Влияние производных аминофенола и аминокислот на уровень нитрозил-радикала и его активных форм in vitro
- Авторы: Овсянникова Е.М.1, Бурко А.А.1, Ксендзова Г.А.1, Сорокин В.Л.1, Каранкевич Е.Г.2, Юркова И.Л.1
-
Учреждения:
- Белорусский государственный университет
- Институт физико-органической химии Национальной академии наук Беларуси
- Выпуск: Том 94, № 6 (2024)
- Страницы: 734-745
- Раздел: Статьи
- URL: https://journals.rcsi.science/0044-460X/article/view/269856
- DOI: https://doi.org/10.31857/S0044460X24060077
- EDN: https://elibrary.ru/EZCTFV
- ID: 269856
Цитировать
Полный текст
Аннотация
Изучено влияние аминофенола, аминокислот и их производных на уровень •NO и его активных форм (•NO2, N2O3) в водной аэробной среде (рН = 7.4) с использованием нитропруссида в качестве донора •NO. Установлено, что наибольшую NOx-акцепторную активность проявляют 3-аминофенол (IC50 = 0.11 мМ.), 2-аминофенол (IC50 = 0.195 мМ.) и 4,6-ди-трет-бутил-2-аминофенол (IC50 = 0.12 мМ.), стандарты – тролокс (IC50 = 0.19 мМ.) и аскорбат (IC50 = 4.88 мМ.). Метилирование по ОН-группе снижает эффективность аминофенола. В исследованном концентрационном диапазоне (0–75 мМ.) Tyr-Ala (IC50 = 5.0 мМ.) и β-Ala-His (IC50 = 35.0 мМ.) активнее, чем Phen-Ala (IC50 > 50 мМ.) и Gly-Gly (IC50 > 50 мМ.). Комплексы Cu(Gly)2 и Cu(Gly-Gly)2 при низких концентрациях (0.05–0.5 мМ.) в 1.4–1.8 раза эффективнее, чем Gly и Gly-Gly.
Ключевые слова
Полный текст
ВВЕДЕНИЕ
Монооксид азота [оксид азота(II) или нитрозил-радикал •NO] в организме образуется в ходе как ферментативных (окисление L-аргинина, катализируемого NO-синтазами), так и неферментативных (диспропорционирование нитрита в кислой среде, pH < 6.0, и др.) процессов [1–3]. NO является внутри- и внеклеточным переносчиком, играет важную роль во многих физиологических процессах (нейротрансмиссия, регуляция артериального давления, иммунный и воспалительный ответ, и др.) [1–3].
Монооксид азота [E°′(•NO/3NO–) = −0.8 В, рН = 7.0; E°′(•NO + H+)/1HNO = −0.5 В, pH = 7.4; E°′(NO+/•NO) = 1.45 В; E°(2•NO, 2e–, 2H+/N2O, H2O) = 1.59 В] обладает редокс-гибкостью, может выступать как донором, так и акцептором электрона в окислительно-восстановительных реакциях [4–7]. Нитрозил-радикал не способен инициировать отрыв атома Н от макромолекул и присоединяться по двойной связи, но активно взаимодействует со свободными радикалами, ионами переходных металлов (не- и гемовое железо, металлокомплексы) [3, 4, 7].
Монооксид азота в организме оказывает как анти-, так и прооксидантное действие [1, 2, 7–15]. Главным фактором, который определяет биологические эффекты NO, является его концентрация. В ходе процессов биорегуляции наблюдаются низкие концентрации NO (10–9–10–6 М.), однако при определенных условиях, например стимуляции макрофагов, уровень NO может значительно повышаться (>10–6 М.) [7, 9, 11]. Чрезмерное образование NO связано со многими патологиями (ревматоидный артрит, астма, атеросклероз, воспаление, нейродегенерация) [1, 2, 14, 15].
Прооксидантное действие NO может проявляться как вследствие его прямого взаимодействия с биомишенями, так и косвенно, через активные формы, а именно оксид азота(IV) [E°′(•NO2/NO2–) = 0.99–1.1 В)] и оксид азота(III) [азотистый ангидрид, сесквиоксид азота, E°′(N2O3/•NO, NO2–) = 0.8 В] [6–8, 10]. Диоксид азота способен вступать в различные реакции: отрыв атома Н от связи C–H, присоединение к связям C=C, перенос атома O, присоединение к свободным радикалам и перенос электрона [16]. Сесквиоксид азота является нитрозирующим агентом в аэрированных водных растворах монооксида азота [8, 9, 17]. Образование высших оксидов азота сопряжено с автоокислением NO. В водных растворах в присутствии молекулярного кислорода ([O2] = 2.4·10–4 М., рН = 7.4) •NO (раствoримость в вoде 1.8 мМ. при 25°С [18]) почти полностью превращается в нитрит-анион (HNO2, pKa = 3.37). Механизм превращения сложный, реализуется через протекание реакций (1–3), представленных на схеме 1 [6, 7, 19]. На первой стадии образуется •NO2, который далее в обратимой реакции с •NO трансформируется в N2O3. В водной среде N2O3, в отсутствие других мишеней, гидролизуется с образованием NO2– [19].
2•NO + O2 → 2•NO2, k ~ (2.9–4.8)·106 моль–2·л·с–1 (рН = 7.4), (1)
NO2 + •NO ↔ N2O3, k→ = 1.1·109 моль–1·л·с–1, k← = 8·104 моль–1·л·с–1, (2)
N2O3 + H2O → 2NO2– + 2Н+, k = (0.5–2)·103 с–1. (3)
Схема 1
Лимитирующей стадией образования NO2– является тримолекулярная реакция •NO с O2 [уравнение (1)], которая имеет суммарный третий порядок (второй по [•NO], первый по [О2]). Скорость реакции автоокисления NO в водном растворе зависит от его концентрации [7, 19].
Окисление и нитрозирование различных веществ в аэробных условиях может происходить с участием NO, •NO2 и N2O3, а также пероксинитрита ONOO– [E°′(ONOO–/•NO2, НО–) = 1.2–1.6 В, рН = 7.0; ONOOH, pKa = 6.8] [6], образующегося в реакции NO c супероксид анион-радикалом {E°′(O2(aq)/O2•–) = –0.16 В [20]} [7, 9, 10]. Превалирование того или иного процесса будет определяться константами скоростей реакций, концентрацией реагентов и окружающими условиями. Активные формы азота (•NO, •NO2, N2O3, ONOO–) способны вызывать дезаминирование аминокислот и оснований ДНК, образование нитрозотиолов (RSNO) и нитрозоаминов (R1R2NNO), нитрование белков (остатков тирозина и триптофана), усиливать перекисное окисление липидов [1–3, 7, 8]. В конечном итоге активные формы азота опосредуют развитие как нитрозативного, так и окислительного стресса [1–3, 7–11], механизм которого будет определяться видом и концентрацией образующихся активных частиц, что в свою очередь определяется клеточной средой.
