Synthesis and cytotoxic activity of 1,5,6,7-tetrahydroindol-4-one derivatives and its thio analogue
- Authors: Sorokina V.A.1, Tsypyshev D.O.1, Koval’skaya A.V.1, Vakhitov V.A.1, Tsypysheva I.P.1
- 
							Affiliations: 
							- Ufa Federal Research Center of the Russian Academy of Sciences
 
- Issue: Vol 94, No 5 (2024)
- Pages: 583-592
- Section: Articles
- URL: https://journals.rcsi.science/0044-460X/article/view/266160
- DOI: https://doi.org/10.31857/S0044460X24050053
- EDN: https://elibrary.ru/FKIEGC
- ID: 266160
Cite item
Full Text
Abstract
Derivatives of 1,5,6,7-tetrahydroindol-4-one and its thio analogue were synthesized and their cytotoxicity against HEK293, Jurkat and MCF-7 cells was investigated in vitro. The hit compound, 6,6-dimethyl-1-(2-methylphenyl)-2-phenyl-1,5,6,7-tetrahydro-4H-indol-4-one, was found to inhibit the metabolic activity of lymphoblastic leukemia cells (Jurkat) with IC50 = 14.8 µM and normal human embryonic kidney cells (HEK293) with IC50 = 93.63 µM. The proposed mechanism of cytotoxic action of the most active compound was shown in silico to be mediated by interaction with the cyclin-dependent kinase CDK9 site.
Keywords
Full Text
ВВЕДЕНИЕ
Одним из ценных источников новых биологически активных веществ являются азотсодержащие гетероциклические соединения, в том числе индольного ряда, что обусловлено высоким синтетическим потенциалом самого индольного фрагмента и возможностью синтеза на его основе библиотек разнообразных производных [1–6]. Фармакологический профиль разрешенных для клинического применения лекарственных препаратов, содержащих в своей структуре индольную субъединицу, исключительно широк – это антимикробные, противовирусные, обезболивающие, противовоспалительные, антипсихотические, гипотензивные, противодиабетические, противоопухолевые и др. средства [7]. Причем последний тип активности присущ как сложным по своей структуре индольным алкалоидам, например винбластину, винкристину (Catharanthus roseus) или эводиамину (Evodiae fructus) [8–10], так и самым простым производным индола [11–19]. В последние два десятилетия опубликовано несколько работ, посвященных направленному созданию ингибиторов циклин-зависимых киназ (CDKs) – ферментов, регулирующих жизненный цикл опухолевых клеток, на основе индольной [20–22] или тетрагидроиндолоновой матриц [23–26]. Кроме того, наши собственные исследования [27] in silico показали потенциальную возможность взаимодействия ряда 6,6-диметил-1,2-дизамещенных-1,5,6,7-тетрагидро-4Н-индол-4-онов с активным сайтом CDK9, что стимулировало продолжение поиска новых цитотоксических агентов среди производных аналогичных структурных групп.
Таким образом, целью настоящей работы является синтез производных тетрагидроиндол-4-она и тетрагидроиндол-4-тиона, in vitro определение их цитотоксических свойств в отношении условно-нормальных клеток HЕК293 (линия эмбриональной почки человека) и опухолевого происхождения – Jurkat (линия лимфобластного лейкоза человека) и MCF-7 (аденокарцинома молочной железы человека) с параллельной in silico оценкой способности выявленных соединений-хитов взаимодействовать с активными сайтами CDK2, CDK5 и CDK9 [28–31].
