Spectrophotometric Analysis of Copolyarylene Phthalides and Their Copolymers with Methyl Methacrylate and Styrene
- Authors: Yumagulova R.K.1, Yangirov T.A.1, Ayupova A.R.1, Kraikin V.A.1
-
Affiliations:
- Ufa Federal Research Center of the Russian Academy of Sciences
- Issue: Vol 94, No 6 (2024)
- Pages: 746-756
- Section: Articles
- URL: https://journals.rcsi.science/0044-460X/article/view/269857
- DOI: https://doi.org/10.31857/S0044460X24060085
- EDN: https://elibrary.ru/EYRQGR
- ID: 269857
Cite item
Full Text
Abstract
Sulfuric acid solutions of copolyarylene phthalides of the diphenyloxide series and their copolymers with methyl methacrylate and styrene were studied by the photometric method. According to spectral data, regardless of the ratio of single (α) and double (β + γ) phthalide groups in the macrochains of copolyarylene phthalides in their copolymers with methyl methacrylate, there are ~20–26 mol of MMA per 1 mol of phthalide units. The structure of copolyarylene phthalides is a determining factor in the formation of copolymers with styrene, in which either styrene units or phthalide fragments predominate (~15–40 and ~2–5 mol of styrene per mole of phthalide unit).
Full Text
ВВЕДЕНИЕ
Наиболее полную информацию о составе и структуре (со)полимеров можно получить, используя комплекс спектральных методов, а для полимеров, содержащих ароматические соединения, успешно применяется спектрофотометрический метод [1]. В работе [2] утверждается, что УФ спектроскопия является точным методом определения содержания стирола в бутадиенстирольных сополимерах. Но в некоторых работах при анализе растворов сополимеров стирола с метилметакрилатом отмечается нелинейная зависимость оптической плотности от концентрации [3–6]. Авторы [3] наблюдали гипохромный эффект в растворе сополимеров стирола с метилметакрилатом, степень гипохромизма и состав, при котором он появляется, являлись функцией от диэлектрической константы растворителей (CHCl3, C2H4Cl2, C2H2Cl4, ТГФ и диоксан). В то же время в работах [5, 6] для этого же самого сополимера изменение коэффициента экстинкции фенильной группы связывают с последовательностью звеньев стирола в макромолекулах сополимера. Автор [7] обосновал ошибочность таких утверждений и отметил, что при правильном выборе условий эксперимента и обработке полученных данных спектральная информация правильно отображает микроструктуру сополимеров.
Полоса поглощения стирольных звеньев при 269 нм использована для установления состава сополимеров стирола с метилметакрилатом [8], а также с диэтиленгликольбисаллилкарбонатом и диаллилизофталатом [9]. В работе [10] представлены результаты спектрофотометрии сополимеров стирола с nара-метокси-, nара-хлор- и nара-фторстиролом, но были безуспешными попытки проанализировать сополимеры с 4-винилпиридином и N-винилкарбазолом. Проведен подробный анализ спектральных характеристик сополимеров стирола с орто-, мета- и пара-замещенным стиролом (F, Cl, Br, CH3), а также соответствующих смесей гомополимеров [11]. Для гомо- и сополимеров стирола и пара-метоксистирола определены молярные коэффициенты экстинкции для полос поглощения при 262, 269, 278 и 285 нм, которые использованы для идентификации состава сополимеров [12]. Большая разница коэффициентов экстинкции полосы поглощения при 226 нм для стирола и α-метилстирола позволила установить состав их сополимеров [13]. Для определения содержания пара-бромстирола в его сополимерах со стиролом использована полоса поглощения при 278 нм [14]. Методом УФ спектроскопии установлены концевые группы в полистиролах с молекулярной массой до 106 [15], определено содержание незаполимеризовавшегося мономера [16]. Для интерпретации УФ спектров стиролсодержащих сополимеров предложен метод, основанный на использовании модельных молекул с известными хромофорами для статистической оценки спектров неизвестных хромофоров [17]. Показано, что получены надежные данные по составу сополимеров стирола с метилметакрилатом и акрилонитрилом. Проведено спектрофотометрическое изучение диффузии лазерной краски [1,4-бис(5-фенилоксозаил-2-ил)бензола] в растворах сополимера стирола с акрилонитрилом [18]. Фотометрическим методом, кроме соединений стирола, исследуются также некоторые сополимеры других виниловых мономеров. Определен состав сополимеров 2,4-дихлорфенилметакрилата [19] и 2,4-дихлорфенилакрилата [20] с бутилметакрилатом, в диапазоне 200–700 нм установлена температурная зависимость интенсивности поглощения водных растворов три- и диблоксополимеров поли[N,N-(диметиламино)этилметакрилата] и поли[2-(2-метоксиэтокси)этилметакрилата] [21]. Спектрофотометрическим титрованием в УФ области изучены сополимеры 2-метил-5-винилпиридина с акриловой кислотой [22]. В спектрах сополимеров анилина с орто-антраниловой кислотой полосы поглощения при 348 и 512 нм отнесены к π–π*-переходам в бензоидных и хиноидных циклах соответственно [23]. Используя электрохимическую установку, соединенную с УФ спектрофотометром, осуществлен синтез сополимеров анилина с орто-метоксианилином при различных соотношениях сомономеров в растворе серной кислоты с концентрацией 1.0 моль/л [24]. Установлено, что реакционноспособные орто-метоксигруппы снижают проводимость полимера. Спектрофотометрическим методом подтверждено введение в термостойкие полимеры стабилизующих добавок, содержащих одну или две аллильные группы, и изучено влияние этих добавок на фотодеградацию сополимеров [25]. Но все же, в большинстве случаев УФ спектры неинформативны для установления структуры макроцепей. В то же время показано [26–28], что электронные спектры сернокислотных растворов полигетероариленов – полиариленфталидов и полиарилендифталидов – адекватно отражают состав и микроструктуру их макромолекул.