Подходы к элиминированию избытка активных форм азота и предотвращению нитрозативного стресса до конца не определены. Актуальным является изучение способности различных соединений регулировать уровень активных форм азота. Значимую роль в антиоксидантной системе организма играют аминокислоты (АК) и их производные [21]. Активность в отношении активных форм азота наиболее изучена для триптофана, тирозина и цистеина [21]. Метионин, фенилаланин, гистидин, лизин и аргинин модифицируются при действии пероксинитрита [8, 21, 22]. В работе [23] изучена NO-акцепторная активность аминокислот с разветвленной цепью (лейцин, валин, изолейцин). Интенсивно исследуется NO-активность пептидов, выделенных из белковых гидролизатов [24–26]. Несмотря на большой накопленный материал, детальный механизм вовлечения производных аминокислот в регулирование свободно-радикальных процессов с участием •NO остается открытым. С этой точки зрения, интересными объектами исследования являются дипептиды. Как известно [27, 28], они проявляют различную биологическую активность, включая антиоксидантную, и вследствие своих свойств (лучшее усваивание, чем у свободных аминокислот и белковых гидролизатов, способность проникать через биомембраны и гематоэнцефалический барьер) являются привлекательными терапевтическими средствами.
Среди антиоксидантов важное место занимают природные фенолы и их синтетические функционализированные производные [29–31]. Фенольные соединения обладают потенциалом регулировать уровень NO [32–36]. Такие функционализированные фенолы, как производные аминофенола, проявляют противораковую, антивирусную и антирадикальную активность [37–41], при этом их роль в регулировании процессов с участием активных форм азота исследована недостаточно.
Целью настоящей работы было изучение способности отдельных производных аминофенола и аминокислот регулировать уровень нитрозил-радикала и его активных форм (•NO2, N2O3) в водной аэробной среде, используя нитропруссид в качестве донора •NO.
РЕЗУЛЬТАТЫ И ОБСУЖДЕНИЕ
Известно [42, 43], что нитропруссид натрия под воздействием света в водной среде (рН = 7.4) спонтанно разлагается с выделением NO. Нитрозил-радикал в аэробной среде окисляется до устойчивого метаболита, нитрит-аниона, через стадии образования промежуточных интермедиатов, как указано на схеме 1. Эффективность используемой тест-системы предварительно оценивали по известным акцепторам активных форм азота (NaN3, пиперазин, дофамин, Н2О2, аскорбиновая кислота, 6-гидрокси-2,5,7,8-тетраметилхроман-2-карбоновая кислота) [44–50]. Полученные данные подтверждают то, что тест-система на основе нитропруссида натрия позволяет оценить общую активность соединения в отношении NOх (•NO, NO2, N2O3) в физиологически значимых условиях. Концентрация NO2– в тест-системе в присутствии исследуемых соединений в сравнении с контрольной без добавок таковых выступает мерой их способности регулировать уровень NOх.
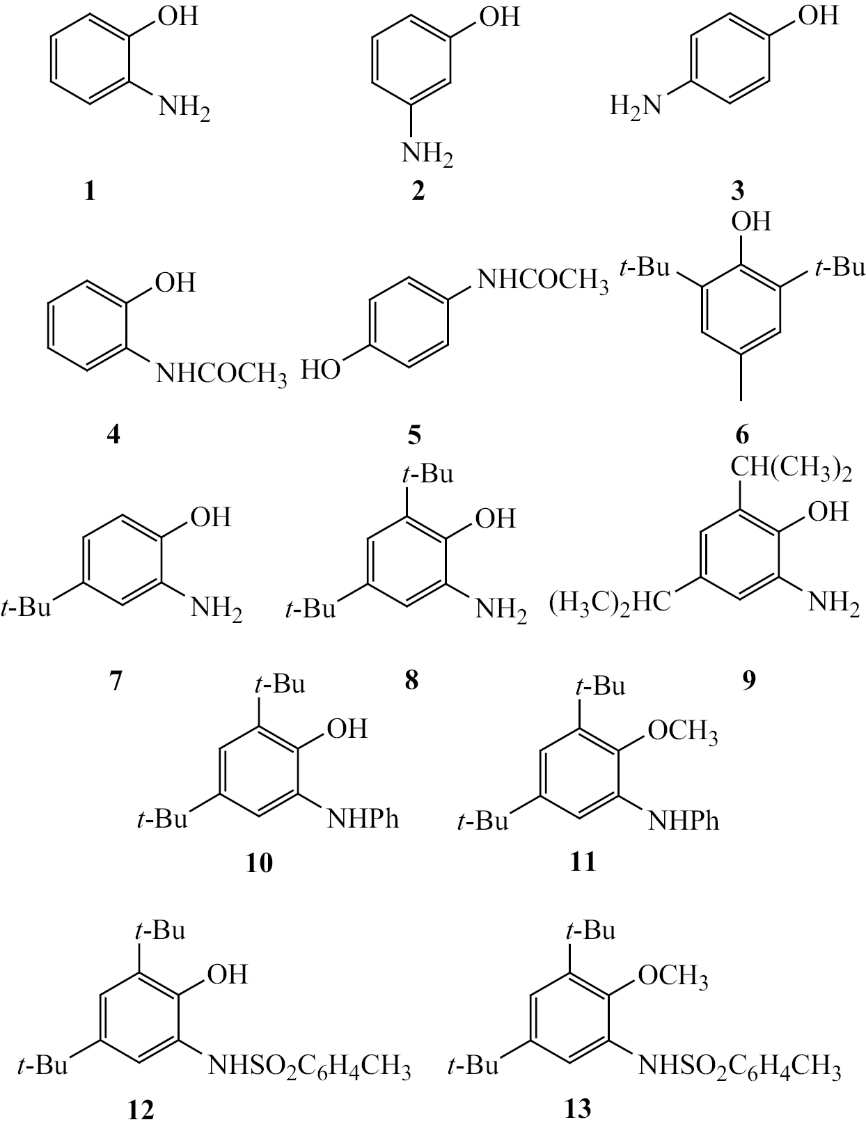
На схеме 2 представлены структурные формулы исследованных функционализированных фенолов. Выбор производных 2-аминофенола обусловлен тем, что ранее в наших исследованиях установлена их противовирусная и антиоксидантная активность [39–41, 51]. Аминофенол 10 является активным действующим началом противогерпетического препарата Бутаминофен, выпускаемого РУП «Белмедпрепараты».
Схема 2
На рис. 1 представлены зависимости концентрации нитрит-аниона в тест-системе (в % от контроля) от концентрации тестируемого соединения [S], полученные для соединений 1–3, 7, тролокса и убихинона Q0, не содержащего в отличие от фенольных соединений OH-групп. Как видно из данного рисунка, среди изомеров аминофенолы 2 и 1 обнаруживают большую или схожую NOх-акцепторную активноcть в сравнении со стандартным тролоксом, величины их индекса IC50 составляют 0.11, 0.195 и 0.19 мМ. соответственно. 4-Аминофенол уступает по эффективности другим изомерам, величина его IC50 составила 0.31 мМ. Введение трет-бутильного заместителя в пара-положение к ОН-группе у 2-аминофенола незначительно изменило его активность, для соединения 7 IC50 = 0.24 мМ. Для соединений 4, 5 и убихинона Q0 получены схожие зависимости %, [NO2–]0–[S], поэтому, чтобы не перегружать рис. 1, они не приводятся. В исследованном концентрационном диапазоне (0–3.0 мМ.) данные N-ацетилированные производные 2- и 4-аминофенола проявляют слабый эффект: при 3 мМ. снижают уровень NO2– на ~12–15% в сравнении с контролем.
