Amino catalysts in the synthesis of cross-linked silicone diclofenac-containing composites
- Authors: Farmazyan Z.M.1, Atabekyan M.L.1, Akobyan E.A.1, Topuzyan V.O.1, Arakelova E.R.2, Grigoryan S.L.2, Grigoryan S.G.1
- 
							Affiliations: 
							- Scientific and Technological Centre of Organic and Pharmaceutical Chemistry of the National Academy of Sciences of the Republic of Armenia
- National Polytechnic University of Armenia
 
- Issue: Vol 94, No 8 (2024)
- Pages: 913-928
- Section: Articles
- URL: https://journals.rcsi.science/0044-460X/article/view/275735
- DOI: https://doi.org/10.31857/S0044460X24080051
- EDN: https://elibrary.ru/SBRGUA
- ID: 275735
Cite item
Full Text
Abstract
Low molecular mono- and diamines (3-aminopropyltriethoxysilane, hexamethylenediamine, 1,4-diaminobutane), and high molecular weight polydimethylsiloxane with terminal amine groups were studied as catalysts in the synthesis of cross-linked composite films based on polydimethylsiloxane with terminal hydroxyl groups, tetraethoxysilane a cross-linking agent and containing sodium diclofenac as a physiologically active compound. Polyethylene glycol PEG200 was used as a hydrophilizing component for the hydrophobic silicone matrix. The chemical structure of amine catalysts and polyethylene glycol presence have significant effect on structure and properties of the composites, thereby determining the kinetics and degree of prolonged release of diclofenac from the films.
Full Text
ВВЕДЕНИЕ
Cиликоновые полимеры (полисилоксаны) широко применяют в синтезе сшитых эластомеров медицинского назначения, к которым относятся различные импланты, средства доставки лекарств, продукция для трансдермального введения лекарственных средств (пластыри, гели). До настоящего времени полисилоксановые эластомеры остаются в центре внимания исследователей, так как задачи и функции разрабатываемых средств доставки лекарств c контролируемым и пролонгированным действием постоянно развиваются и изменяются [1–5].
Механизмы контролируемого высвобождения лекарственных средств из полимерных систем исследовались и продолжают исследоваться параллелльно с развитием самих систем [4, 6, 7]. Основываясь на классификации полимеров, используемых в средствах доставки лекарств [8], силиконовые эластомеры относят к недеградируемым системам, базовым механизмом высвобождения биологически активных веществ из которых является диффузия, контролируемая набуханием. Диффузия растворенного или диспергированного в полимерной матрице вещества из полимера происходит в условиях диффузии воды или водных растворов, которые проникают во внутренние структуры сшитого полимера, вызывают набухание за счет развертывания цепей между узлами сетки и способствуют выделению активных веществ во внешнюю среду. Высвобождение лекарственых средств зависит от природы полимера, свойств лекарственных средств (растворимость, химическое строение), однородности его распределения в композите, возможного взаимодействия лекарственных средств с компонентами композита, присутствия в композитах различных целевых добавок и др.
К настоящему времени разработаны и широко используются специальные двухкомпонентные полисилоксановые основы медицинского назначения (например, MED-4901 [9, 10], Sylgard 184 [11], MED-6382 [12]). В результате смешения двух компонентов, один из которых – полисилоксан с различными концевыми группами (винильными, гидроксильными), второй – соответствующий сшиватель и катализатор (соединения платины и олова), образуются сшитые эластомеры, в результате реакций радикальной полимеризации, присоединения, или гидролиза-поликонденсации.
В частности, полисилоксановые эластомеры синтезируют из коммерчески доступных линейных полидиметилсилоксанов с концевыми гидроксильными группами (PDMS-OH), четырехфункциональных сшивающих агентов и катализаторов вулканизации [13–16]. Такой вариант синтеза позволяет варьировать свойства сшитой матрицы за счет изменения молекулярной массы PDMS-OH, типа катализатора, соотношения PDMS-OH, сшивающих компонентов и др.
В качестве наиболее эффективных катализаторов низкотемпературной вулканизации PDMS-OH используют соединения олова – дибутилдилаурат или 2-этилгексаноат олова [12, 13], обеспечивающие высокую скорость сшивания при комнатной температуре при малых их концентрациях. Аминные катализаторы, которые эффективны в реакциях гидролиза-конденсации тетраэтоксисилана (TEOS), используются в случаях, когда предпочитают избежать использования металлосодержащих катализаторов. В работе [14] для получения сшитых композитов PDMS-OH с TEOS, содержащих физиологически активное соединение никотин, в качестве нетипичного аминного катализатора впервые был использован высокомолекулярный полидиметилсилоксан с концевыми аминными группами (PDMS-NH2). Теми же авторами проведено сравнительное исследование влияние этого катализатора и дибутилдилаурата олова на морфологию получаемых эластомеров [15]. Показано, что при использовании PDMS-NH2 на поверхности образцов, соприкасающихся с воздухом, в результате гидролиза TEOS in situ формируются частички SiO2. В случае дибутилдилаурата олова образование частиц SiO2 не имеет места, т. е. особенности формирования морфологии эластомеров проявились при использовании аминного и оловосодержащих катализаторов.
Низкомолекулярный амин – 3-аминопропилтриэтоксисилан (APTES) – используется в основном в золь-гель системах и как катализатор, и как сомономер в реакциях гидролиза-конденсации совместно с TEOS для получения ксерогелей диоксида кремния [17, 18]. В сшитой системе на основе TEOS и PDMS-OH APTES был применен при получении золь-гель методом гидрогелей, содержащих гиалуроновую кислоту [19]. Однако роль APTES как катализатора в реакциях синтеза сшитых эластомеров при взаимодействии TEOS и PDMS-OH исследована недостаточно.
Целью работы является исследование каталитических свойств различных моно- и диаминов в процессе образования сшитых композитов на основе системы PDMS-OH и TEOS, содержащих лекарственное средство, их влияние на морфологию композитов и кинетику высвобождения лекарственного средства.