Ранее нами сочетанием методов ЯМР и ИК спектроскопии определен состав ариленфталидстирольных сополимеров [29]. В дальнейшем для исследования структуры таких сополимеров применили фотометрический анализ их сернокислотных растворов. Поскольку ариленфталидстирольные сополимеры не растворяются в серной кислоте, использовали обходной путь, основанный на экстракции ионизированной формы арилендифталидстирольных сополимеров из органической фазы в слой концентрированной серной кислоты [28]. Напрямую спектрофотометрический анализ сернокислотных растворов можно проводить в случае самих полиариленфталидов и полиарилендифталидов и их сополимеров с метилметакрилатом.
Цель данной работы – установление структуры сополиариленфталидов и их сополимеров с метилметакрилатом и стиролом по электронным спектрам сернокислотных растворов.
РЕЗУЛЬТАТЫ И ОБСУЖДЕНИЕ
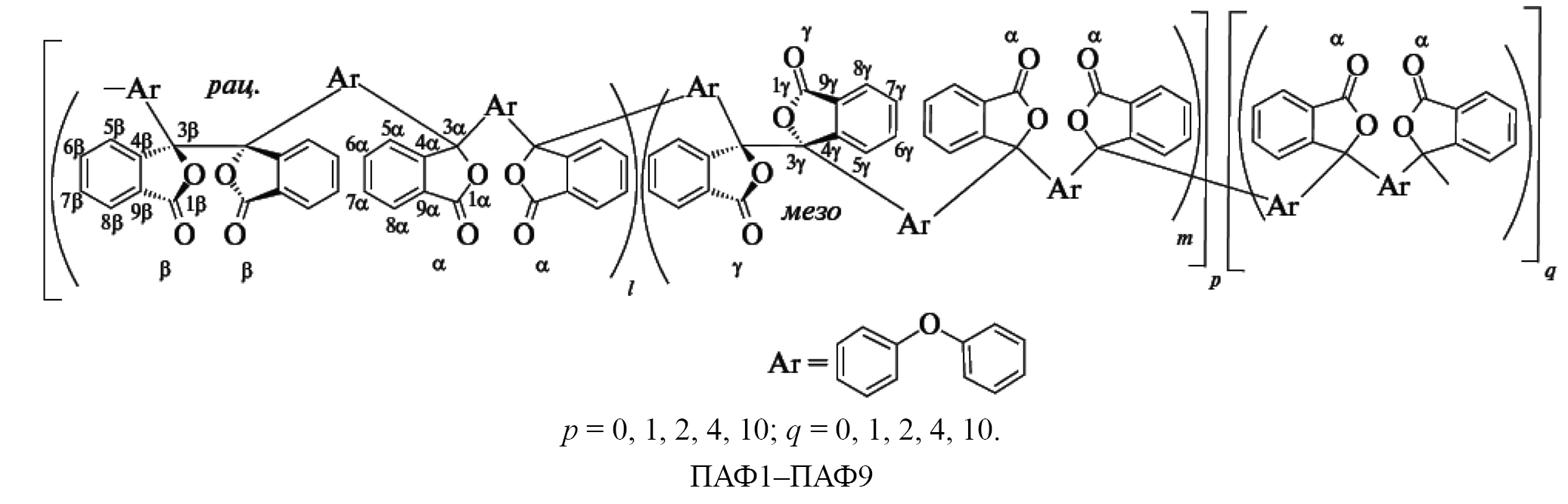
В работе исследованы полиариленфталиды ПАФ1–ПАФ9, общая формула которых представлена на схеме 1 [30].
Схема 1
Макроцепи данных сополимеров построены из p- и/или q-звеньев: в состав p-звеньев входят как одиночные (α), так и дифталидные группы хиральной (β) и мезо- (γ) конфигураций, а q-звенья макромолекул содержат только α-фталидные группы.
По схеме, аналогичной с синтезом ариленфталидстирольных сополимеров (СП) [31], на основе полиариленфталидов ПАФ1–ПАФ9 и метилметакрилата получены сополимеры СМ1–СМ9, в макроцепях которых полиметилметакрилатные блоки чередуются с фрагментами полиариленфталидов ПАФ1–ПАФ9 (табл. 1, схема 2).