Рис. 1. Накопление нитрит-аниона в тест-системе нитропруссид натрия–PSB (10/10 мМ., рН = 7.4) в присутствии функционализированных фенолов: 1 – 2, 2 – тролокс, 3 – 1, 4 – 3, 5 – 7, 6 – убихинон Q0
На рис. 2 представлены результаты, полученные для стерически затрудненных аминофенолов и их производных, которые исследованы в более узком концентрационном диапазоне (0–0.15 мМ.) вследствие их ограниченной растворимости в водных системах. NOx-Акцепторная активность данных соединений убывает в следующем ряду: 8 (IC50 = 0.125 мМ.) > тролокс > 9 > 10 > 12 > 11 ≥ 13 ≥ 6 (ионол). Надо отметить, что соединение 12 в сравнении с аминофенолом 11 оказалось более эффективно только при увеличении его концентрации в системе. Метилирование гидроксильной группы в бензольном кольце фенолов 10 и 12 (см. продукты 11 и 13) приводило к снижению активности.
Рис. 2. Накопление нитрит-аниона в тест-системе нитропруссид натрия–PSB (10/50 мМ., рН = 7.4) в присутствии функционализированных фенолов: 1 – 8, 2 – тролокс, 3 – 9, 4 – 10, 5 – 12, 6 – 11, 7 – 6, 8 – 13
Согласно полученным данным, исследованные аминофенолы и их производные в физиологически значимых условиях способны реагировать с нитрозил-радикалом и его интермедиатами. Следствием такого взаимодействия может являться образование нитрозо- и нитропроизводных. Взаиморасположение NH2- и OH-групп в бензольном кольце, наличие, положение и вид заместителей будут определять возможность С-, О- или N-нитрозирования (замещение атома Н в бензольном кольце, NH2- и OH-группах).
Образование конечных продуктов при взаимодействии аминофенолов и NOx может реализовываться через различные механизмы. Один из возможных путей – это нитрозирование с участием промежуточных радикальных интермедиатов. Фенольные соединения (АrОН) могут подвергаться одноэлектронному окислению диоксидом азота с образованием феноксильных радикалов (АrО•) [50, 52]. Например, константа скорости реакции NO2 с тирозином, гидрохиноном и тролоксом {E°(TхO•,H+/TхOH) = 0.48 В [53]} составляет 2.9·107, ~108 и <105 (рН = 6.6)–5·108 (рН = 11.5) моль–1·л·с–1 соответственно [34, 54, 55]. Образование С-нитропроизводных дофамина при его взаимодействии с NO/О2 объясняют возможностью формирования семихинон-радикала Q0Н• или Q0–• (рK радикала Q0Н• 5.9–6.45) [50, 56]. Последующее взаимодействие АrО• с NO2 и NO будет зависеть от структуры фенольного соединения и окружающих условий [50, 52, 57, 58].
С учетом свойств NO, окисление им фенольной ОН-группы с образованием АrО• представляется затруднительным [52]. Однако в работе [59] констатируют взаимодействие NO со стерически затрудненными фенольными антиоксидантами и токоферолом с образованием АrО•. Методом ЭПР показано, что в анаэробных условиях NO окисляет убихинолы Q0H2 и Q2H2 (k = 0.49·104 и 1.6·104 моль–1·л·с–1 соответственно) [34], а также 3,4-дигидроксифенилуксусную кислоту (но не дофамин) [60] с образованием семихинон-радикала и NO–. Следует отметить, что проблемой подобных исследований является полное элиминирование O2 и, следовательно, высших оксидов азота из системы [52].
В работе [32] NO-акцепторную способность различных гидрофильных антиоксидантов, включая кофейную кислоту и тролокс, объясняют реализацией окислительно-восстановительных процессов, а не свободнорадикального механизма.
Другой механизм нитрозирования функционализированных фенолов базируется на том, что данные соединения подвергаются электрофильной атаке нитрозирующим агентом, в частности N2O3, с образованием нитрозопроизводных, и последующем их окислении до нитросоединений [18, 56, 61].
Согласно полученным результатам все изомеры аминофенола 1–3 продемонстрировали способность снижать уровень NOx. Следует полагать, учитывая отличия в структуре, что механизм их взаимодействия с NO, NO2 и N2O3 будет различен. мета-Изомер аминофенола, который в отличие от орто- и пара-аминофенола не образует семихинон-радикалы, проявляет наибольший эффект. Для него характерна согласованная ориентация ОН- и NH2-групп, активирующих электрофильное замещение в орто- и пара-положение бензольного кольца, что, очевидно, способствует С-нитрозированию. Для фенольных соединений показано [36, 61–63], что С-нитрозирование идет более активно в пара-положение к ОН-группе, чем в орто-положение, что, вероятно, обусловливает меньшую активность афминофенола 3 в сравнении с аминофенолом 1. В работе [36] для пирокатехина и гидрохинона детектировали продукты О- и С-нитрозирования, в то время как для резорцина только С-нитрозопродукты. Нельзя исключать возможность образования О-нитропродуктов для аминофенолов 1 и 3 через стадию образования семихинон-радикалов, что, конечно, требует дальнейших углубленных исследований.
Введение трет-бутильной группы в положение 4 аминофенола 1 не приводило к повышению его NOх-акцепторной активности, однако наличие двух электронно-донорных групп в положениях 4 и 6 соединений 8 и 9 способстовало их эффективности. Согласно работе [64], алкилирование 2-аминофенола в положения 4 и 6 усиливало его способность акцептировать пероксильные радикалы.
Исходя из сравнения данных полученных для соединений 10–13, гидроксильная группа важна для NOx-акцепторной активности аминофенола. Согласно работе [65], вератрол (О-метилированный пирокатехин) в отличие от пирокатехина не снижает уровень NO. Ацетилирование фенольных групп куркумина снижало его NO-акцепторную способность [66], хотя в работе [67] для куркумина и диацетилкуркумина не наблюдали значительной разницы. Следует отметить, что соединения 10 и 12 проявляют противовирусную активность, которая пропадает при метилировании ОН-группы [41, 68].
В аэробных условиях процессы, протекающие с аминофенолами могут быть более сложными. Соединения 1, 3 и их производные могут окисляться молекулярным кислородом с образованием семихинон-радикала и O2•–, который в присутствии NO трансформируется в ONOO– (k = 1.9·1010 моль–1·л·с–1), как постулируют это для дофамина [8, 50, 56]. Пероксинитрит, в свою очередь, способен окислять исходные субстраты [6, 7].
Известно [69–71], что алифатические и ароматические амины подвергаются N-нитрозированию, в случае первичных алифатических аминов (RNH2) это приводит к их дезаминированию. Нитрозирование аминов посредством NO происходит в присутствии O2, в результате электрофильной атаки N2O3 [71], также вероятен радикальный механизм с участием •NO2 [72]. Например, константа скорости реакции анилина и o-метиланилина с N2O3 равна соответственно 7.5·108 и 4.8·108 моль–1·л·с–1 [70].