РЕЗУЛЬТАТЫ И ОБСУЖДЕНИЕ
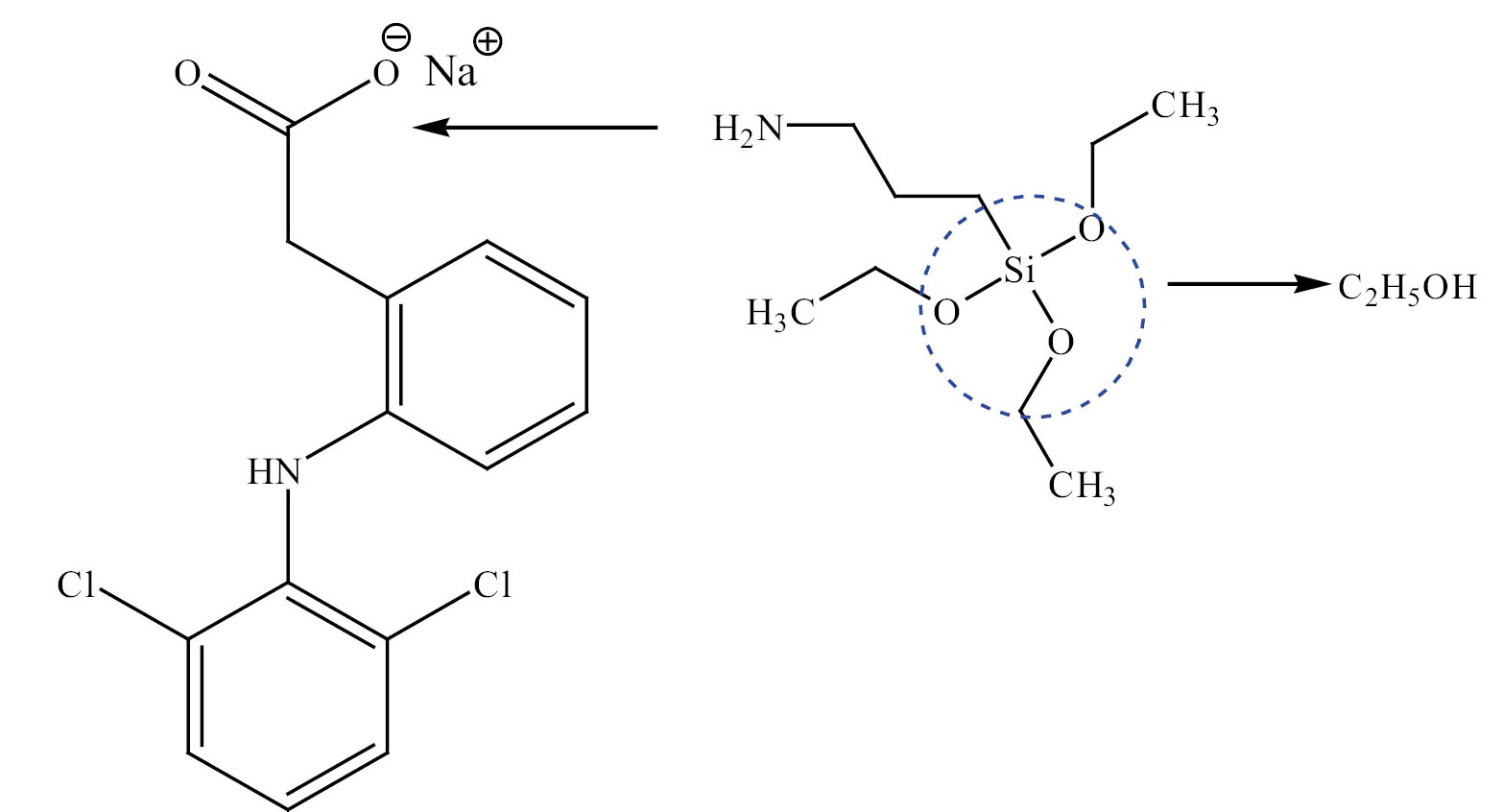
Синтезированы силиконовые эластомеры на основе коммерчески доступного полидиметилсилоксана с концевыми гидроксильными группами (PDMS-ОН) с использованием TEOS в качестве сшивающего агента и первичных аминных соединений в качестве катализаторов вулканизации PDMS-ОН при комнатной температуре (схема 1). В синтезе и исследовании силиконовых композитов в качестве модельного лекарственного средства использовали натриевую соль диклофенака натрия. В качестве катализаторов исследовали высокомолекулярный и низкомолекулярные амины: гексаметилендиамин (HMDA, 1,6-гександиамин) и 1,4-бутандиамин (DAB, путресцин), которые можно рассматривать как низкомолекулярные фрагменты PDMS-NH2, моделирующие концевые –(CH2)nNH2 аминные группы, а также 3-аминопропилтриэтоксисилан (APTES). Последний выступает в роли катализатора вулканизации силикона, но также может образовать ксерогели диоксида кремния в результате совместных с TEOS реакций гидролиза-поликондесации.
Схема 1.
Композиты получали в виде объемных образцов (А и Б), представлящих собой цилиндры высотой 0.5–0.6 см и диаметром 2.5 см и пленок (В и Г) толщиной 0.3–0.5 мм.
При практически одинаковой слабой степени набуханиия всех образцов (до 10−15%) (рис. 1б) количество десорбированного диклофенака натрия из объемных образцов А составляет 5–12% и ~25% в случае, когда катализатором вулканизации является APTES (рис. 1а). Введение ~11% гидрофильного компонента PEG200 в гидрофобную матрицу (образцы Б) способствовует повышению степени набухания, а также повышению степени высвобождения диклофенак натрия из всех образцов почти вдвое, до 20–30% (рис. 1в), кроме образца с использованием APTES. В последнем случае высвобождение диклофенака натрия более низкое (до 6%), хотя степень набухания этого образца выше остальных и достигает 70% (рис. 1г).
Рис. 1. Кинетические кривые высвобождения диклофенака натрия и степень набухания объемных образцов A (a, б) и Б (в, г). а, б: 1 – A-APT, 2 – A-HMDA, 3 – A-PDS, 4 – A-DAB; в, г: 1 – Б-APT, 2 – Б-HMDA, 3 – Б-PDS, 4 – Б-DAB.