Таблица 1. Соотношение р:q в сополиариленфталидах и их сополимерах с метилметакрилатом (СМ) и стиролом (СП)
Сополиариленфталиды | ||||||||
ПАФ1 | ПАФ2 | ПАФ3 | ПАФ4 | ПАФ5 | ПАФ6 | ПАФ7 | ПАФ8 | ПАФ9 |
р:q | ||||||||
1:0 | 10:1 | 4:1 | 2:1 | 1:1 | 1:2 | 1:4 | 1:10 | 0:1 |
Сополимеры с метилметакрилатом (СМ) и стиролом (СП) | ||||||||
1 | 2 | 3 | 4 | 5 | 6 | 7 | 8 | 9 |
Схема 2
Из калибровочных зависимостей (рис. 1) найдены коэффициенты экстинкции (табл. 2), которые были использованы в уравнении Бугера–Ламберта–Бера при расчете состава сополимеров ПАФ1–ПАФ8, СМ1–СМ9 и СП1–СП9.
Рис. 1. Зависимость оптической плотности сернокислотных растворов от концентрации гомополидифенилоксиддифталида (а) и ПАФ9 (б) при 460 и 533 нм (l = 0.501 см)
Таблица 2. Молярные коэффициенты экстинкции полидифенилоксиддифталида (гомополидифенилоксиддифталида) и полидифенилоксидфталида ПАФ9.
ПАФ | ε, л·моль–1·см–1 | |
λ1, 460 нм | λ2, 533 нм | |
Гомополидифенил оксиддифталид [28] | 10670±50 | 780±10 |
ПАФ9 | 7960±10 | 28840±120 |
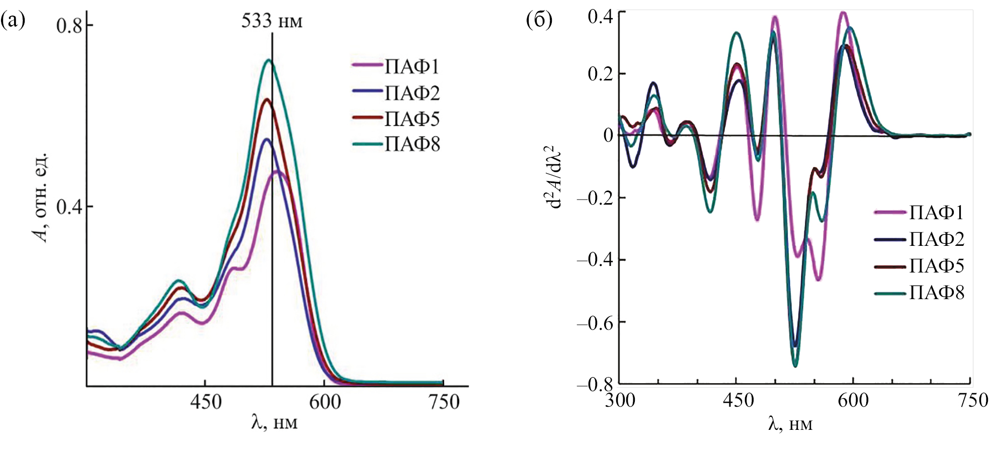
Спектры полиариленфталидов ПАФ2–ПАФ8 схожи между собой: главная полоса поглощения хромофоров их α-фталидных групп состоит из трех максимумов, как явных (основной максимум), так и проявляющихся в виде плеча: один в коротковолновой, а другой – в длинноволновой области (рис. 2а). Положение максимумов поглощения, проявляющихся в виде плеча, можно установить применением производной спектрофотометрии (рис. 2б).
Рис. 2. Электронные спектры поглощения сернокислотных растворов с концентрацией (1.51–1.53)·10–2 г/л полиариленфталидов (а) и вторые производные спектров (б)
Для полиариленфталидов, в составе которых высоко содержание дифталидных групп (q/р ≤ 2) основной максимум регистрируется при 527 нм, с увеличением q/р смещается в область более длинных волн и в спектре полиариленфталида ПАФ9 (р:q = 0:1), фиксируется уже при 533 нм (рис. 3а). В спектре полиариленфталида ПАФ1 (р:q = 1:0), в p-звеньях которого регулярно чередуются ариленфталидные (α) и арилендифталидные (β- и γ-) группы в соотношении 1:1, присутствует уже два явных максимума: при 536 и 486 нм.
Рис. 3. Электронные спектры поглощения (а) сернокислотных растворов с концентрацией (1.51–1.53)·10–2 г/л гомополидифенилоксиддифталида (1), гомополидифенилоксидфталида ПАФ-9 (2), их эквимольной смеси (3) и вторые производные спектров (б)
На спектрах полиариленфталидов и их вторых производных (рис. 2б) видно, что с увеличением q/р возрастает интенсивность поглощения в длинноволновой области. В случае полиариленфталида ПАФ1 оптическая плотность длинноволнового максимума даже больше, чем оптическая плотность основного максимума. Заметно отличается спектр полиариленфталида ПАФ1 и по интенсивности поглощения коротковолнового максимума. Данная полоса поглощения (480 нм) в спектре полиариленфталида ПАФ1 близка к главной полосе поглощения хромофоров β- и γ-фталидных групп.