РЕЗУЛЬТАТЫ И ОБСУЖДЕНИЕ
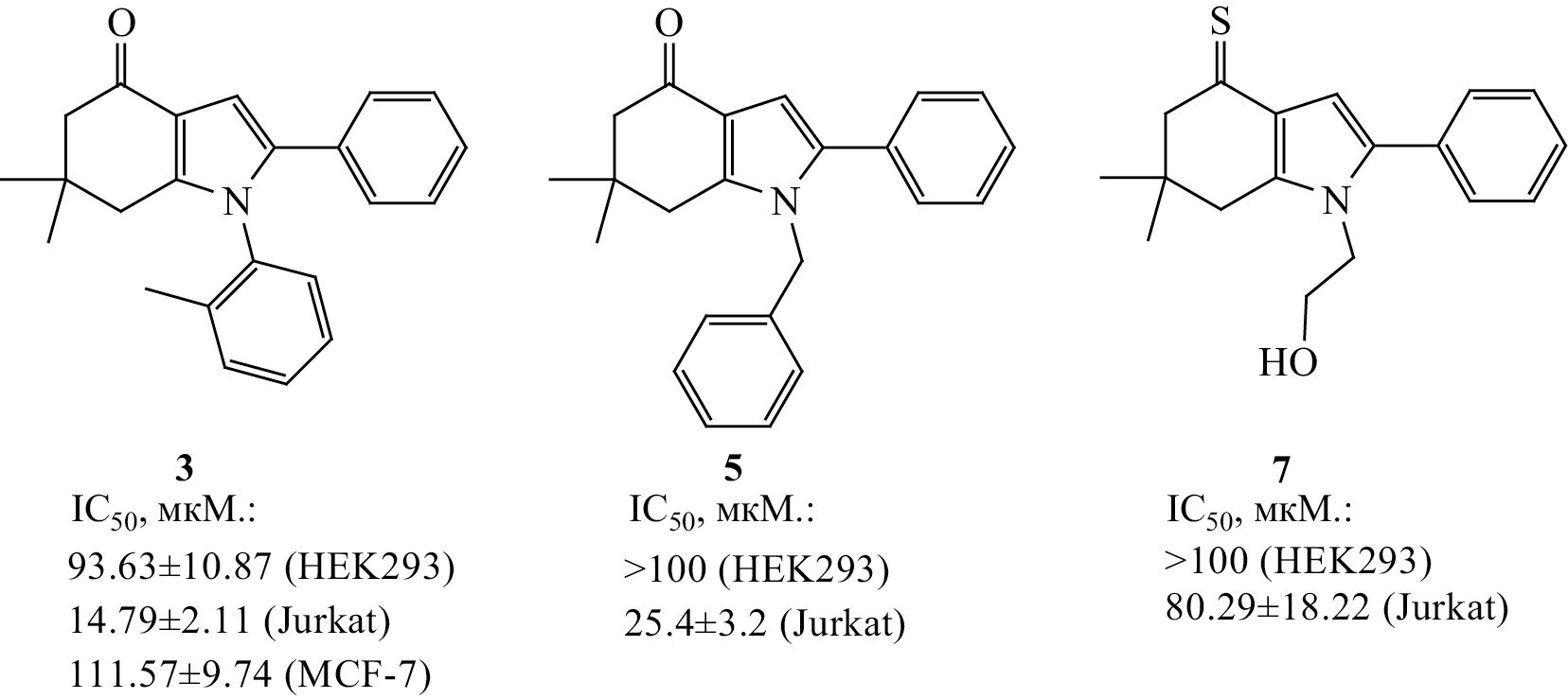
Синтез исходных тетрагидроиндолонов 2–6 (схема 1) осуществлен согласно литературным методикам [27, 32–34] реакцией димедона 1 с бромацетофеноном и далее с 3-хлор-, 2-метил-, 4-феноксианилинами и бензиламином. Следующую стадию, позволяющую получить тетрагидроиндолтионы 7–11, осуществляли кипячением индолонов 2–6 с эквимольным количеством реагента Лавессона согласно работе [35]; тионы 7–11 получены с выходами 91–96%.
Схема 1.
Цитотоксическую активность производных 2–11 оценивали в отношении клеток линий HEK293 (нормальные эмбриональные клетки почки человека), Jurkat (клеточная линия лимфобластного лейкоза) и MCF-7 (клетки аденокарциномы молочной железы). Результаты проведенного исследования представлены в табл. 1. Установлено, что соединения 5 и 7 ингибировали метаболическую активность клеток Jurkat со значениями IC50 = 25.4±3.2 и 80.29±18.22 мкM. соответственно. Соединение 3 оказалось активным в отношении двух клеточных линий опухолевого происхождения – Jurkat с IC50 = 14.79±2.11 и MCF-7 с IC50 = 111.57±9.74 мкM., а также в отношении условно-нормальных клеток НЕК293 (IC50 = 93.63±10.87 мкM., схема 2).