В условиях нашего эксперимента аминофенолы с первичной NH2-группой были более активны, чем N-замещенные производные. Наименьший эффект проявляют N-ацетилированные производные 4 и 5. Согласно работе [73], трансформацию соединения 5 в N-(4-гидрокси-2-нитрофенил)ацетамид при pH = 7.4 наблюдали при инкубации с пероксинитритом или миелопероксидазой/Н2О2/NaNO2, однако в системах, основанных на таких донорах NO, как диэтиламин NONO-ат или спермин NONO-ат, данный продукт отсутствовал.
Слабый эффект убихинона Q0 с увеличеснием его концентрации может быть обусловлен его взаимодействием с образующимся NO2–. В статье [74] показано, что электрохимически генерируемый о-бензохинон в водной среде (рН = 6.5) в реакции Михаэля реагирует с нитрит-анионом с образованием нитрокатехола.
В данной работе объектами исследования также были отдельные дипептиды (Tyr-Ala, Phen-Ala, β-Ala-His и Gly-Gly), содержащие остатки ароматических, гетероциклической и простейших аминокислот. На рис. 3 и 4 представлены результаты исследования влияния указанных дипептидов и составляющих их аминокислот на уровень NOx в тест-системе. Наибольшей активностью из дипептидов обладает Tyr-Ala (IC50 = 5 мМ.) и он сравним по действию с аскорбиновой кислотой (IC50 = 4.88 мМ.), выбранной в качестве стандарта. Надо отметить, что с увеличением концентрации Tyr-Ala (>5 мМ.) его ингибирующий эффект не усиливался. Второй по эффективности был β-Ala-His (IC50 = 35.0 мМ.). Остальные соединения сравнивали по их активности, которую они проявляют в концентрации 45 мМ., выбор которой определялся величиной IC50 триптофана. При данной дозе Phen-Ala (IC50 > 50 мМ.), Phen, α-Ala и Trp снижают уровень NOx на 29, 23, 16 и 50% соответственно. Свободный Tyr не был исследован вследствие его плохой растворимости в водной среде при рН = 7.4. В концентрации 45 мМ. His (IC50 = 48.5 мМ.) и β-Ala ингибировали накопление NOx на 47.5 и 7.5% соответственно, Gly-Gly (IC50 > 50 мМ.) и Gly – на 35 и 22.5% соответственно. Активность свободных аминокислот убывала в следующем ряду: Trp > Phen ≥ Gly > α-Ala > β-Ala.
Рис. 3. Накопление нитрит-аниона в тест-системе нитропруссид натрия–PSB (10/10 мМ., рН = 7.4) в присутствии: 1 – Tyr-Ala, 2 – Trp, 3 – Phen-Ala, 4 – Phen, 5 – α-Ala
Рис. 4. Накопление нитрит-аниона в тест-системе нитропруссид натрия–PSB (10/10 мМ., рН = 7.4) в присутствии: 1 – Car, 2 – His, 3 – Gly-Gly, 4 – Gly, 5 – β-Ala, 6 – (Gly)2Cu2+, 7 – (Gly-Gly)2Cu2+
Известно [75], что комплексы аминокислот и пептидов с ионами металлов обладают различной биологической активностью, поэтому в работе также исследовали комплексы Gly и Gly-Gly с ионами меди(II). Согласно данным, представленным на рис. 4, комплексы Cu(Gly)2 и Cu(Gly-Gly)2 при низких концентрациях (0.05–0.5 мМ.) в 1.4–1.8 раз активнее в акцептировании NOx, чем Gly и Gly-Gly.
Высокую NOx-акцепторную активность Tyr-Ala обусловливает преимущественно наличие остатка Tyr. Известно [52], что Tyr и его производные эффективно нитрируются нитрозил-радикалом в присутствии кислорода, что вероятнее всего реализуется по радикальному механизму через образование тирозин-феноксильного радикала (Tyr•). Взаимодействие Tyr• с NO и NO2 с образованием 3-нитротирозина протекает с высокой константой скорости ~1.0·109 (рН = 7.4) и 3·109 моль–1·л·с–1 соответственно [58]. Меньшая эффективность Phen-Ala в сравнении с Tyr-Ala подтверждает важную роль фенольной ОН-группы в способности данных дипептидов регулировать уровень NOx.
β-Ala-His (карнозин) является важнейшим эндогенным дипептидом, обладающим антиоксидантной активностью [76]. Карнозин снижает повреждение клеток, вызванное окислительным/нитрозативным стрессом, регулируя уровень NO [77–79]. Исходя из полученных данных, His (pI = 7.59), содержащий остатки имидазола (рKа = 6.04), обусловливает эффективность β-Ala-His в способности регулировать уровень NOx. Полученные результаты согласуются с данными работы [77], где показано, что His более эффективен в акцептировании NO, чем β-Ala (донор NO: пропиламин-пропиламин NONOат). Методом масс-спектрометрии (электроспрей-ионизация) установлено [77, 79], что карнозин образует аддукты с NO.
Дипептиды проявляют большую NOx-акцепторную активность, чем свободные аминокислоты, входящие в их состав. Такой синергический эффект аминокислот при их соединении амидной связью может быть обусловлен вкладом группы CONH во взаимодействие дипептидов с NOx. Вторичный амин дипептидной связи может вступать в реакцию N-нитрозирования и, тем самым, повышать способность дипептидов снижать уровень NOx.
Комплексы Cu(Gly)2 и Cu(Gly-Gly)2 при низких дозах эффективнее, чем Gly и Gly-Gly, что можно объяснить взаимодействием NO с ионами Сu2+. Известно [3], что NO реагирует с ионами переходных металлов, комплексы которых могут выступать эффективными акцепторами нитрозил-радикала. NO в водной среде способен восстанавливать ионы Сu2+ в ее комплексах [80]. Для понимания более детального механизма NOx-акцепторной активности изученных соединений требуются более углубленные исследования.
ВЫВОДЫ
Таким образом, изомеры и производные 2-аминофенола, а также дипептиды Tyr-Ala, β-Ala-His, Phen-Ala и Gly-Gly обладают способностью регулировать уровень NOх (•NO, •NO2, N2O3) при физиологически значимых условиях in vitro. Замена атома Н на СН3 в ОН-группе аминофенолов снижает их эффективность, аминофенолы с немодифицированной NH2-группой обнаруживают большую активность, чем N-замещенные. Дипептиды как NOх-акцепторы более эффективны, чем входящие в их состав свободные аминокислоты. Комплексы Cu(Gly)2 и Cu(Gly-Gly)2 активнее, чем Gly и Gly-Gly. Полученные результаты исследования соотношения структура–активность могут быть полезны для создания эффективных антиоксидантов на основе производных аминофенолов и дипептидов.