В гомополидифенилоксиддифталиде [23], в макроцепях которого с дифенилоксидными фрагментами основной цепи чередуются только дифталидные (β- и γ-) группы (отсутствуют α-фталидные группы), главный максимум регистрируется при 460 нм (рис. 3а). В эквимольной смеси гомополимеров полидифенилоксиддифталида и полиариленфталида ПАФ9 основной максимум поглощения дифталидных β- и γ-групп гомополидифенилоксиддифталида смещается в область более длинных волн, максимум поглощения α-фталидных групп полиариленфталида ПАФ9, напротив, претерпевает гипсохромный сдвиг. Это означает, что основные максимумы двух типов фталидных групп, фиксируемые в смеси гомополимеров, воссоздают их положение в сополимерах ПАФ2–ПАФ8.
На вторых производных спектров полосы поглощения гомополидифенилоксиддифталида и смеси накладываются друг на друга на участке от 477 до 490 нм (рис. 3б). Середина этого отрезка полосы составляет 483.5 нм, т. е. приближается к максимуму, наблюдаемому в коротковолновой области в спектре полиариленфталида ПАФ1. Отсюда следует, что данный максимум обусловлен поглощением α-фталидных групп, связанных с β- и γ-группами.
Спектры сополимеров всех исследуемых полиариленфталидов с метилметакрилатом (исключение СМ1) схожи со спектрами исходных полиариленфталидов, но с увеличением q/р интенсивность поглощения в длинноволновой области в спектрах сополимеров возрастает заметно сильнее (рис. 4).
Рис. 4. Спектры поглощения сернокислотных растворов (с = 8.32·10–2 г/л) сополимеров сополиариленфталидов с метилметакрилатом
Иная картина наблюдается для сополимеров сополиариленфталидов со стиролом. В ходе полимеризации стиролсодержащие реакционные смеси в зависимости от состава полиариленфталида либо остаются гомогенными, как в случае с метилметакрилатом, либо расслаиваются на две жидкие фазы, из которых выделены сополимеры фракций А и Б. Гомогенными в течение всего процесса остаются системы с полиариленфталидами ПАФ1 (р:q = 1:0), ПАФ3 (q/р = 0.25), ПАФ6 (q/р = 2) и ПАФ7 (q/р = 4), в присутствии остальных полиариленфталидов образуются двухфазные системы.
В спектрах всех сополимеров основной максимум поглощения α-групп во фталидных фрагментах цепи смещается на 7–10 нм в область меньших длин волн, что вероятно, обусловлено наличием π-электронов в структуре полиариленфталида и винилового мономера (рис. 5).
Рис. 5. Электронные спектры поглощения ариленфталидстирольных сополимеров фракций А (а) (с = 13.00·10–2 г/л) и фракций Б (б) (3.25·10–2 г/л, для сополимера СП9Б с = 1.63·10–2 г/л)
В ряду сополимерных фракций А минимальное поглощение α-групп фиксируется в спектре сополимера СП9А, хотя в макроцепях исходного полиариленфталида ПАФ9 (р:q = 0:1) присутствуют только одиночные (α) и отсутствуют β- и γ-группы (рис. 5а). Напротив, в ряду сополимерных фракций Б максимальная оптическая плотность полосы поглощения α-групп регистрируется именно в спектре сополимера СП9Б (рис. 5б). Преобладание в составе исходных полиариленфталидов дифталидных групп (q/р ≤ 0.25) приводит к синтезу сополимеров СП2А и СП4А, для которых наблюдается тенденция роста интенсивности поглощения α-групп по мере повышения содержания дифталидных групп. В случае фракций Б этих же сополимеров отмечается обратная закономерность – минимально поглощение α-групп в спектре сополимера СП2Б.
Для сополимеров со стиролом, формирующихся в гомогенных условиях, как и для сополимеров с метилметакрилатом, наименьшая оптическая плотность в случае сополимера СП1, полученного в присутствии полиариленфталида ПАФ1, в макроцепях которого отсутствуют q-звенья.
Из результатов фотометрического исследования сернокислотных растворов полиариленфталидов и их сополимеров с метилметакрилатом и стиролом можно сделать два вывода. Во-первых, полученные данные указывают на зависимость состава сополимеров от микроструктуры полиариленфталида – соотношения в макромолекулярном звене одиночных и дифталидных групп, т. е. величины α/(β + γ). Во-вторых, из закономерностей, наблюдаемых в спектрах сополимеров со стиролом, следует, что термически менее устойчивые блоки p формируют фракцию А, а более термостойкие блоки q – фракцию Б. Такое заключение ранее было сформулировано на основе анализа конверсии стирола, выхода сополимеров, их молекулярно-массовых характеристик и морфологической структуры [31].