Повышение степени набухания при введении PEG200 согласуется с известными представлениями о роли гидрофилизирующих добавок (этиленгликоль, глицерин, полиэтиленгликоль разной молекулярной массы) как агентов, способствующих набуханию гидрофобной сшитой матрицы в воде и водных средах [20, 21]. С другой стороны, при смешении PEG200 (поверхностное натяжение γ 43.5 мН/м) с PDMS-OH (γ 24.8 мН/м) и TEOS (γ 24.8 мН/м) образуется эмульсионная система, в которой гидрофильные домены (микрокапли) PEG200 распределены в гидрофобной среде, вследствие чего появляется межфазная гидрофильно-гидрофобная поверхность. Введенные в эту систему катализаторы и диклофенак натрия располагаются специфическим образом, обусловленным наличием в их молекулах гидрофильных, гидрофобных и полярных групп, тем самым оказывая влияние на морфологию и кинетику высвобождения диклофенака натрия.
Из пленок В того же состава, что и объемные образцы Б (пленки В-HMDA, В-DAB и В-PDS (табл. 1) степень высвобожденного диклофенака натрия увеличивается до 52−58% (рис. 2а) при степени набухания 38, 57 и 38% соответственно (рис. 2б). Здесь исключение составляет пленка В-APT, аналогично объемному образцу Б-APT, степень высвобождения диклофенака натрия составляет ~10%, при относительно высокой степени набухания (около 80%). Повышение доли PEG200 в пленках с катализаторами HMDA и DAB до ~20 % (пленки Г-HMDA и Г-DAB, табл. 1) привело к увеличению количества высвобождаемого диклофенака натрия до 65–70% в течение 3 сут (рис. 2а). Замечено, что при применении в качестве катализатора вулканизации полимерного амина PDMS-NH2 пленка с 20% PEG200 не образуется.
Таблица 1. Составы и соотношение компонентов в объемных образцах и пленках.а
| Образец | PDMS-OH, мас% (ммоль) | TEOS, мас% (ммоль) | Катализатор, мас% (ммоль) | PEG200, мас% (ммоль) | Диклофенак натрия, мас% (ммоль) | 
| А-APT | 90.0 (0.05) | 3.5 (0.34) | 3.5 (0.32) | 0.0 | 3.0 (0.19) | 
| Б-APT В-APT | 80.0 (0.05) | 3.1 (0.34) | 3.1 (0.32) | 11.1 (1.25) | 2.7 (0.19) | 
| А-PDS | 90.0 (0.05) | 3.5 (0.34) | 3.5 (0.078) | 0.0 | 3.0 (0.19) | 
| Б-PDS В-PDS | 80.0 (0.05) | 3.1 (0.34) | 3.1 (0.078) | 11.1 (1.25) | 2.7 (0.19) | 
| А-DAB | 90.7 (0.05) | 3.5 (0.34) | 2.7 (0.61) | 0.0 | 3.1 (0.19) | 
| Б-DAB В-DAB | 81.6 (0.05) | 3.2 (0.34) | 1.2 (0.3) | 11.3 (1.25) | 2.7 (0.19) | 
| Г-DAB | 73.3 (0.05) | 2.8 (0.34) | 1.1 (0.3) | 20.4 (2.5) | 2.4 (0.19) | 
| А-HMDA | 90.0 (0.05) | 3.5 (0.34) | 3.5 (0.6) | 0.0 | 3.0 (0.19) | 
| Б-HMDA В-HMDA | 80.0 (0.05) | 3.1 (0.34) | 3.1 (0.6) | 11.1 (1.25) | 2.7 (0.19) | 
| Г-HMDA | 72.0 (0.05) | 2.8 (0.34) | 2.8 (0.6) | 20.0 (2.5) | 2.4 (0.19) | 
а Использованы следующие обозначения образцов: объемные образцы без PEG200 – А-APT, А-PDS, А-DAB, А-HMDA; объемные образцы с содержанием PEG200 ~11% – Б-APT, Б-PDS, Б-DAB, Б-HMDA; пленки с содержанием PEG200 ~11% – В-APT, В-PDS, В-DAB и В-HMDA; пленки с содержанием PEG200 ~20% Г-DAB и Г-HMDA. Катализаторы: APT − 3-аминопропилтриэтоксисилан, PDS − PDMS-NH2, DAB − диаминобутан, HMDA – гексаметилендиамин.
Рис. 2. Кинетические кривые высвобождения диклофенака натрия (а) и набухания пленок (б) в зависимости от типа катализатора и количества PEG200. 1 – Г-HMDA, 2 – Г-DAВ, 3 – В-PDS, 4 – В-DAB, 5 – В-HMDA, 6 – В-АPТ.
Представляет интерес эффект, выявленный при сравнении пленок Г-HMDA и Г-DAB с добавлением ~20% PEG200. Степень высвобождения диклофенака натрия из этих пленок повышается до 65–70% (рис. 2а). При этом набухание пленки Г-HMDA максимальное (до 150%), а набухание пленки Г-DAB сравнимо с пленкой В-APT (80%), содержащей 11.1% PEG200, из которой, как было сказано выше, степень высвобождения диклофенака натрия составляет всего 10% (рис. 2б). Очевидно, что в исследованных образцах набухание не является основным фактором, определяющим высвобождение диклофенака натрия из композитов. Степень и кинетика высвобождения могут быть связаны с различным распределением диклофенака натрия в компонентах пленки, взаимодействием составляющих композитов друг с другом, термодинамикой поверхности пленок (свободной поверхностной энергией), а также с морфологией образцов.
В табл. 2 приведены значения свободной поверхностной энергии пленок. Свободная поверхностная энергия пленок В-APT, В-PDS и В-DAB находится в интервале 15.9–35.2 мН/м, причем ее дисперсионные составляющие, которые обусловлены ван-дер-ваальсовыми взаимодействиями, выше полярных (сильные взаимодействия и водородные связи). Пленка В-HMDA имеет неожиданно высокую поверхностную энергию, в основном за счет полярной составляющей. Увеличение количества PEG200 в образце Г-DAB до 20% повысило значение свободной поверхностной энергии, причем за счет дисперсионной составляющей. Однако в пленке Г-HMDA увеличение PEG200 до 20%, наоборот, способствовало понижению свободной поверхностной энергии за счет резкого уменьшения полярной составляющей. Вероятной причиной высокой свободной поверхностной энергии пленки В-HMDA является то, что полярные аминные группы гексаметилендиамина в процессе формирования пленки в основном располагаются близко к поверхности, граничащей с воздухом, аналогично тому, как это обнаружено в случае с катализатором PDMS-NH2 [15]. Понижение поверхностной энергии при увеличении доли PEG200 в пленке до 20.0% (и, соответственно, доли гидроксильных групп), в большей степени за счет полярной составляющей, может быть результатом взаимодействия аминных групп катализатора с гидроксильными группами полиэтиленгликоля.