ЭКСПЕРИМЕНТАЛЬНАЯ ЧАСТЬ
В работе использованы следующие реактивы: 6-гидрокси-2,5,7,8-тетраметилхроман-2-карбоновая кислота (тролокс, ТхОН), 4-(2-аминоэтил)-бензол-1,2-диол (дофамин), пиперазин, 2,3-диметокси-5-метил-п-бензохинон (убихинон Q0), β-аланилгистидин (β-Ala-His), β-аланин (β-Ala), L-гистидин (His), L-глицин (Gly), глицилглицин (Gly-Gly), нитропруссид натрия [натриевая соль пентацианонитрозилферрата(II), дигидрат], N-(1-нафтил)этилендиамина дигидрохлорид, сульфаниламид, тирозилаланин (Тyr-Ala), фенилаланилаланин (Phen-Ala), α-аланин (α-Ala), фенилаланин (Phen), триптофан (Trp), метанол (HPLC-grade), 2-аминофенол 1, 3-аминофенол 2, 4-аминофенол 3, N-(2-гидроксифенил)ацетамид 4, N-(4-гидроксифенил)ацетамид 5 (парацетамол), 2,6-ди-трет-бутил-4-метилфенол 6 (ионол), 2-амино-4-трет-бутилфенол 7 производства фирмы «Sigma-Aldrich» (Германия). Аскорбиновая кислота, азид натрия, ортофосфорная кислота, нитрит натрия (ОСЧ), пероксид водорода (30%) получены от ЗАО «Вектон» (Россия). 2-Амино-4,6-ди-трет-бутилфенол 8, 2-амино-4,6-диизопропилфенол 9, 2-анилино-4,6-ди-трет-бутилфенол 10 (бутаминофен), 3,5-ди-трет-бутил-2-метокси-N-фениланилин 11, N-(2-гидрокси-3,5-ди-трет-бутилфенил)-4-метилбензолсульфонамид 12 и N-(2-метокси-3,5-ди-трет-бутилфенил)-4-метилбезолсульфонамид 13 синтезированы по ранее описанным методикам [68, 81, 82]. Синтез комплексов глицина с ионами меди описан в работе [83]. Все использованные в работе реактивы имели аналитическую степень чистоты.
Исходные растворы аминокислот и их производных готовили в деионизированной воде, производных фенолов – в метаноле. Фосфатно-солевой буфер (PSB) (50 мМ., рН = 7.4) готовили с использованием следующих солей: Na2HPO4·12H2O, KH2PO4, NaCl и KCl, необходимую величину рН достигали прибавлением растворов HCl или NaOH. Показатель рН контролировали с помощью милливольтметра рН марки HI 9321, используя комбинированный электрод HI 1131 или HI 1083. Калибровку рН-метра осуществляли в день проведения испытаний по стандартным буферным растворам (рН = 4.00±0.01, 10.00±0.01). В день анализа исходный раствор нитропруссида натрия (100 мМ.) готовили путем растворения твердой соли в 10 или 50 мМ. PSB, предварительно продутом аргоном в течение 1 ч для удаления кислорода. Полученный раствор нитропруссид натрия также продували аргоном и хранили в темной склянке, обернутой алюминиевой фольгой. Для тест-системы отбирали аликвоту (100 мкл) исходного раствора нитропруссида натрия. Исходный 100 мкМ. раствор нитрита натрия готовили путем растворения 69 мг NaNO2 в 10 мл деионизированной воды.
Генерирование нитрозил-радикала и его активных форм. Тест-система представляет собой аэробную водную среду и имеет следующий состав: нитропруссид натрия (10 мМ.)–PSB (10 либо 50 мМ., рН = 7.4). Общий объем реакционной системы составляет 1 мл. Для изучения NOх-активности соединений готовили их концентрированные растворы, а затем рассчитанные аликвоты добавляли в тест-систему. В контрольную систему параллельно вводили соответствующие аликвоты растворителей, использованные для приготовления растворов соединений. Реагенты после каждого добавления тщательно перемешивали с помощью прибора Vortex mixer и инкубировали при комнатной температуре в течение 120 мин при стандартизированном искусственном освещении (светодиодная лампа дневного света). Образование •NO и его активных форм (•NO2, N2O3) в тест-системе определяли по уровню нитрит-аниона, стабильного продукта автоокисления нитрозил-радикала в аэробной водной среде.
Исследование NOх-активности соединений [S] базируется на методе конкурентных реакций. Они могут конкурировать с O2 за •NO, или реагировать с промежуточными продуктами его автоокисления (•NO2, N2O3), и, тем самым, препятствовать протеканию реакций (1–3). В результате в присутствии соединений, активных в отношении •NO, •NO2 и N2O3, кроме процессов (1–3) могут протекать реакции (4–6), изображенные на схеме 3.
NO + S → Продукты реакции (4)
NO2 + S → Продукты реакции (5)
N2O3 + S → Продукты реакции (6)
Схема 3
Активность тестируемых соединений (S) в отношении NOх оценивали по изменению концентрации нитрит-аниона в тест-системе в их присутствии в сравнении с контролем (%). Количество NO2– в контрольной тест-системе, не содержащей исследуемых соединений, принято за 100%. Для определения индекса полуингибирования IC50 (мМ.) строили зависимости ингибирование (I, %)–концентрация (S, мМ.). Процент ингибирования рассчитывали по следующей формуле:
,
где Ак и Аиссл –оптическая плотность контрольной (содержит все реагенты, кроме тестируемого соединения) и исследуемой (добавлено тестируемое соединение) систем соответственно. В качестве соединений сравнения использованы тролокс и аскорбиновая кислота (рKа1 = 4.1, рKа2 = 11.8, при рН = 7.4 преимущественно моноанион АscН–). Аскорбиновая кислота может реагировать с NO, NO2 (1.8·107 моль–1·л·с–1, pH = 6.5) и N2O3 [84, 85]. Тролокс взаимодействовует с NO (3.76·104 моль–1·л·с–1) и NO2 [32].
Для выявления возможностей тест-системы тестировали NaN3, пиперазин, дофамин и Н2О2, которые различным образом реагируют с •NO и его активными формами. H2O2 может окислять •NO (2.5·105 и 8.4·105 моль–1·л·с–1соответственно при 15 и 30°С) и NO2 до нитрат-аниона [44, 45]. Азид натрия не взаимодействует с нитрозил-радикалом непосредственно, однако является эффективным акцептором N2O3 (2·109 моль–1·л·с–1) [46]. Вторичный амин пиперазин (pKa1 = 9.73, pKa2 = 5.35) также эффективно реагирует с N2O3 (~1.3·108 моль–1·л·с–1) [47] с образованием нитрозоаминов (N-мононитрозопиперазин и N,N′-динитрозопиперазин) [48]. Дофамин, производное пирокатехина (при физиологическом рН протонирован по NH2-группе), реагирует с NO и NO2 в аэрированных водных растворах [18, 49]. В отсутствие O2 значимого взаимодействия дофамина с NO не наблюдали [50]. Все указанные соединения, включая стандартные ТхОН и АscН–, концентрационно-зависимым образом ингибируют накопление нитрит-аниона, уровень NO2– снижается с увеличением их количества в тест-системе в сравнении с контролем. Полученные величины IC50 составили: дофамин – 0.045, NaN3 – 0.1, пиперазин – 0.115, H2O2 – 7.55, тролокс – 0.19, Asc – 4.88 мМ.