Таблица 1. Влияние соединений 2–11 на метаболическую активность клеток HEK293, Jurkat и MCF-7.
| Соединение | IC50, мкM. a | ||
| HEK293 | Jurkat | MCF-7 | |
| 2 | >100 | >100 | >100 | 
| 3 | 93.63±10.87 | 14.79±2.11 | 111.57±9.74 | 
| 4 | >100 | >100 | >100 | 
| 5 | >100 | 25.4±3.2 | >100 | 
| 6 | >100 | >100 | >100 | 
| 7 | >100 | 80.29±18.22 | >100 | 
| 8 | >100 | >100 | >100 | 
| 9 | >100 | >100 | >100 | 
| 10 | >100 | >100 | >100 | 
| 11 | >100 | >100 | >100 | 
а Значения IC50 получены при оценке активности соединений с помощью красителя PrestoBlue® Cell Viability Reagent. Данные представлены в виде среднего значения трех измерений (два независимых эксперимента) для каждой концентрации ± стандартное отклонение, по отношению к значениям контроля (0.1% ДМСО), принятого за 100%.
Схема 2.
С целью изучения механизма цитотоксического действия наиболее активного соединения 3 проведен анализ его влияния на прогрессию клеточного цикла. Показано, что в клетках линии Jurkat соединение 3 в течение всего эксперимента (через 24, 48, 72 ч) вызывает увеличение количества апоптотических клеток, о чем судили по их накоплению в популяции subG1, сопровождающееся незначительным снижением содержания клеток в фазах G1 и S, что свидетельствует об индукции апоптоза, без влияния на параметры клеточного цикла. В клетках линии аденокарциномы молочной железы MCF-7 инкубация с соединением 3 в течение 24 ч приводит к повышению содержания клеток в S фазе и снижению количества клеток в фазе G2/M (рис. 1а); через 48 ч инкубации наблюдается снижение количества клеток в G1 и накопление клеток в S-фазе (рис. 1б). Данный эффект соединения 3 в отношении клеточной линии MCF-7 сохраняется в течение 72 ч, что сопровождается одновременно накоплением апоптотических клеток (рис. 1в). Таким образом, снижение жизнеспособности клеток линии MCF-7 при действии 3 может быть обусловлено цитостатическим действием вследствие ареста S фазы цикла и подавления клеточной пролиферации. В совокупности полученные результаты свидетельствуют о различном, зависимом от клеточной линии, действии соединения 3: в клетках линии Jurkat соединение индуцирует апоптоз, не оказывая влияния на прогрессию клеточного цикла (цитотоксическое действие), тогда как антипролиферативный эффект соединения в клетках MCF-7 реализуется за счет ареста S-фазы клеточного цикла.
Рис. 1. Оценка влияния соединения 3 на прогрессию клеточного цикла клеток HEK293, MCF-7, и Jurkat. Клетки с тестируемым соединением в концентрации IC50, определенной для каждой клеточной линии, инкубировали в течение 24 (а), 48 (б), 72 ч (в). Данные, полученные в двух независимых экспериментах (N = 2, n = 6), представлены в виде среднего значения ± стандартное отклонение; * – р < 0.05 (t-критерий Уилкоксона).
В дополнение к оценке цитотоксических свойств синтезированных соединений и с целью определения возможных молекулярных мишеней соединения-хита 3, связанных с его цитотоксическим действием (рис. 1), in silico была осуществлена процедура молекулярного докинга 3 в активные центры циклинзависимых киназ CDK2, CDK5 и CDK9 (PDB коды: 4GCJ, 3O0G, и 3LQ5 [28–31]. В качестве оценочных критериев использовали рассчитанные значения DGbind (энергия связывания лиганда и белка в лиганд-белковый комплекс), а также количество совпадающих для соединения 3 и референсных лигандов взаимодействий с аминокислотами. Согласно результатам выполненных расчетов (табл. 2) значения ∆Gbind соединения 3 и референсного лиганда S-CR8 (схема 3) оказались наиболее близки в случае CDK9 (–58.84 и –59.64 ккал/моль соответственно).
