.Н. // Изв. вузов. Сер. хим. и хим. технол. 2004. Т. 47. Вып. 3. С. 149.
- Abedini M., Shirini F., Mousapour M., Goli Jolodar O. // Res. Chem. Intermed. 2016. Vol. 42. P. 6221. doi: 10.1007/s11164-016-2456-4
- Risley V.A., Henry S., Kosyrikhina M.V., Manzanares M.R., Payan I., Downer C.D., Hellmann C.C., Van Slambrouck S., Frolova L.V. // Chem. Heterocycl. Compd. 2014. Vol. 50. N 2. P. 185. doi: 10.1007/1469
- Chavan P., Salve A., Shelke R., Pansare D. // Lett. Appl. NanoBioSci. 2022. Vol. 11. N 1. P. 2996. doi: 10.33263/LIANBS111.29963005
- Подчезерцева К.В., Замараева Т.М., Слепова Н.В., Дмитриев М.В. // ЖОХ. 2024. Т. 94. № 6. С. 699. doi: 10.31857/S0044460X24060034
- CrysAlisPro, Rigaku Oxford Diffraction, 2022, Version 1.171.42.74a.
- Sheldrick G.M. // Acta Crystallogr. (A). 2015. Vol. 71. P. 3. doi: 10.1107/S2053273314026370
- Sheldrick G.M. // Acta Crystallogr. (C). 2015. Vol. 71. P. 3. doi: 10.1107/S2053229614024218
- Dolomanov O.V., Bourhis L.J., Gildea R.J., Howard J.A.K., Puschmann H. // J. Appl. Cryst. 2009. Vol. 42. P. 339. doi: 10.1107/S0021889808042726
- Руководство по проведению доклинических исследований лекарственных средств / Под ред. А.Н. Миронова, Н.Д. Бунятян, А.Н. Васильева, О.Л. Верстаковой, М.В. Журанлевой, В.К. Лепахина, Н.В. Коробова, В.А. Меркулова, С.Н. Орехова, И.В. Сакаевой, Д.Б. Утешева, А.Н. Яворского. М.: Гриф и К, 2012. Ч. 1. 944 с.
- Беленький М.Л. Элементы количественной оценки фармакологического эффекта. Л.: Медгиз, 1963. С. 81.
Supplementary files
 
				
			 
					 
						 
						 
						 
						 
				
 
  
  
  Email this article
			Email this article 
 Open Access
		                                Open Access Access granted
						Access granted