Таблица 2. Контактные углы смачивания пленок полярным (вода) и неполярным растворителем (метилениодид) и значения свободной поверхностной энергии, рассчитанные методом Оунса, Вендта, Рабеля и Кьельбле по измеренным значениям углов смачивания.
| Образец с PEG200 (%) | Контактные углы смачивания, град | Поверхностная энергия, мН/м | |||
| вода | CH2I2 | γ | γd | γp | |
| В-APT (11.1%) | 92.2 | 73.4 | 22.4 | 17.8 | 4.6 | 
| В-PDS (11.1%) | 70.8 | 61.2 | 35.2 | 21.0 | 14.1 | 
| В-DAB (11.3%) | 101.2 | 83.7 | 15.9 | 14.0 | 1.9 | 
| Г-DAB (20.4%) | 104.2 | 66.2 | 25.2 | 24.7 | 0.6 | 
| В-HMDA (11.1%) | 40.2 | 88.8 | 65.8 | 3.0 | 62.8 | 
| Г-HMDA (20.0%) | 103.1 | 93.8 | 11.3 | 9.6 | 1.3 | 
На СЭМ-снимках пленки В-APT (рис. 3) проявляются трещины и глобулярные включения различного диаметра (около 0.1, 4, 40 мкм). Глобулярные включения образованы микрокаплями гидрофильного полиэтиленгликоля в гидрофобной силиконовой матрице. Наличие трещин может способствовать относительно высокой степени набухания пленок в растворе NaCl (рис. 2б). Однако низкая степень высвобождения диклофенака натрия (~10%) свидетельствует о том, что здесь механизм диффузии, контролируемый набуханием, не является решающим, а есть другие факторы, препятствующие высвобождению диклофенака натрия. Судя по снимкам (рис.3а–в) основная часть диклофенака натрия (возможно, в координации с APTES) находится внутри микроглобул PEG200, гидрофильная поверхность которых окружена гидрофобным слоем полисилоксановой сетки. Это затрудняет проникновение (доступ) водного раствора NaCl в микрокапли PEG200, поэтому диффузия диклофенака натрия в раствор затруднена, что и объясняет низкую степень его высвобождения. На рис. 3г зеленый цвет внутри глобулы обусловлен атомами хлора, присутствующими в молекуле диклофенака натрия, свидетельствует о его включении в микрокапли PEG200.
Рис. 3. Микрофотографии поверхности пленки В-APT, содержащей диклофенак натрия и ~11% полиэтиленгликоля. Пленка получена из PDMS-OH и TEOS в присутствии катализатора APTES.
ИК спектры смеси диклофенака натрия с APTES подтверждают предположение об их координации (рис. 4). В ИК спектрах APTES и диклофенака натрия присутствуют все характеристические полосы валентных и деформационных колебаний [22, 23]. В ИК спектре смеси APTES и диклофенака натрия наблюдатся следующие изменения: исчезновение пиков деформационных колебаний (см–1) APTES 1593 (NH2), 1443 [СН(CH3)], 1365, 1296 [СН(CH2)], валентных колебаний диклофенака натрия 1283 (C–N), 2924 и 2854 [СН(CH2)], полоса 793 (Si–O) совмещается с полосой 767 и 747 (СН) диклофенака натрия. Исчезает пик 1401 [νs(COO–)], но полоса 1575 [νas(COO–)] остается без изменений. В области 2700–3500 см–1 присутствует широкая полоса, характерная для группы NH APTES с максимумами при 3386 и 3256 см–1, которые совпадают с пиками NH диклофенака натрия. Исходя из этих данных, в композиционной смеси возможна координация NH2-групп преимущественно с карбоксилат-ионом и гидролиз алкоксигрупп APTES с выделением этилового спирта (представлено на схеме 2).
Рис. 4. ИК спектры APTES (1), диклофенака натрия (2) и их смеси (3).
Схема 2.
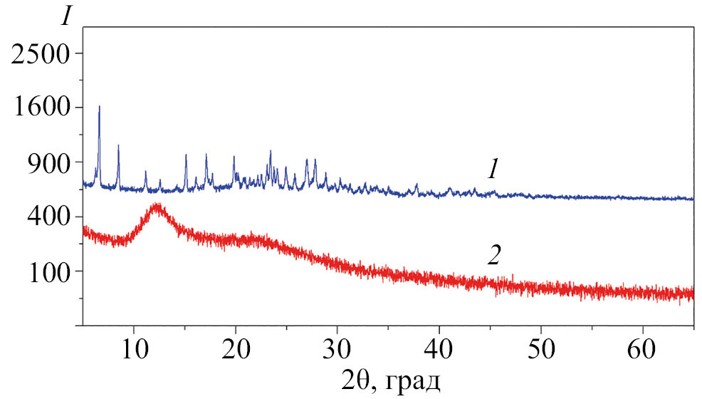
Дифрактограммы пленки В-APT и диклофенака натрия показаны на рис. 5. На пленке практически отсутствуют рефлексы диклофенака натрия, что может быть следствием нарушения его кристаллической решетки вследствие взаимодействия с составляющими композита, в частности APTES. Двугорбость аморфного гало обусловлена наличием двух структурированных областей ближнего порядка аналогично ранее обнаруженному в ксерогелях диоксида кремния APTES-TEOS [18].
Рис. 5. Дифрактограммы диклофенака натрия (1) и пленки В-APT, содержащей ~11% PEG200. Пленка получена взаимодействием PDMS-OH и TEOS в присутствии катализатора APTES.