Таблица 2. Результаты докинга соединения-хита 3 в 4GCJ, 3O0G и 3LQ5 сайты связывания циклин-зависимых киназ CDK2, CDK5 и CDK9.
| PDB | Лиганд | H-связи | Другие взаимодействия | ∆G MM-GBSA | 
| 4GCJ | CDK2 (RMSD = 0.215 Å) | |||
| RC-3-89 | GLU81, LEU83, ASP86 | солевой мостик: ASP145 | –69.43 | |
| 3 | LEU 83 | – | –52.47 | |
| 3O0G | CDK5 (3O0G) (RMSD = 0.335 Å) | |||
| ATP-аналог | LYS33, GLU81, CYS83 | солевой мостик: LYS33 | –67.57 | |
| 3 | – | π-катионное: LYS89 | –53.35 | |
| 3LQ5 | CDK9 (3LQ5) (RMSD = 0.803 Å) | |||
| S-CR8 | GLN27, CYS106 | – | –59.64 | |
| 3 | ASP167, PHE168 | – | –58.84 | |
Схема 3.
Кроме того, соединение 3 и лиганд S-CR8 образуют по две водородные связи с аминокислотной последовательностью активного сайта (лиганд S-CR8 с GLN27 и CYS106, а соединение 3 с ASP167, PHE168, табл. 2). Докинг-позы референсного лиганда S-CR8 и тетрагидроиндолона 3 внутри 3LQ5 сайта связывания CDK9, представлены на рис. 2. Все вышесказанное в совокупности с полученными ранее результатами [27] позволяет предположить, что CDK9 может являться подходящей молекулярной мишенью для направленного синтеза ее ингибиторов на основе тетрагидроиндол-4-оновой системы.
Рис. 2. Докинг-позы производного 3 (а) и референсного лиганда S-CR8 (б) в 3LQ5 сайте связывания CDK9; водородные связи обозначены пунктирными линиями.
ВЫВОДЫ
Таким образом, синтезирована серия новых производных тетрагидроиндол-4-она и их тиоаналогов. Проведена оценка цитотоксической активности полученных соединений в отношении клеточных линий HEK293, Jurkat и MCF-7, в результате которой обнаружено соединение-хит – 6,6-диметил-1-(2-метилфенил)-2-фенил-1,5,6,7-тетрагидро-4H-индол-4-он 3 – с цитотоксической активностью в отношении клеток линии Jurkat (IC50 = 14.79±2.11 мкM.) и клеток MCF-7 (IC50 = 111.57±9.74 мкM.). In silico показано, что механизм цитотоксического действия соединения 3, предположительно, может реализовываться за счет его взаимодействия с активным сайтом циклин-зависимой киназы CDK9 (PDB код – 3LQ5).
ЭКСПЕРИМЕНТАЛЬНАЯ ЧАСТЬ
Контроль за ходом реакций осуществляли методом ТСХ на пластинах ALUGRAM®. Колоночную хроматографию выполняли на силикагеле (0.05–0.1 мм, MACHEREY-NAGEL, Германия). Спектры ЯМР 1Н, 15N и 13С записывали на импульсном спектрометре Bruker Avance III с рабочей частотой 500.13 (1H), 50.67 (15N) и 125.47 МГц (13C). Элементный анализ выполняли на CHNS анализаторе Euro 3000 (Hekatech).
Физико-химические константы соединений 2–6, 11 соответствовали литературным [27, 32–34].
Общая методика синтеза тетрагидроиндолтионов 7–10. К суспензии 1 ммоль соответствующего тетрагидроиндола в 5 мл толуола добавляли 0.5 ммоль реагента Лавессона. Полученную смесь кипятили в течение 30 мин. По окончании реакции (контроль по ТСХ) реакционную массу концентрировали, остаток хроматографировали на SiO2 (элюент – бензол).