Определение нитрит-ионов в тест-системе. Нитрит-ионы (NO2–) определяли по модифицированной методике, изложенной в работах [86, 87], базирующейся на реакции Грисса. Для оптимального детектирования NO2– использовали модифицированный реактив Грисса, состоящий из двух реагентов – сульфаниламида (SA) и N-(1-нафтил)этилендиамина (NED). По истечении времени инкубирования в тест-систему (1 мл) на первом этапе вводили 0.5 мл раствора SA (1%-ный раствор в 5%-ной H3PO4) и оставляли на 5 мин при комнатной температуре. В результате диазотирования SA в кислой среде образуется диазоний-катион. На втором этапе добавляли 0.5 мл раствора NED (0.1%-ный раствор в деионизированной воде) и инкубировали тест-систему при комнатной температуре в течение 10 мин. NED реагирует с диазоний-катионом с образованием соединения, содержащего азогруппу N=N. Результирующий продукт, имеющий розово-красную окраску, детектировали по его абсорбции при 540 нм (30000 л·моль–1·см–1) с помощью спектрофлуориметра СМ 2203 (Солар, Беларусь) в режиме «спектрофотометрия».
Для количественной оценки содержания NO2– применяли метод градуировочного графика. Для приготовления калибровочных растворов в диапазоне концентраций 1–100 мкМ. использовали нитрит натрия. Концентрацию NO2– рассчитывали из уравнения линейной регрессии.
Статистический анализ. Для обработки полученных экспериментальных результатов применяли методы математической статистики, включая статистические функции программ Excel и Origin. Достоверность полученных результатов контролировали с помощью t-теста Стьюдента. В каждой экспериментальной серии проводили 3–7 раз параллельных опытов. На рисунках каждый результат представлен как среднее значение ± SD, статистически отличное в сравнении с контролем (p < 0.05).
ФИНАНСОВАЯ ПОДДЕРЖКА
Работа выполнена при финансовой поддержке Государственной научно-технической программы Республики Беларусь «Химические процессы, реагенты и технологии, биорегуляторы и биоорганическая химия» (проект 2.2.03.04) и Министерства образования Республики Беларусь (грант 809/46).
КОНФЛИКТ ИНТЕРЕСОВ
Авторы заявляют об отсутствии конфликта интересов.
Об авторах
Е. М. Овсянникова
Белорусский государственный университет
Автор, ответственный за переписку.
Email: yurkovail@tut.by
Белоруссия, Минск
А. А. Бурко
Белорусский государственный университет
Email: yurkovail@tut.by
Белоруссия, Минск
Г. А. Ксендзова
Белорусский государственный университет
Email: yurkovail@tut.by
Белоруссия, Минск
В. Л. Сорокин
Белорусский государственный университет
Email: yurkovail@tut.by
Белоруссия, Минск
Е. Г. Каранкевич
Институт физико-органической химии Национальной академии наук Беларуси
Email: yurkovail@tut.by
Белоруссия, Минск
И. Л. Юркова
Белорусский государственный университет
Email: yurkovail@tut.by
Белоруссия, Минск
Список литературы
- Andrabi S.M., Sharma N.S., Karan A., Shahriar S.M.S., Cordon B., Ma B., Xie J. // Adv. Sci. 2023. Vol. 10. P. 2303259. doi: 10.1002/advs.202303259
- Heinrich T.A., da Silva R.S., Miranda K.M., Switzer C.H., Wink D.A., Fukuto J.M. // Br. J. Pharmacol. 2013. Vol. 169. P. 1417. doi: 10.1111/bph.12217
- Fricker S.P. in: Encyclopedia of Inorganic and Bioinorganic Chemistry / Ed. R.A. Scott. John Wiley & Sons, Ltd., 2019. P. 1. doi: 10.1002/9781119951438.eibc2724
- Hughes M.N. // Biochim. Biophys. Acta, Bioenerg. 1999. Vol. 1411. P. 263. doi: 10.1016/s0005-2728(99)00019-5
- Bartberger M.D., Liu W., Ford E., Miranda K.M., Switzer C., Fukuto J.M., Houk K.N. // Proc. Natl. Acad. Sci. USA. 2002. Vol. 99. P. 10958. doi: 10.1073/pnas.162095599
- Koppenol W.H. // Free Rad. Biol. Med. 1998. Vol. 25. P. 385. doi: 10.1016/s0891-5849(98)00093-8
- Ford P.C., Miranda K.M. // Nitric oxide. 2020. Vol. 103. P. 31. doi: 10.1016/j.niox.2020.07.004
- Reiter T.A. // Redox Report. 2006. Vol. 11. P. 194. doi: 10.1179/135100006X116718
- Ridnour L.A., Thomas D.D., Mancardi D., Espey M.G., Miranda K.M., Paolocci N., Wink D.A. // Biol. Chem. 2004. Vol. 385. P. 1. doi: 10.1515/bc.2004.001
- Wink D.A., Mitchell J.B. // Free Rad. Biol. Med. 1998. Vol. 25. P. 434. doi: 10.1016/s0891-5849(98)00092-6
- Lancaster J.R. // Chem. Res. Toxicol. 2006. Vol. 19. P. 1160. doi: 10.1021/tx060061w
- Lam M.A., Pattison D.I., Bottle S.E., Keddie D.J., Davies M.J. // Chem. Res. Toxicol. 2008. Vol. 21. P. 2111. doi: 10.1021/tx800183t
- Fedeli D., Damiani E., Greci L., Littarru G.P., Falcioni G. // Mutat. Res. 2003. Vol. 535. P. 117. doi: 10.1016/s1383-5718(02)00296-6
- Shama J.N., Al-Omran A., Parvathy S.S. // Inflammopharmacology. 2007. Vol.15. P. 252. doi: 10.1007/s10787-007-0013-x
- Aliev G., Palacios H.H., Lipsitt A.E. // Neurotoxic. Res. 2009. Vol. 16. P. 293. doi: 10.1007/s12640-009-9066-5
- Huie R.E. // Toxicology. 1994. Vol. 89. P. 193. doi org/10.1016/0300-483X(94)90098-1
- Nedospasov A.A. // J. Biochem. Mol. Toxicol. 2002. Vol. 16. P. 109. doi: 10.1002/jbt.10029
- D’Ischia M. // C. R. Chim. 2005. Vol. 8. P. 797. doi: 10.1016/j.crci.2005.02.008
- Goldstein S., Czapski G. // J. Am. Chem. Soc. 1995. Vol. 117. P. 12078. doi: 10.1021/ja00154a007
- Wardman P. // J. Phys. Chem. Ref. Data. 1989. Vol. 18. P. 1637. doi: 10.1063/1.555843
- Andrés C.M.C., Pérez de la Lastra J.M., Juan C.A., Plou F.J., Pérez-Lebeña E. // Int. J. Mol. Sci. 2022. Vol. 23. P. 14049. doi org/10.3390/ ijms232214049
- Kuo W.N., Ivy D., Guruvadoo L., White A., Graham L. // Front. Biosci. 2004. Vol. 9. P. 3163. doi: 10.2741/1469.