Пленка В-PDS (рис. 6) характеризуется наличием структурированных участков, а также неоднородных включений размерами 5–30 мкм, которые образованы гидрофильными доменами PEG200 в силиконовой матрице.
Рис. 6. Микрофотографии поверхности пленки В-PDS, содержащей диклофенак натрия и ~11% PEG200. Пленка получена взаимодействием PDMS-OH и TEOS в присутствии катализатора PDMS-NH2.
В ИК спектрах PDMS-NH2 присутствуют характеристические полосы валентных колебаний 2961, 2925, 2880 (CH3 и CH2), 1260 (Si–CH3), 1087 и 1026 (Si–O–Si), 3300–3400 см–1 (NH2); деформационных колебаний 1580 (NH2), 1450–1460 см–1 (CH3 и CH2) [24]. В ИК спектрах смеси PDMS-NH2 и диклофенака натрия присутствуют все основные характеристические полосы PDMS-NH2 и диклофенака натрия, и нет сдвигов полос поглощения, т. е. практически нет взаимодействия между их функциональными группами. Вероятно, в пленке В-PDS диклофенак натрия распределен равномерно по всему образцу, что характерно для матричного распределения, и это способствует более высокой степени высвобождения (~60%) при невысокой степени набухания (до 40%).
СЭМ-изображения поверхности пленок В-HMDA (мольное соотношение диклофенак натрия:APTES:PEG = 1:3.2:6.6) и Г-HMDA (мольное соотношение диклофенак натрия:APTES:PEG = 1:3.2:13.2) показаны на рис. 7 и 8. В пленку В-HMDA (рис. 6) включены как отдельные конгломераты, образованные из ориентированно направленных «лепестков», так и области, состоящие из слоистых образований и отдельных частиц разной степени упорядоченности. С увеличением количества PEG200 в пленке Г-HMDA изменяется морфология пленки (рис. 7). СЭМ-Изображения показывают наличие конгломератов (а, б), однако лепестки менее ориентированы, чем в образце В-HMDA. В пленке появились области иной структуры, в виде цепочек (в, г), расположенных между конгломератами (д). Наличие структурированых частиц и областей в пленках В-HMDA и Г-HMDA, а также изменения в морфологии пленок при увеличении количества PEG является следствием специфического расположения катализатора гексаметилендиамина в смеси PDMS-OH, TEOS, PEG200 и диклофенака натрия на начальной стадии формирования пленок и их возможного взаимодействия.
Рис. 7. Микрофотографии поверхности пленки В-HMDA, содержащей диклофенак натрия и ~11% полиэтиленгликоля. Пленка получена взаимодействием PDMS-OH и TEOS в присутствии катализатора HMDA.
Рис. 8. Микрофотографии поверхности пленки Г-HMDA, содержащей диклофенак натрия и ~20% PEG200. Пленка получена взаимодействием PDMS-OH и TEOS в присутствии катализатора HMDA.
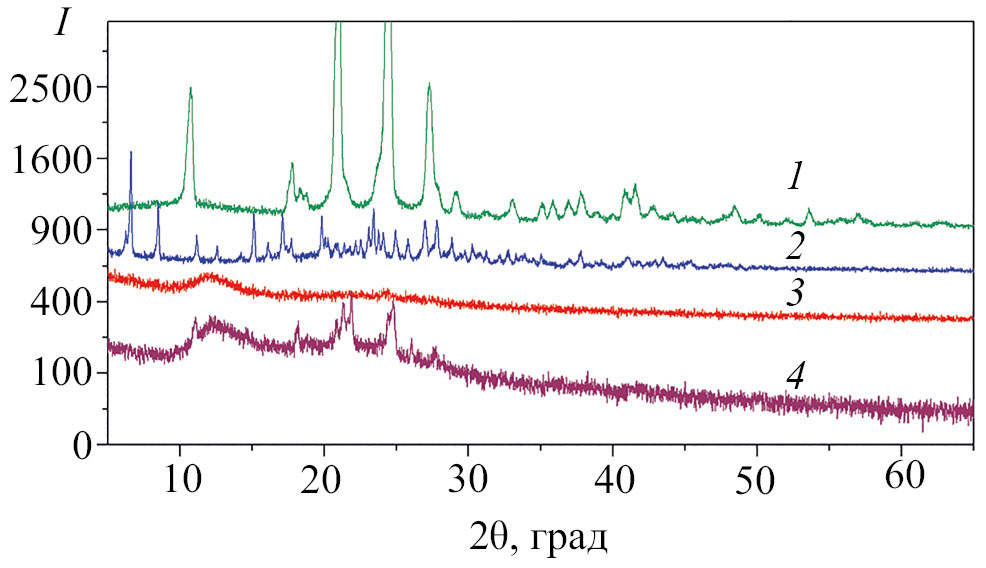
На рис. 9 показаны дифрактограммы HMDA, диклофенака натрия и пленок, содержащих 11% PEG200 (В-HMDA) и 20% PEG200 (Г-HMDA). На пленке В-HMDA не проявляются кристаллические рефлексы ни диклофенака натрия, ни HMDA, очевидно, вследствие того, что они инкорпорированы в структуру или связаны с ее компонентами. Однако на дифрактограмме пленки Г-HMDA с 20% PEG200 наблюдаются рефлексы при 2θ = 11.07, 14.66, 18.21, 20.89, 21.33, 21.91, 24.43, 24.86, 26.06 и 27.72, 41.60 и 62.68° с межплоскостными расстояниями d = 7.99, 6.04, 4.87, 4.25, 4.16, 4.06, 3.64, 3.58, 3.42, 3.22, 2.17 и 1.48 Å, свидетельствующие о возможном образовании комплекса. В этот комплекс входят диклофенак натрия и HMDA, так как их рефлексы и межплоскостные расстояния соответствуют предполагаемому комплексу (дифрактограмма диклофенака натрия имеет рефлексы с 2θ = 20.95, 21.42, 24.94, 27.83, 41.81 и 63.62° с межплоскостными расстояниями 4.24, 4.15, 3.57, 3.21, 2.16 и 1.46 Å; дифрактограмма HMDA имеет рефлексы с 2θ = 21.92, 24.56, 41.50 и 62.92° с межплоскостными расстояниями 4.06, 3.63, 2.17 и 1.48 Å). Исходя из иccледований, проведенных с использованием программного обеспечения X′Pert High ScorePlus, ICSD и СOD, можно предположить образование структуры, включающей диклофенак натрия, PEG и HMDA. Предполагаемая структура может содержать от 2 до 4 молекул диклофенака натрия, которые связаны друг с другом, с HMDA и PEG200.