1-(2-Гидроксиэтил)-6,6-диметил-2-фенил-1,5,6,7-тетрагидро-4H-индол-4-тион (7) получали из 0.20 г (0.84 ммоль) тетрагидроиндола 2. Выход 0.23 г (91%), аморфное вещество. Спектр ЯМР 1H (CDCl3), δ, м. д. (J, Гц): 1.12 с (6H, H8(9)), 2.73 с (2H, H7), 2.88 с (2H, H5), 3.62 т (2H, H2′, J 5.7), 4.05 т (2H, H1′, J 5.7), 6.80 с (1H, H3), 7.36 т (1H, Hпара-Ph, J 7.8), 7.39 д. д (2H, Hмета-Ph, J 7.8, 7.4), 7.42 д (2H, Hорто-Ph, J 7.4). Спектр ЯМР 13C (CDCl3), δC, м. д.: 28.15 (C8(9)), 36.14 (C6), 37.28 (C7), 46.34 (C1′), 60.79 (C5), 61.61 (C2′), 108.56 (C3), 128.19 (Cпара-Ph), 128.70 (Cорто-Ph), 129.36 (Cмета-Ph), 131.10 (C3a), 132.02 (C-Ph), 137.47 (C2), 140.02 (C7a), 225.40 (C4). Спектр ЯМР 15N (CDCl3), δN, м. д.: 159.67 (N1). Найдено, %: C 72.18; H 7.08; N 4.65; S 10.69. C18H21NOS. Вычислено, %: C 72.20; H 7.07; N 4.68; S 10.71.
6,6-Диметил-1-(2-метилфенил)-2-фенил-1,5,6,7-тетрагидро-4H-инден-4-тион (8) получали из 0.20 г (0.61 ммоль) тетрагидроиндола 3. Выход 0.19 г (95%), аморфное вещество. Спектр ЯМР 1H (CDCl3), δ, м. д. (J, Гц): 1.05 с (3H, H8), 1.09 с (3H, H9), 1.88 с (3H, CH32′), 2.16 д (1H, HA7, J 16.9), 2.45 д (1H, HB7, J 6.9), 2.90 д (1H, HA5, J 16.8), 2.97 д (1H, HB5, J 16.8), 7.07 с (1H, H3), 7.11 д (2H, Hорто-Ph, J 7.9), 7.14–7.15 м (3H, Hмета-Ph, Hпара-Ph), 7.24 д. д (1H, H6′, J 7.4, J 1.5), 7.25 д. д (1H, H3′, J 7.4, J 1.7), 7.31 т. д (1H, H5′, J 7.4, J 7.4, J 1.7), 7.36 т. д (1H, H4′, J 7.4, J 7.4, J 1.5). Спектр ЯМР 13C (CDCl3), δС, м. д.: 17.44 (CH32′), 27.17 (C8), 28.73 (C9), 36.19 (C6), 37.22 (C7), 61.04 (C5), 107.43 (C3), 127.04 (C5′), 127.19 (Cпара-Ph), 127.46 (Cорто-Ph), 128.21 (Cмета-Ph), 128.47 (C6′), 129.38 (C4′), 131.31 (C3′), 131.36 (C3a), 131.63 (C-Ph), 135.97 (C2′), 136.61 (C1′), 137.89 (C2), 140.18 (C7a), 226.00 (C4). Спектр ЯМР 15N (CDCl3), δN, м. д.: 171.39 (N1). Найдено, %: C 79.97; H 6.70; N 4.06; S 9.29. C23H23NS. Вычислено, %: C 79.96; H 6.71; N 4.05; S 9.28.