- Jin H.J., Lee J.H., Kim D.H., Kim K.-T., Lee G.W., Choi S.J., Paik H.-D. // 2015. Vol. 24. P. 1555. doi: 10.1007/s10068-015-0200-2
- Kangsanant S., Thongraung C., Jansakul C., Murkovic M., Seechamnanturakit V. // Intern. J. Food Sci. Technol. 2014. Vol. 50. P. 660. doi: 10.1111/ijfs.12680
- Ghanbari R., Ebrahimpour A., Zare, M., Ismail A., Abdul-Hamid A., Saari N. // Food Biotech. 2016. Vol. 30. P. 263. doi: 10.1080/08905436.2016.1234391
- Saisavoey T., Sangtanoo P., Reamtong O., Karnchanatat A. // J. Sci. Food Agric. 2019. Vol. 99. P. 5112. doi org/10.1002/jsfa.9755
- Ozawa H., Miyazawa T., Burdeos G.C., Miyazawa T.J. // Nutr. Sci. Vitaminol. 2022. Vol. 68. P. 162. doi: 10.3177/jnsv.68.162.
- Gudasheva T.A., Ostrovskaya R.U., Seredenin S.B. // Curr. Pharm. Des. 2018. Vol. 24. P. 3020. doi 10.2174/ 1381612824666181008105641
- Меньшикова Е.Б., Ланкин В.З., Кандалинцева Н.В. Phenольные антиоксиданты в биологии и медицине. Строение, свойства, механизмы действия: монография. Saarbrücken: LAP LAMBERT Academic Publishing, 2012. 496 с.
- Floris B., Galloni P., Conte V., Sabuzi F. // Biomolecules. 2021. Vol. 11. P. 1325. doi: 10.3390/biom11091325
- Kruk J., Aboul-Enein B.H., Duchnik E., Marchlewicz M. // J. Physiol. Sci. 2022. Vol. 72. P. 19. doi org/10.1186/s12576-022-00845-1
- Sueishi Y., Hori M., Kita M., Kotake Y. // Food Chem. 2011. Vol. 129. P. 866. doi: 10.1016/j.foodchem.2011.05
- Sueishi Y., Hori M. // Nitric Oxide. 2013. Vol. 29. P. 25. doi: 10.1016/j.niox.2012.12.002
- Poderoso J.J., Carreras M.C., Schöpfer F., Lisdero C.L., Riobó N.A., Giulivi C., Cadenas E. // Free Rad. Biol. Med. 1999. Vol. 26. P. 925. doi: 10.1016/s0891-5849(98)00277-9
- Duarte J., Francisco V., Perez-Vizcaino F. // Food Funct. 2014. Vol. 5. P. 1653. doi: 10.1039/c4fo00144c
- Lu Y., Dong Y., Li X., He Q. // J. Food Sci. 2016. Vol. 81. P. C2692. doi: 10.1111/1750-3841.13535
- Буравлев Е.В., Шевченко О.Г. // Изв. АH. Сер. хим. 2022. Т. 71. № 12. С. 2621; Buravlev E., Shevchenko O. // Rus. Chem. Bull. 2022. Vol. 71. P. 2621. doi: 10.1007/s11172-022-3691-z
- Takahashi N., Ohba T., Yamauchi T., Higashiyama K. // Bioorg. Med. Chem. 2006. Vol. 14. P. 6089. doi 10.1016/ j.bmc.2006.05.013
- Ксендзова Г.А., Сорокин В.Л., Едимечева И.П., Шадыро О.И. // Химия высоких энергий. 2004. Т. 37. С. 411.
- Ksendzova G.A., Sorokin V.L., Edimecheva I.P., Shadyro O.I. // Free Rad. Res. 2004. Vol. 38. P. 1183. doi: 10.1080/10715760400016162
- Shadyro O.I, Ksendzova. G.A., Polozov G.I., Sorokin V.L., Boreko E.I., Savinova O.V., Dubovik B.V., Bizunok N.A. // Bioorg. Med. Chem. Lett. 2008. Vol. 18. N 7. Р. 2420. doi: 10.1016/j.bmcl.2008.02.055
- Shishido S.M., de Oliveira G. // Prog. Reac. Kinet. 2001. Vol. 26. P. 239. doi: 10.3184/007967401103165271
- Crespo P.M., Odio O.F., Ávila Y., Perez-Cappe E., Reguera E. // J. Photochem. Photobiol. (A). 2021. Vol. 412. P. 113244. doi: 10.1016/j.jphotochem.2021.113
- Baveja K.K., Subba-Rao D., Saskar K. // J. Chem. Eng. Japan. 1979. Vol. 12. P. 322.
- Bhanarkar A.D., Gupta R.K., Biniwale R.B., Tamhane S.M. // Int. J. Environ. Sci. Technol. 2014. Vol. 11. P. 1537. doi: 10.1007/s13762-013-0295-z
- Wink D.A., Darbyshire J.F., Nims R.W., Saavedra J.E., Ford P.C. // Chem. Res. Toxicol. 1993. Vol. 6. P. 23. doi: 10.1021/tx00031a003.
- Da Silva G., Kennedy E., Dlugogorski B. // J. Chem. Res. 2002. Vol. 2002. P. 589. doi: 10.3184/030823402103171069
- Bellander B.T., Hagmar L., Osterdahl B.G. // IARC Sci. Publ. 1984. Vol. 57. P. 171.
- De la Bretèche M.-L., Servy C., Lenfant M., Ducrocq C. // Tetrahedron Lett. 1994. Vol. 35. P. 7231. doi: 10.1016/0040-4039(94)85368-1
- Rettori D., Tang Y., Dias L. C., Cadenas E. // Free Rad. Biol. Med. 2002. Vol. 33. P. 685. doi: 10.1016/s0891-5849(02)00953-x
- Шадыро О.И., Сорокин В.Л., Ксендзова Г.А., Савинова О.В., Самович С.Н., Бореко Е.И. // Хим.-фарм. ж. 2019. Т. 53. № 7. С. 45; Shadyro O.I., Sorokin V.L., Ksendzova G.A., Savinova O.V., Samovich S.N., Boreko E.I. // Pharm. Chem. J. 2019. Vol. 53. N 7. P. 646. doi: 10.1007/s11094-019-02055-3
- Giorgini E., Petrucci R., Astolfi P., Mason R.P., Greci L. // Eur. J. Org. Chem. 2002. Vol. 23. P. 4011. doi: 10.1002/1099-0690(200212)2002:23<4011::aid-ejoc4011> 3.0.co;2-6
- Indira Priyadarsini K., Kapoor S., Naik D.B. // Chem. Res. Toxicol. 2001. Vol. 14. P. 567. doi org/10.1021/tx000239t
- Alfassi Z.B. // Int. J. Radiat. Appl. Instrum. (C). 1987. Vol. 29. P. 405. doi org/10.1016/1359-0197(87)90014-2
- Davies M.J., Forni L.G., Willson R.L. // Biochem. J. 1988. Vol. 255. P. 513.