Ранее нами при исследовании полиариленфталидов ПАФ1–ПАФ8 методом спектроскопии ЯМР было обнаружено, что их состав не соответствует составу исходной мономерной смеси [30]. Вследствие расщепления дифталидных групп в ходе поликонденсации в синтезированных полиариленфталидах содержание β- и γ-фталидных групп всегда ниже. Подобная трансформация дифталидных групп наблюдается и в ходе термической сополимеризации полиариленфталидов с метилметакрилатом и стиролом.
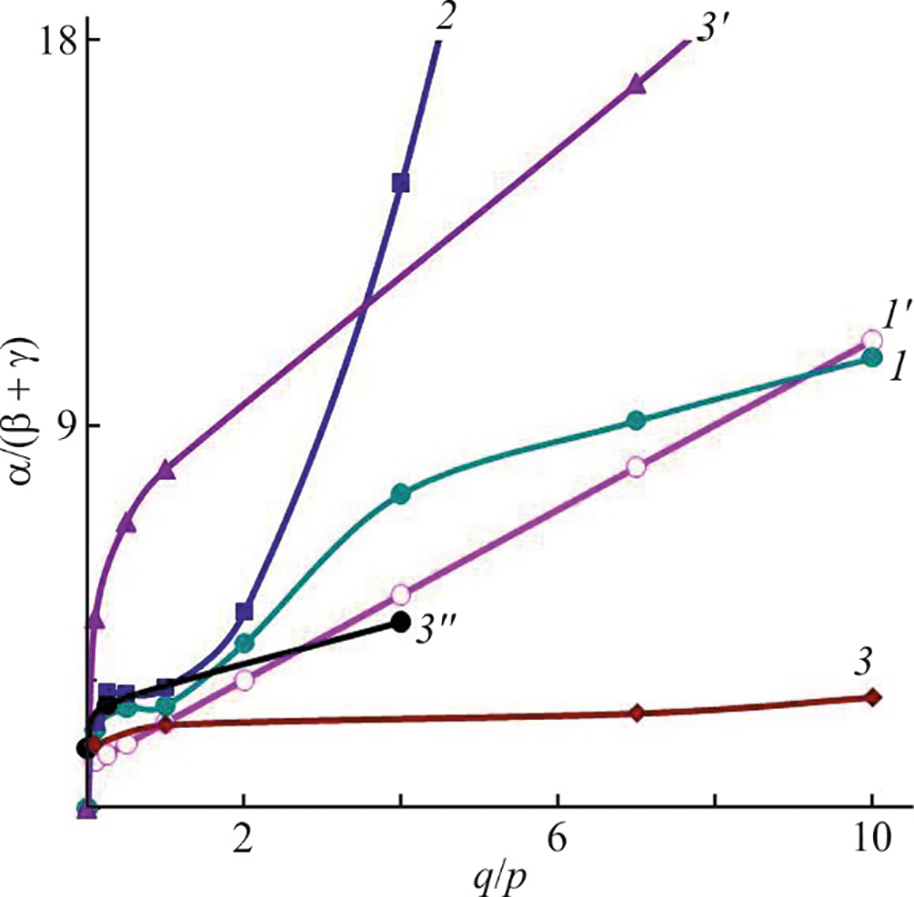
Результаты исследования структуры полиариленфталидов фотометрическим методом согласуются с данными, полученными из спектров ЯМР: в макромолекулярном звене полиариленфталидов ПАФ1–ПАФ8 величины α/(β + γ) выше, чем их значения, рассчитанные исходя из состава мономерных смесей, использованных при синтезе (рис. 6).
Рис. 6. Зависимость величины α/(β + γ) от q/р в сополиариленфталидах, экспериментальная (1) и расчетная (1′), в сополимерах с метилметакрилатом (2) и со стиролом фракций А (3), фракций Б (3′) и гомофазных систем (3ʺ)
Величины α/(β + γ) для сополимеров с метилметакрилатом, во фталидных фрагментах которых 0.1 ≤ q/р ≤ 2, незначительно отличаются от таковой в самих полиариленфталидах. Увеличение содержания q-звеньев (q/р ≥ 4) приводит к резкому росту α/(β + γ), что обусловлено высоким содержанием α-групп уже в исходных полиариленфталидах. Во фталидных фрагментах всех фракций А сополимеров со стиролом величины α/(β + γ) меньше, чем в самих полиариленфталидах. Для фракций Б наблюдается обратная зависимость: α/(β + γ) значительно выше, чем в полиариленфталидах, и монотонно возрастают с увеличением содержания q-звеньев. Такая же закономерность, но менее выраженная, наблюдается в ряду сополимеров, формирующихся в гомофазных системах.
Согласно результатам фотометрического исследования, в макромолекулярном звене сополимера с метилметакрилатом на 1 моль фталидного звена приходится ~20–26 моль звеньев метилметакрилата (рис. 7а). В случае сополимеров со стиролом аналогичный состав имеют лишь сополимеры, которые, как и в реакциях с метилметакрилатом, формируются в гомофазных условиях: на один моль фталидного звена приходится ~15–21 моль стирольных звеньев (рис. 7б).