6,6-Диметил-1-(4-феноксифенил)-2-фенил-1,5,6,7-тетрагидро-4H-инден-4-тион (9) получали из 0.20 г (0.49 ммоль) тетрагидроиндола 4. Выход 0.20 г (96%), аморфное вещество. Спектр ЯМР 1H (CDCl3), δ, м. д. (J, Гц): 1.08 с (6H, H8(9)), 2.50 с (2H, H7), 2.93 с (2H, H5), 6.99 д (2H, H2′(6′), J 8.8), 7.01 с (1H, H3), 7.05 д (2H, H2ʺ(6ʺ), J 7.7), 7.07 д (2H, H3′(5′), J 8.8), 7.11 д (2H, Hорто-Ph, J 7.9), 7.17–7.19 м (4H, H4ʺ, Hпара-Ph, Hмета-Ph), 7.38 т (2H, H3ʺ(5ʺ), J 7.7, J 7.7). Спектр ЯМР 13C (CDCl3), δС, м. д.: 28.03 (C8(9)), 36.16 (C6), 37.64 (C7), 61.00 (C5), 107.94 (C3), 118.70 (C2′(6′)), 119.63 (C2ʺ(6ʺ)), 124.27 (C4ʺ), 127.19 (Cпара-Ph), 128.18 (Cмета-Ph), 128.24 (Cорто-Ph), 128.90 (C3′(5′)), 130.00 (C3ʺ(5ʺ)), 131.34 (C3a), 131.52 (C-Ph), 131.95 (C1′), 137.83 (C2), 140.04 (C7a), 156.04 (C1ʺ), 157.59 (C4′), 226.13 (C4). Спектр ЯМР 15N (CDCl3), δN, м. д.: 171.97 (N1). Найдено, %: C 79.39; H 5.96; N 3.33; S 7.54. C28H25NOS. Вычислено, %: C 79.40; H 5.95; N 3.31; S 7.57.
1-Бензил-6,6-диметил-2-фенил-1,5,6,7-тетрагидро-4H-инден-4-тион (10) получали из 0.20 г (0.61 ммоль) тетрагидроиндола 5. Выход 0.19 г (92%), аморфное вещество. Спектр ЯМР 1H (CDCl3), δ, м. д. (J, Гц): 1.04 с (6H, H-8(9)), 2.47 с (2H, H7), 2.90 с (2H, H5), 5.10 с (2H, H1′), 6.91 с (1H, H3), 6.93 д (2H, H2ʺ(6ʺ), J 7.4), 7.25–7.33 м (8H, H3ʺ(5ʺ), Hорто-Ph, Hпара-Ph, Hмета-Ph H4ʺ). Спектр ЯМР 13C (CDCl3), δС, м. д.: 27.99 (C8(9)), 36.18 (C6), 36.82 (C7), 47.96 (C1′), 60.88 (C5), 107.91 (C3), 125.61 (C2ʺ(6ʺ)), 127.67 (C4ʺ), 128.07 (Cпара-Ph), 128.58 (Cмета-Ph), 128.99 (C3ʺ(5ʺ)), 129.00 (Cорто-Ph), 131.36 (C3a), 131.66 (C-Ph), 136.85 (C1ʺ), 138.28 (C2), 139.34 (C7a), 225.73 (C4). Спектр ЯМР 15N (CDCl3), δN, м. д.: 160.62 (N1). Найдено, %: C 79.95; H 6.73; N 4.04; S 9.30. C23H23NS. Вычислено, %: C 79.96; H 6.71; N 4.05; S 9.28.
Цитотоксические свойства соединений в отношении условно-нормальных (НEK293) и клеток опухолевого происхождения (Jurkat, MCF-7) оценивали с использованием красителя PrestoBlue® Cell Viability Reagent (Thermo Fisher Scientific, США) согласно протоколу изготовителя. Для этого клетки линии НEK293 и MCF-7 культивировали в среде DMEM (Биолот, Россия), клетки линии Jurkat – в среде RPMI (Биолот, Россия) в присутствии 10%-ной эмбриональной бычьей сыворотки, 2 мМ. L-глутамина, 50 мкг/мл гентамицина сульфата. После 24 ч культивирования в каждую лунку вносили исследуемые соединения в конечных концентрациях 1, 10, 100 мкМ. (в 0.1%-ном растворе ДМСО) и инкубировали в течение 48 ч, после чего добавляли PrestoBlue® Cell Viability Reagent в количестве, рекомендованном производителем (1:9). Флуоресценцию красителя (степень редукции красителя) измеряли при длине волны 590 нм, используя мультипланшетный анализатор 2300 EnSpire® Multimode Plate Reader (PerkinElmer, США). Метаболическую активность клеток рассчитывали по отношению к контролю (0.1% ДМСО), который принимали за 100%. Значение концентрации соединения, вызывающее 50%-ное подавление жизнеспособности клеток (IC50), определяли на основе дозозависимых кривых с помощью программного обеспечения GraphPadPrism v.5.02 (GraphPad Software Inc., США). Данные, полученные в 2 независимых экспериментах, выражали в виде среднего значения трех измерений для каждой концентрации ± стандартное отклонение, по отношению к значениям контроля (0.1% ДМСО), принятого за 100%.