Рис. 9. Дифрактограммы гексаметилендиамина (1), диклофенака натрия (2), пленки В-HMDA (3, 11% PEG200), пленки Г-HMDA (4, 20%PEG200).
О возможности формирования таких структур свидетельствуют изменения в ИК спектрах диклофенака натрия в смесях с HMDA и PEG200 (рис. 10 и 11). Так, в спектрах смеси диклофенака натрия и HMDA исчезают пики валентных колебаний 1401, 1575 (COO–) диклофенака натрия и 1609 (NH) HMDA, появляется новый пик 1583 cм–1 вследствие взаимодействия группы NH2 с COO– (рис. 10). В спектрах смеси диклофенака натрия и PEG200 исчезают пики валентных колебаний 1283 и 1305 (C–N), 1506 (фенилацетатное кольцо) и 1401 cм–1 (COO–), а полоса 1575 cм–1 (COO-) сдвигается до 1586 см–1 (рис. 11). Вероятно, в смеси диклофенака натрия с PEG200 имеет место взаимодействие гидроксильных групп PEG200 с карбонильной группой и образование водородных связей между NH-группой диклофенака натрия и гидроксильными группами PEG200. В спектрах смеси HMDA с PEG200 в области 3000–3500 см–1 валентные колебания группы NH2 попадают под полосу валентных колебаний О–Н PEG200 с максимумом 3358 см–1, который может быть суммой полос 3329 cм–1 HMDA и 3397 cм–1 PEG200; пик 1609 cм–1 (NH) сдвигается и раздваивается на две полосы 1602 и 1653 см–1. Изменения в ИК спектрах при взаимодействии HMDA с PEG200 происходят вследствие образования водородных связей между гидроксильной и аминной группами. Вероятные взаимодействия между диклофенаком натрия, HMDA и PEG200 представлены на схеме 3.
Рис. 10. ИК спектры HMDA (1), диклофенака натрия (2) и их смеси (3).
Рис. 11. ИК спектры PEG200 (1), диклофенака натрия (2) и их смеси (3).
Схема 3.
ВЫВОДЫ
Молекулярная масса и химическое строение исследованных аминных катализаторов оказывают существенное влияние на морфологию, набухание, свободную поверхностную энергию пленок, и в конечном итоге, определяют кинетику и степень высвобождения диклофенака натрия. При использовании в качестве катализаторов диаминобутана и гексаметидендиамина вероятен механизм высвобождения диклофенака натрия, обусловленный набуханием, так как количество высвобождаемого из пленок диклофенака увеличивается с повышением степени набухания. Повышению степени набухания способствует наличие полиэтиленгликоля в гидрофобных силиконовых матрицах. Обнаружено, что при содержании 20% PEG200 в пленках с гексаметилендендиамином формируются структуры, включающие диклофенак натрия, PEG200 и HMDA. При использовании в качестве катализатора APTES степень высвобождения диклофенака натрия не зависит от степени набухания. С одной стороны, наличие PEG200 способствует набуханию, что согласуется с известными данными о его роли «проводника» водных растворов в гидрофобные матрицы, и набухание происходит за счет развертывания полимерных цепей между узлами сетки. Но, с другой стороны, в композиционной смеси с APTES PEG200 играет роль резервуара, в который включен диклофенак натрия, координированный с катализатором, вследствие чего не происходит его диффузия во внешнюю среду. Сравнение значений свободной поверхностной энергии и соотношений их полярных и дисперсионных составляющих позволяет сделать предварительные предположения о морфологии пленок (расположении функциональнх групп компонентов внутри или на поверхности пленок, их взаимодействии друг с другом). В ряду исследованных соединений три низкомолекулярных амина (APTES, DAB и HMDA) выполняют роль катализаторов, но в отличие от высокомолекулярного диамина PDMS-NH2 они одновременно могут служить модификаторами модельного лекарственного соединения диклофенака натрия при наличии в системе гидрофилизирующего компонента – полиэтиленгликоля.
ЭКСПЕРИМЕНТАЛЬНАЯ ЧАСТЬ
В работе использовали коммерчески доступные реагенты без дополнительной очистки: полидиметилсилоксан с концевыми гидроксильными группами PDMS-OH (Gelest, DMS-S32, 1800–2200 сСт, ~36000 г/моль), полидиметилсилоксан с концевыми аминными группами PDMS-NH2 (Gelest, DMS-A11, 10−15 сСт, 850–900 г/моль), 3-аминопропилтриэтоксисилан (APTES, Gelest), тетраэтоксисилан (TEOS, Sigma-Aldrich, 99%), полиэтиленгликоль (PEG200, Sigma-Aldrich), диклофенак натрия (Sigma-Aldrich), гексаметилендиамин (1,6-диаминогексан, HMDA, Sigma-Aldrich, 98%), диаминобутан (1,4-бутандиамин, DAB, Fluka AG, Buchs SG, ≥99%), метилениодид (98%, ООО РЕАХИМ). Гексаметилендиамин и диаминобутан – кристаллические вещества с температурами плавления 38 и 27°С соответственно. Физиологический раствор (0.9%-ный раствор NaCl) готовили растворением 9 г NaCl (ХЧ, ООО РЕАХИМ) в 1 л дистиллированной воды (дистиллятор Z-5Z, Nanjing Everich Medicare Import & Export Co. Ltd). Диклофенак натрия представляет собой субстанцию, ИК спектр и дифрактограмма которой совпадают с данными [25] для безводной формы. Диклофенак натрия относится к классу II (низкая растворимость, высокая проницаемость), согласно системе BCS (Биофармацевтическая классификационная система).
Синтез композитных образцов. Композиты получали в виде объемных образцов (А, Б), представляющих собой цилиндры высотой 0.5–0.6 см и диаметром 2.5 см, и пленок (В и Г) толщиной 0.3–0.5 мм. Состав образцов (мас%, ммоль) приведен в табл. 1.