Рис. 7. Состав сополимеров сополиариленфталидов с метилметакрилатом (а) и стиролом (б) (содержание звеньев винилового мономера в расчете на 1 моль фталидного звена)
Для сополимеров со стиролом в ряду фракций А высоким содержанием стирольных звеньев отличаются сополимеры СП9А и СП10А, полученные в присутствии полиариленфталида с наибольшей величиной α/(β + γ). Однако состав фракций Б этих же сополимеров (~4 моль стирольных звеньев на 1 моль фталидного фрагмента) практически не отличается от состава других сополимеров фракций Б.
ВЫВОДЫ
Результаты исследования показали, что фотометрический метод можно успешно применять не только для установления структуры сополиариленфталидов, но и состава их сополимеров с метилметакрилатом и стиролом. Более того, на основе полученных экспериментальных данных можно выбрать конкретную структуру полиариленфталида для получения ариленфталидметилметакрилатного или ариленфталидстирольного сополимера заданного состава, не применяя расчетные методы.
ЭКСПЕРИМЕНТАЛЬНАЯ ЧАСТЬ
Метилметакрилат и стирол (Acros Organics) очищали от ингибитора на колонке с окисью алюминия с последующей двукратной перегонкой в вакууме, использовали фракцию с т. кип. 46±1°С (32 мм рт. ст.) и 50±1°С (25 мм рт. ст.) соответственно.
Синтез полиариленфталидов ПАФ1–ПАФ9 [30]. Сополиариленфталиды ПАФ1–ПАФ9 получали по общей методике (в качестве примера описан синтез сополимера ПАФ5). В подключенную к аргонной линии трехгорлую колбу, снабженную механической мешалкой и воздушным холодильником со счетчиком пузырьков, загружали 0.63565 г (1.055 ммоль) 3,3′-бис(4-феноксифенил)-3,3′-дифталида, 0.17955 г дифенилоксида (1.055 ммоль), 1.06185 г (2.110 ммоль) дихлорангидрида 4,4′-бис(2-карбоксибензоил)дифенилоксида и 4.5 мл нитробензола. Реакционную смесь при перемешивании нагревали до 70°C и вносили 0.027 мл (0.21 ммоль) SbCl5, после чего перемешивание продолжали при постоянном токе аргона в течение 12 ч (при 70°C). По окончании синтеза в реакционную массу добавляли сначала 2 мл ДМФА, затем 15 мл хлороформа, перемешивали и выливали в 5-кратный избыток спирта. Высаженный полимер отфильтровывали, промывали спиртом и сушили при 100°С до постоянной массы.
Синтез сополимеров метилметакрилата и стирола с полиариленфталидами. Сополимеры ПАФ1–ПАФ9 с метилметакрилатом получены реакцией термической сополимеризации (120°С) по схеме, аналогичной синтезу ариленфталидстирольных сополимеров [31]. Полимеризацию реакционной смеси, состоящей из метилметакрилата (900 мг) и полиариленфталида (100 мг), растворенного в циклогексаноне (3 мл), проводили в течение 7 ч при 120±0.05°С в запаянных вакуумированных ампулах. Все реакционные смеси с метилметакрилатом вне зависимости от состава исходных полиариленфталидов ПАФ1–ПАФ9 в течение всего процесса остаются гомогенными. Сополимеры стирола, состоящие из двух несмешивающихся фракций, разделяли декантацией, обе фракции по отдельности высаживали в метанол, все осадки выделяли фильтрованием через мембранные фильтры Nylon 66 Membranes (0.45 мкм × 47 мм), промывали на фильтре метанолом, сушили до постоянной массы.
Фотометрия сернокислотных растворов. Электронные спектры сернокислотных (H2SO4, 94%, ОСЧ) растворов полиариленфталидов и их сополимеров с метилметакрилатом и стиролом регистрировали в кварцевой кювете толщиной 0.501 см на спектрофотометре UVmini-1240 Shimadzu (Япония). 1.2 мг полиариленфталида растворяли в 4 мл Н2SO4, из полученного раствора через 8 ч отбирали аликвоту 0.4 мл и разбавляли до 1 мл. Аналогично готовили растворы для анализа сополимеров с метилметакрилатом: навеску сополимера 1.5 мг растворяли в 2 мл Н2SO4, также через 8 ч, отбирали 0.4 мл раствора и разбавляли до 1 мл концентрированной серной кислотой. В случае ариленфталидстирольных сополимеров 1.5 мг сополимера растворяли в 4 мл хлороформа, через 2 ч добавляли 4 мл серной кислоты. После полной диффузии ионизированной формы сополимера в слой серной кислоты (36 ч), о чем свидетельствует обесцвечивание органического слоя, из сернокислотных растворов отбирали аликвоты: 0.4 мл – сополимеры фракций А и сополимеры, формирующиеся в гомогенных системах, 0.1 мл – сополимеры фракций Б, и разбавляли до 1 мл Н2SO4.