Анализ клеточного цикла. Клетки рассаживали в 6-луночные планшеты в питательной среде DMEM или RPMI, содержащей 10%-ную эмбриональную бычью сыворотку, 2 мМ. L-глутамин. Через 24 ч клетки промывали PBS (2 раза) и меняли среду на DМЕМ/RPMI, содержащую 2 мМ. L- глутамин и инкубировали в течение 24, 48, 72 ч. По истечении времени инкубации клетки трипсинизировали, отмывали PBS и фиксировали 70%-ным этанолом в течение >24 ч при –20°С. Анализ клеточного цикла осуществляли методом проточной цитофлуориметрии после окрашивания клеток пропидийиодидом (PI). Для этого зафиксированные клетки отмывали от этанола 2 раза PBS (3 мин, при 1000g), инкубировали с РНКазой А (100 мкг/мл) 5 мин при комнатной температуре и затем с PI (25 мкг/мл) дополнительные 15 мин (при комнатной температуре, в темноте). Анализ распределения клеток по фазам клеточного цикла проводили на проточном цитофлуориметре Novocyte® 2060 (ACEA Bioscience Inc., США). Численную обработку гистограмм флуоресценции и определение процента клеток, соответствующих по количеству ДНК фазам клеточного цикла, проводили с помощью модуля для оценки клеточного цикла программы NovoExpress 1.2.5 (ACEA Bioscience Inc., США). Эксперименты проводили в 2 биологических повторностях. Статистическую обработку полученных результатов осуществляли в рамках стандартного пакета методов статистического анализа Statistiсa 6.0 для Windows (StatSoft, США), GraphPad Prism 5.0. (GraphPad Software, США).
Молекулярный докинг синтезированных соединений в активные сайты циклин-зависимых киназ CDK-2, CDK-5 и CDK-9 был проведен с помощью модулей программного комплекса Schrödinger Suites 2018-1 [36]. Соответствующие перечисленным циклин-зависимым киназам PDB-коды 4GCJ, 3O0G и 3LQ5, были загружены из базы данных RCSB PDB [28], в качестве референсных лигандов использованы соединения RC-3-89, ATP-аналог и S-CR8 [29–31]. Для подготовки соединения 3 и референсных лигандов был применен модуль LigPrep, геометрическая оптимизация силовым полем OPLS3e [37] для подготовки протеинов 4GCJ, 3O0G и 3LQ5 – модули Protein Preparation Wizard [38] и Prime [39, 40]. Процедуру докинга проводили сначала в режиме Glide (протокол Extra Precision) в соответствующие 4GCJ, 3O0Gи 3LQ5 сайты, вкупе с соответствующими референсными лигандами [41–43], затем в режиме Induced Fit Docking. После чего «улучшенные» позы лигандов были подвергнуты оценке MM-GBSA (в модуле Primе) для расчета значений DGbind; на этом этапе оценки применяли модель сольватации VSGB (OPLS3e), все аминокислотные остатки в радиусе 3 Å от лигандов рассматривали как «гибкие». Отметим, что рассчитанные в процессе выполнения ре-докинга референсных лигандов RC-3-89, ATP-аналога и S-CR8 значения RMSD оказались приемлемыми и составили 0.215, 0.335 и 0.803 Å соответственно (табл. 1), что свидетельствует о корректности воспроизведения их поз внутри активных сайтов и соответствии кристаллографическим данным [29–31] в процессе моделирования.