Синтез объемных образцов (А). 1.8 г PDMS-OH смешивали с 0.07 г TEOS, тщательно перемешивали вручную в течение 4–5 мин, затем добавляли последовательно 0.06 г диклофенака натрия, 0.07 г катализатора (APTES, PDMS-NH2 или HMDA) или 0.054 г DAB, вновь перемешивали 2–3 мин, и затем подвергали ультразвуковому воздействию в течение 5 мин.
Синтез объемных образцов, содержащих 11% PEG200 (Б). 1.8 г PDMS-OH сначала смешивали с 0.25 (или 0.5) г PEG200, тщательно перемешивали в течение 4–5 мин, затем добавляли 0.06 г диклофенака натрия, 0.07 г катализатора (APTES, PDMS-NH2) или 0.027 г катализатора DAB. После перемешивания в течение 8–10 мин смесь оставляли в термошкафу при 39–40°С до формирования сшитого образца.
Синтез композитных пленок В и Г. Готовые композитные смеси сразу выливали в пластиковые чашки Петри диаметром 4.5 см. В результате образуются пленки, легко снимаемые с пластиковой поверхности. Все образцы готовили при комнатной температуре (23–25°С), но в случае диаминобутана и гексаметилендиамина смесь подогревали до 40°С, чтобы перевести амины в жидкую форму. После смешения всех компонентов образцы помещали в термостат и выдерживали при 39–40°C до образования сшитого композита.
Высвобождение диклофенака натрия в 0.9%-ном растворе NaCl определяли спектрофотометрически (Cary 100 UV-Vis Spectrophotometer, Agilent Technologies) при длине волны 275 нм. Из каждого образца вырезали по три фрагмента массой 0.05–0.1 г и помещали в 5 мл раствора NaCl в пробирки Эппендорфа. Через определенные интервалы времени растворы отбирали и определяли в них количество десорбированного диклофенака натрия, в пробирки заливали свежую порцию раствора NaCl. Количество высвобожденного диклофенака натрия рассчитывали, как среднее 3 измерений. В течение всего времени эксперимента образцы выдерживали в термостате при 37–38°С. Среднеквадратическое отклонение измерений R2 составляло 0.87–0.99 для объемных образцов и 0.96–0.99 для пленок.
Набухание образцов. Взвешенные фрагменты образцов (0.15–0.2 г) помешали в бюксы с 5 мл раствора NaCl, оставляли при температуре 37–38°С, периодически помешивая вручную. Через каждые 24 ч сливали жидкость, доставали образец, сушили фильтровальной бумагой и взвешивали. Затем образец вновь помешали в свежую порцию раствора NaCl. Коэффициент набухания рассчитывали по отношению прироста в весе к начальному весу образца:
Набухание,
где w0 – начальный вес образца, w – вес набухшего образца через определенный интервал времени.
Измерения контактных углов смачивания пленок полярным (вода) и неполярным (метилениодид) растворителями проведены на приборе для определения контактных углов смачивания CAM 101 (KSV Instruments Ltd, Finland). Прибор оснащен программным обеспечением для расчета свободной поверхностной энергии и ее полярной и дисперсионной составляющих методами разных авторов (Зисмана, Фоукса, Ву и Оунса, Вендта, Рабеля и Кьельбле) [26] по измеренным значениям углов смачивания. Контактные углы смачивания замеряли на трех разных участках пленки в течение 30 с (60 кадров). Отклонения от среднего значения составляли ±2% на пленках с APTES, PDMS-NH2 и диаминобутаном и ±6% на пленках с гексаметилендиамином. Для расчета свободной поверхностной энергии методом Оунса, Вендта, Рабеля и Кьельбле использовали значения первых 10 с (35−37 кадров), так как в этом интервале изменение углов из-за особенностей поверхности пленок было минимальным (±0.15°) для всех растворителей.
Морфологические исследования поверхности пленок выполнены методом сканирующей электронной микроскопии на сканирующем электронном микроскопе Prisma E SEM (ThermoFisher). ИК спектры образцов сняты на приборе FTIR Avatar Nicolet. Дифрактограммы сняты на рентгеновском дифрактометре EMPYREAN, Panalytical Company (45 кВ, 40 мА) с облучением Cu-Kα.
КОНФЛИКТ ИНТЕРЕСОВ
Авторы заявляют об отсутствии конфликта интересов.
About the authors
Z. M. Farmazyan
Scientific and Technological Centre of Organic and Pharmaceutical Chemistry of the National Academy of Sciences of the Republic of Armenia
														Email: grigstepan@yahoo.com
				                	ORCID iD: 0000-0001-9841-5586
				                																			                								
Institute of Fine Organic Chemistry named after A. L. Mnjoyan
Armenia, Yerevan, 0014M. L. Atabekyan
Scientific and Technological Centre of Organic and Pharmaceutical Chemistry of the National Academy of Sciences of the Republic of Armenia
														Email: grigstepan@yahoo.com
				                	ORCID iD: 0000-0002-5265-5469
				                																			                								
Institute of Fine Organic Chemistry named after A. L. Mnjoyan
Armenia, Yerevan, 0014E. A. Akobyan
Scientific and Technological Centre of Organic and Pharmaceutical Chemistry of the National Academy of Sciences of the Republic of Armenia
														Email: grigstepan@yahoo.com
				                	ORCID iD: 0000-0003-2409-1894
				                																			                								
Institute of Fine Organic Chemistry named after A. L. Mnjoyan
Armenia, Yerevan, 0014V. O. Topuzyan
Scientific and Technological Centre of Organic and Pharmaceutical Chemistry of the National Academy of Sciences of the Republic of Armenia
														Email: grigstepan@yahoo.com
				                	ORCID iD: 0000-0002-1721-1993
				                																			                								
Institute of Fine Organic Chemistry named after A. L. Mnjoyan
Armenia, Yerevan, 0014E. R. Arakelova
National Polytechnic University of Armenia
														Email: grigstepan@yahoo.com
				                	ORCID iD: 0000-0001-6640-8998
				                																			                												                	Armenia, 							Yerevan, 0009						
S. L. Grigoryan
National Polytechnic University of Armenia
														Email: grigstepan@yahoo.com
				                	ORCID iD: 0000-0001-6342-4060
				                																			                												                	Armenia, 							Yerevan, 0009						
S. G. Grigoryan
Scientific and Technological Centre of Organic and Pharmaceutical Chemistry of the National Academy of Sciences of the Republic of Armenia
							Author for correspondence.