Спектры полиариленфталидов регистрировали для сернокислотных растворов с концентрацией (1.51–1.53)·10–2 г/л, для растворов сополимеров с метилметакрилатом – с концентрацией 8.32·10–2 г/л. Концентрация растворов ариленфталидстирольных сополимеров составляла 13.00·10–2 для фракций А и сополимеров гомогенных систем и 3.25·10–2 г/л для сополимеров фракций Б.
Определение состава полиариленфталидов и их сополимеров с метилметакрилатом и стиролом. Из калибровочных зависимостей (рис. 1) найдены коэффициенты экстинкции (табл. 2), которые были использованы в уравнении Бугера–Ламберта–Бера при расчете состава сополимеров ПАФ1–ПАФ8, СМ1–СМ9 и СП1–СП9.
В соответствии с законом Бугера–Ламберта–Бера для λ1 и λ2 справедливы уравнения (1) и (2) соответственно:
, (1)
, (2)
где сФт-Фт и сФт – мольные концентрации дифенилоксиддифталидных и дифенилоксидфталидных фрагментов цепи; εФт-Фт и εФт – молярные коэффициенты экстинкции гомополидифенилоксиддифталида и ПАФ9; l – толщина кюветы (0.501 см); А1 и А2 – величины оптической плотности растворов сополимеров ПАФ1–ПАФ9, СМ1–СМ9 и СП1–СП9 при λ1 и λ2. Решение системы уравнений находили в матричном виде, используя оператор lsolve(A, B) программы Mathcad:
ФИНАНСОВАЯ ПОДДЕРЖКА
Работа выполнена при поддержке Российского научного фонда (грант № 23-13-20024) с использованием оборудования Центра коллективного пользования «Химия» Уфимского института химии Уфимского федерального исследовательского центра Российской академии наук.
КОНФЛИКТ ИНТЕРЕСОВ
Авторы заявляют об отсутствии конфликта интересов.
About the authors
R. Kh. Yumagulova
Ufa Federal Research Center of the Russian Academy of Sciences
Author for correspondence.
Email: jmagulova@anrb.ru
ORCID iD: 0000-0003-3596-1875
Russian Federation, Ufa
T. A. Yangirov
Ufa Federal Research Center of the Russian Academy of Sciences
Email: jmagulova@anrb.ru
ORCID iD: 0000-0002-7267-9716
Russian Federation, Ufa
A. R. Ayupova
Ufa Federal Research Center of the Russian Academy of Sciences
Email: jmagulova@anrb.ru
ORCID iD: 0000-0003-0479-4250
Russian Federation, Ufa
V. A. Kraikin
Ufa Federal Research Center of the Russian Academy of Sciences
Email: jmagulova@anrb.ru
ORCID iD: 0000-0001-8826-8885
Russian Federation, Ufa
References
- Кромптон Т. Анализ пластиков. М.: Мир, 1988. 679 с.
- Meehan E.J. // J. Polym. Sci. 1946. Vol. 1. N 3. P. 175. doi: 10.1002/pol.1946.120010305
- Gallo B.M., Russo S. // J. Macromol. Sci. (A). 1974. Vol. 8. N 3. P. 521. doi: 10.1080/00222337408065847
- Vala M.T., Haebig J., Rice S.A. // J. Chem. Phys. 1965. Vol. 43. N 3. P. 886. doi: 10.1063/1.1696866
- O’Driscoll K.F., Wertz W., Husar A. // J. Polym. Sci. (A). 1967. Vol. 1. N 5. P. 2159. doi: 10.1002/pol.1967.150050831
- Stützel B., Miyamoto T., Cantow H.-J. // Polym. J. 1976. Vol. 8. N 3. P. 247. doi: 10.1295/polymj.8.247
- Garcia-Rubio L.H. // J. Appl. Polym. Sci. 1982. Vol. 27. N 6. P. 2043. doi: 10.1002/app.1982.070270617
- Tobolsky A.V., Eisenberg A., O’Driscoll K.F. // Anal. Chem. 1959. Vol. 31. N 2. P. 203. doi: 10.1021/ac60146a013
- Тюрина Т.Г., Дмитрук Т.В., Зайцева В.В. // Высокомол. cоед. (Б). 1996. Т. 38. Вып. 8. С. 1435; Tyurina T.G., Dmitruk T.V., Zaitseva V.V. // Polym. Sci. (B). 1996. Vol. 38. N 7–8. P. 329.