- Antunes F., Nunes C., Laranjinha J., Cadenas E. // Toxicology. 2005. Vol. 208. P. 207. doi: 10.1016/j.tox.2004.11.033
- Rubbo H., Radi R., Anselmi D., Kirk M., Barnes S., Butler J., Freeman B.A. // J. Biol. Chem. 2000. Vol. 275. P. 10812. doi: 10.1074/jbc.275.15.10812
- Eiserich J.P., Butler J., van der Vliet A., Cross C.E., Halliwell B. // Biochem. J. 1995. Vol. 310. P. 745. doi: 10.1042/bj3100745
- Janzen E.G., Wilcox A.L., Manoharan V. // J. Org. Chem. 1993. Vol. 58. P. 3597. doi: 10.1021/jo00066a001
- Laranjinha J., Cadenas E. // J. Neurochem. 2002. Vol. 81. P. 892. doi: 10.1046/j.1471-4159.2002.00900.x
- González-Mancebo S., García-Santos M.P., Hernández-Benito J., Calle E., Casado J. // J. Agric. Food Chem. 1999. Vol. 47. P. 2235. doi: 10.1021/jf981094n
- Vione D., Maurino V., Pelizzetti E., Minero C. // Intern. J. Environ. Anal. Chem. 2004. Vol. 84. P. 493. doi 10.1080/ 03067310310001640447
- Williams D.L.H. Nitrosation Reactions and the Chemistry of Nitric Oxide. Amsterdam: Elsevier, 2004. Р. 93. doi: 10.1016/B978-044451721-0/50006-2
- Endo Y., Murayama M., Ogawa F., Nishiyama T. // Technol. Rep. Kansai Univ. 2005. Vol. 47. Р. 31.
- D’Ischia M., Costantin C. // Bioorg. Med. Chem. 1995. Vol. 3. P. 923. doi: 10.1016/0968-0896(95)00083-s
- Sumanont Y., Murakami Y., Tohda M., Vajragupta O., Matsumoto K., Watanabe H. // Biol. Pharm. Bull. 2004. Vol. 27. P. 170. doi: 10.1248/bpb.27.170
- Sreejayan Rao M.N.A. // J. Pharm. Pharmac. 1997. Vol. 49. P. 105. doi: 10.1111/j.2042-7158.1997.tb06761.x
- Шадыро О.И., Сорокин В.Л., Ксендзова Г.А., Павлова Н.И., Савинова О.В., Бореко Е.И. // Хим.-фарм. ж. 2012. Т. 46. № 7. С. 27; Shadyro O.I., Sorokin V.L., Ksendzova G.A., Savinova O.V., Pavlova N.I., Boreko E.I. // Pharm. Chem. J. 2012. Vol. 46. N 7. P. 414. doi 10.30906/ 0023-1134-2012-46-7-27-30
- Wainright T. // J. Ins. Brew. 1986. Vol. 92. P. 49. doi: 10.1002/j.2050-0416.1986.tb04373.x
- Da Silva G., Kennedy E.M., Dlugogorski B.Z. // J. Phys. Org. Chem. 2007. Vol. 20. P. 167. doi: 10.1002/poc.1142
- Itoh T., Matsuy Y., Maeta H., Miyazaki M., Nagata K., Ohsawa A. // Chem. Pharm. Bull. 1999. Vol. 47. P. 819. doi: 10.1248/cpb.47.819
- Zhao Y.-L., Garrison S.L., Gonzalez C., Thweatt W.D., Marquez M. // J. Phys. Chem. (A). 2007. Vol. 111. P. 2200. doi: 10.1021/jp0677703
- Lakshmi V.M., Hsu F.F., Davis B.B., Zenser T.V. // Chem. Res. Toxicol. 2000. Vol. 13. P. 891. doi: 10.1021/tx000115g
- Nematollahi D., Ariapad A., Rafiee M. // J. Electroanal. Chem. 2007. Vol. 602. P. 37. doi: 10.1016/j.jelechem.2006.11.0
- Marinova P., Tamahkyarova K. // BioTech. 2024. Vol. 13. P. 9. doi: 10.3390/biotech13020009
- Шендикова Е.Н., Мельситова И.В., Юркова И.Л. // Химия высоких энергий. 2016. Т. 50. № 4. С. 260; Shendikova E.N., Mel’sitova I.V., Yurkova I.L. // High Energy Chem. 2016. Vol. 50. N 4. Р. 249. doi: 10.1134/S0018143916040172
- Nicoletti V.G., Santoro A.M., Grasso G., Vagliasindi L.I., Giuffrida M.L., Cuppari C., Purrello V.S., Stella A.M., Rizzarelli E. // J. Neurosci. Res. 2007. Vol. 85. P. 2239. doi: 10.1002/jnr.21365
- Fleisher-Berkovich S., Abramovitch-Dahan C., Ben-Shabat S., Apte R., Beit-Yannai E. // Peptides, 2009. Vol. 30. P. 1306. doi: 10.1016/j.peptides.2009.04.003
- Caruso G., Fresta C.G., Martinez-Becerra F., Antonio L., Johnson R.T., de Campos R.P.S., Siegel J.M., Wijesinghe M.B., Lazzarino G., Lunte S.M. // Mol. Cell. Biochem. 2017. Vol. 431. P. 197. doi org/10.1007/s11010-017-2991-3
- Ford P.C., Fernandez B.O., Lim M.D. // Chem. Rev. 2005. Vol. 105. P. 2439. doi: 10.1021/cr0307289
- Houben-Weyl. // Methoden der organischen chemie. 1960. Vol. 6. P. 927.
- Вольева В.Б., Прокофьева Т.И., Прокофьев A.M., Белостоцкая И.С., Комисарова H.Л., Ершов В.В. // Изв. АН. Сер. хим. 1995. № 9. С. 1789.
- Милач О.А., Найденов В.Э., Каранкевич Е.Г., Юркова И.Л. // ЖОХ. 2022. Т. 92. № 2. С. 277; Milach O.A., Naidenov V.E., Karankevic E.G., Yurkova I.L. // Russ. J. Gen. Chem. 2022. Vol. 92. N 2. P. 241. doi: 10.1134/S107036322202013X
- Myshkin A.E., Konyaeva V.S., Gumargalieva K.Z., Moiseev Y.V. // J. Agric. Food Chem.1996. Vol. 44. P. 2948. doi: 10.1021/jf940643w
- Li T., Guo G.J., Hu M., Yao M.J. // Adv. Mater. Res. 2011. Vol. 343–344. P. 862. doi: 10.4028/ href='www.scientific.net/amr.343-344.862' target='_blank'>www.scientific.net/amr.343-344.862
- Bratton A.C., Marshall E.K. // J. Biol. Chem. 1939. Vol. 128. P. 537. doi: 10.1016/S0021-9258(18)73708-3
- Verdon C.P., Burton B.A., Prior R.L. // Anal. Biochem. 1995. Vol. 224. P. 502. doi: 10.1006/abio.1995.1079
- Giustarini D., Dalle-Donne I., Colombo R., Milzani A., Rossi R. // Free Rad. Res. 2004. Vol. 38. P. 1235. doi: 10.1080/10715760400017327
Дополнительные файлы