							Email: grigstepan@yahoo.com
				                	ORCID iD: 0000-0002-7193-9803
				                																			                								
Institute of Fine Organic Chemistry named after A. L. Mnjoyan
Armenia, Yerevan, 0014References
- Mojsiewicz-Pieńkowska K. In: Handbook of Polymers for Pharmaceutical Technologies. Beverly: Scrivener Publishing LLC, 2015. Vol. 2. P. 363. https://doi.org/10.1002/9781119041412ch13
- Mashak A., Rahimi A. // Iran. Polym. J. 2009. Vol. 18. N 4. P. 279.
- Aliyar H., Schalau G. // Therapeutic Delivery. 2015. Vol. 6. N 7. P. 827. doi: 10.4155/tde.15.39
- Stewart S., Domínguez-Robles J., Donnelly R., Larrañeta E. // Polymers. 2018. Vol. 10. N 12. P. 1379. doi: 10.3390/polym10121379
- Rongthong T., Qnouch A., Maue Gehrke M., Paccou L., Oliveira P., Danede F., Verin J., Vincent C., Willart J.F., Siepmann F., Siepmann J. // Regen. Biomater. 2023. Vol. 10. Art. ID rbad008. doi: 10.1093/rb/rbad008
- Siepmann J., Peppas N.A. // Adv. Drug Deliv. Rev. 2001. Vol. 48. P. 39. doi: 10.1016/j.addr.2012.09.028
- Gao Z., Schulze Nahrup J., Mark J.E., Sakr A. // J. Appl. Polym. Sci. 2003. Vol. 90. P. 658. doi: 10.1002/app.12700
- Langer R., Peppas N.A. // Rev. Macromol. Chem. Phys. 1983. Vol. C23. P. 61. doi: 10.1080/07366578308079439
- Snorradottir B.S., Gudnason P., Scheving R., Thorsteinsson F., Masson M. // Pharmazie. 2009. Vol. 64. N 1. P. 19. doi: 10.1691/ph.2008.8206
- Snorradottir B.S., Gudnason P., Thorsteinsson F., Masson M. // Eur. J. Pharm. Sci. 2011. Vol. 42. N 5. P. 559. doi: 10.1016/j.ejps.2011.02.0111
- Mazurek P., Brook M.A., Skov A.L. // Langmuir. 2018. Vol. 34. N 38. P. 11559. doi: 10.1021/acs.langmuir.8b02039
- Malcolm R., McCullagh S., Woolfson A., Gorman S., Jones D., Cuddy J. // J. Control. Release. 2004. Vol. 97. N 2. P. 313. doi: 10.1039/b313483k
- Soulas D.N., Sanopoulou M., Papadokostaki K.G. // Mater. Sci. Eng. 2013. Vol. 33. N 4. P. 2122. doi: 10.1002/app.38711
- Brook M.A., Holloway A.C., Kenneth K., Ng., Hrynyk M., Moore C., Ryan L. // Int. J. Pharm. 2008. Vol. 358. N 1. P. 121. doi: 10.1016/j.ijpharm.2008.02.029
- Rajendra V., Gonzaga F., Brook M.A. // Langmuir. 2012. Vol. 28. P. 1470. doi: 10.1021/la203550
- Atabekyan M.L., Farmazyan Z.M., Grigoryan S.G., Lavanant L., Topuzyan V.O. Pat. EU 4322906 (2024); Pat. JP 2024514128A (2024); Pat. 3214923 (2023) Canada; Pat. US 20240197648 (2024).
- Ottenbrite R.M., Wall J.S., Siddiqui J.A. // J. Am. Ceram. Soc. 2000. Vol. 83. N 12. P. 3214. doi: 10.1111/j.1151-2916.2000.tb01709.x
- Farmazyan Z.M., Atabekyan M.L., Hakobyan E.H., Shahkhatuni A.G., Arakelova E.R., Grigoryan S.L., Grigoryan S.G., Topuzyan V.O. // Chem. J. Armenia. 2022. Vol. 75. N 3–4. P. 321. doi: 10.54503/0515-9628-2022.75.3-321
- Sánchez-Téllez D.A., Rodríguez-Lorenzo L.M., Téllez-Jurado L. // Carbohydrate Polym. 2019. Vol. 249. P. 115590. doi: 10.1016/j/carbpol.2019.115590
- Carelli V., Di Colo G. // J. Pharm. Sci. 1983. Vol. 72. N 3. P. 316. doi: 10.1002/jps,2600720329
- Colo G.D. // Biomaterials. 1992. Vol. 13. N 12. P. 850. doi: 10.1016/0142-9612(92)90178-q
- Peña-Alonso R., Rubio F., Rubio J., Oteo J.L. // J. Mat. Sci. 2007. Vol. 42. N 2. P. 595 doi: 10.1007/s10853-006-1138-9
- Kovala-Demertzi D., Mentzafos D., Terzis A. // Polyhedron. 1993. Vol. 12. N 11. P. 1361. doi: 10.1016/s0277-5387(00)84327-2
- Tasić A.M., Pergal M.V., Antić M.P., Antić V.V. // J. Serb. Chem. Soc. 2017. Vol. 82. N 12. P. 1395. doi: 10.2298/JSC170427082T
- Bartolomei M., Rodomonte A., Antoniella E., Minelli G., Bertocchi. P. // J. Pharm. Biomed. Anal. 2007. Vol. 45. N 3. P. 443. doi: 10.1016/j/jpba.2007.07.002
- Kloubek J. // Adv. Colloid Interface Sci. 1992. Vol. 38. P. 99. doi: 10.1016/0001-8686(92)80044-x
Supplementary files
 
				
			 
					 
						 
						 
						 
						 
				
 
  
  
  Email this article
			Email this article 