- Ramelow U., Baysal B.M. // J. Appl. Polym. Sci. 1986. Vol. 32. N 7. P. 5865. doi: 10.1002/app.1986.070320718
- Noël C., Monnerie L. // Polym. J. 1976. Vol. 8. N 4. P. 319. doi: 10.1295/polymj.8.319
- Melville H.W., Valentine L. // Trans. Faraday Soc. 1955. Vol. 51. P. 1474. doi: 10.1039/TF9555101474
- Scares B.G., de Souza Gomes A. // Polym. Bull. 1988. Vol. 20. N 6. P. 543. doi: 10.1007/BF00263670
- Kern W., Brawn D. // Macromol. Chem. 1958. Vol. 27. N 1. P. 23. doi: 10.1002/macp.1958.020270102
- Kämmerer H., Sextro G., Seyed-Mozaffari A. // J. Polym. Sci. Polym. Chem. Ed. 1976. Vol. 14. N 3. P. 609. doi: 10.1002/pol.1976.170140310
- Newell J.E. // Anal. Chem. 1951. Vol. 23. N 3. P. 445. doi: 10.1021/ac60051a015
- Garcia-Rubio L.H., Ro N. // Can. J. Chem. 1985. Vol. 63. N 1. P. 253. doi: 10.1139/v85-042
- Rao K.C., Rao K.S.V.K., Mallikarjuna N.N., Naidu B.V.K., Aminabhavi T.M. // J. Appl. Polym. Sci. 2005. Vol. 95. N 6. P. 1481. doi: 10.1002/app.21397
- Shah B.S., Patel M.B., Patel R.M. // Int. J. Polym. Mater. 2004. Vol. 53. N 7. P. 609. doi: 10.1080/00914030490461720
- Patel M.G., Patel H.J., Patel J.R., Patel K.H., Patel R.M. // Int. J. Polym. Mater. 2007. Vol. 57. N 2. P. 165. doi: 10.1080/00914030701486179
- Song L., Sun H., Chen X., Han X., Liu H. // Soft Matter. 2015. Vol. 11. N 24. P. 4830. doi: 10.1039/C5SM00859J
- Круглова Н.А., Савинова И.В. // Высокомол. cоед. (А). 1979. Т. 21. Вып. 2. С. 282; Kruglova N.A., Savinova I.V. // Polym. Sci. USSR. 1979. Vol. 21. N 2. P. 308. doi: 10.1016/0032-3950(79)90246-6
- Melad O., Esleem M. // Open J. Org. Polym. Mat. 2015. Vol. 5. N 2. P. 31. doi: 10.4236/ojopm.2015.52003
- Del Valle M.A., Motheo A., Ramirez A.M.R. // J. Chil. Chem. Soc. 2019. Vol. 64. N 3. P. 4553.
- Bojinov V.B., Simeonov D.B. // J. Photochem. Photobiol. (A), 2006. Vol. 180. N 1–2. P. 205. doi 10.1016/ j.jphotochem.2005.10.018
- Крайкин В.А., Гилева Н.Г., Седова Э.А., Кузнецов С.И., Фатыхов А.А., Мусина З.Н., Салазкин С.Н. // Высокомол. cоед. (А). 2004. Т. 46. Вып. 10. С. 1686; Kraikin V.A., Gileva N.G., Sedova E.A., Kuznetsov S.I., Fatykhov A.A., Musina Z.N., Salazkin S.N. // Polym. Sci. (A). 2004. Vol. 46. N 10. P. 1027.
- Крайкин В.А., Лебедев Ю.А., Седова Э.А., Сахипова И.И., Салазкин С.Н. // Докл. АН. 2011. Т. 437. Вып. 6. С. 772; Kraikin V.A., Lebedev Yu.A., Sedova E.A., Sakhipova I.I., Salazkin S.N. // Doklady Chem. 2011. Vol. 437. N 2. P. 124. doi: 10.1134/S0012500811040112
- Yangirov T.A., Yumagulova R.Kh., Ayupova A.R., Fatykhov A.A., Kraikin V.A. // Russ. J. Gen. Chem. 2023. Vol. 93. Suppl. 1. P. S334. doi: 10.1134/S1070363223140347
- Аюпова А.Р., Янгиров Т.А., Абдуллин Б.М., Юмагулова Р.Х., Фатыхов А.А., Крайкин В.А. // Изв. АН. Сер. хим. 2021. Т. 70. Вып. 9. С. 1804; Ayupova A.R., Yangirov T.A., Abdullin B.M., Yumagulova R.Kh., Fatykhov A.A., Kraikin V.A. // Russ. Chem. Bull. 2021. Vol. 70. N 9. P. 1804. doi: 10.1007/s11172-021-3286-0
- Янгиров Т.А., Абдуллин Б.М., Фатыхов А.А., Захарова Е.М., Салазкин С.Н., Крайкин В.А. // Высокомол. cоед. (Б). 2021. Т. 63. Вып. 1. С. 16; Yangirov T.A., Abdullin B.M., Fatykhov A.A., Zakharova E.M., Salazkin S.N., Kraikin V.A. // Polym. Sci. (B). 2021. Vol. 63. N 1. P. 13. doi: 10.1134/S1560090421010085
- Аюпова А.Р., Янгиров Т.А., Юмагулова Р.Х., Фатыхов А.А., Крайкин В.А. // ЖОХ. 2022. Т. 92. Вып. 6. С. 915; Ayupova A.R., Yangirov T.A., Yumagulova R.Kh., Fatykhov A.A., Kraikin V.A. // Russ. J. Gen. Chem. 2022. Vol. 92. N 6. P. 996. doi: 10.1134/S1070363222060111
Supplementary files