БЛАГОДАРНОСТЬ
Все эксперименты выполнены на оборудовании Центра коллективного пользования «Химия» Уфимского института химии Уфимского исследовательского центра РАН и Регионального центра коллективного пользования «Агидель» Уфимского исследовательского центра РАН.
ФИНАНСОВАЯ ПОДДЕРЖКА
Работа выполнена в рамках государственного задания Уфимского института химии Уфимского федерального исследовательского центра Российской академии наук (№ 122031400260-7) и государственного задания Института биохимии и генетики Уфимского федерального исследовательского центра Российской академии наук (№ 122041400169-2).
КОНФЛИКТ ИНТЕРЕСОВ
Авторы заявляют об отсутствии конфликта интересов.
About the authors
V. A. Sorokina
Ufa Federal Research Center of the Russian Academy of Sciences
							Author for correspondence.
							Email: tsypysheva.ip@gmail.com
				                	ORCID iD: 0000-0001-5311-9580
				                																			                								
Ufa Institute of Chemistry
Russian Federation, UfaD. O. Tsypyshev
Ufa Federal Research Center of the Russian Academy of Sciences
														Email: tsypysheva.ip@gmail.com
				                	ORCID iD: 0000-0003-4551-0226
				                																			                								
Ufa Institute of Chemistry
Russian Federation, UfaA. V. Koval’skaya
Ufa Federal Research Center of the Russian Academy of Sciences
														Email: tsypysheva.ip@gmail.com
				                	ORCID iD: 0000-0001-7772-2894
				                																			                								
Ufa Institute of Chemistry
Russian Federation, UfaV. A. Vakhitov
Ufa Federal Research Center of the Russian Academy of Sciences
														Email: tsypysheva.ip@gmail.com
				                	ORCID iD: 0000-0001-8805-9872
				                																			                								
Institute of Biochemistry and Genetics
Russian Federation, UfaI. P. Tsypysheva
Ufa Federal Research Center of the Russian Academy of Sciences
														Email: tsypysheva.ip@gmail.com
				                	ORCID iD: 0000-0002-5025-8742
				                																			                								
Institute of Biochemistry and Genetics
Russian Federation, UfaReferences
- Gomtsyan A. // Chem. Heterocycl. Compd. 2012. Vol. 48. P. 7. doi: 10.1007/s10593-012-0960-z
- Sperry J.B., Wright D.L. // Curr. Opin. Drug. Discov. Devel. 2005. Vol. 8. P. 723
- Shiro T, Fukaya T, Tobe M. // Eur. J. Med. Chem. 2015. Vol. 97. P. 397. doi: 10.1016/j.ejmech.2014.12.004
- Huigens R.W. 3rd, Brummel B.R., Tenneti S., Garrison A.T., Xiao T. // Molecules. 2022. Vol. 27. P. 1112. doi: 10.3390/molecules27031112
- Raffa D. Maggio B., Raimondi M.V., Cascioferro S., Plescia F., Cancemi G., Daidone G. // Eur. J. Med. Chem. 2015. Vol. 97. P. 732. doi: 10.1016/j.ejmech.2014.12.023
- Afzal O., Kumar S., Haider M.R., Ali M.R., Kumar R., Jaggi M., Bawa S. // Eur. J. Med. Chem. 2015. Vol. 97. P. 871. doi: 10.1016/j.ejmech.2014.07.044
- Машковский М.Д. Лекарственные средства. М.: Новая волна, 2021. 1216 c.
- Almagro L., Fernández-Pérez F., Pedreño M.A. // Molecules. 2015. Vol. 20. P. 2973. doi: 10.3390/molecules20022973
- Fernández-Pérez F., Almagro L., Pedreño M.A., Gómez Ros L.V. // Pharm. Biol. 2013. Vol. 51. P. 304. doi: 10.3109/13880209.2012.722646
- Yu H., Jin H., Gong W., Wang Z., Liang H. // Molecules. 2013. Vol. 18. P. 1826. doi: 10.3390/molecules18021826
- Sachdeva H., Mathur J., Guleria A. // J. Chil. Chem. Soc. 2020. Vol. 65. P. 4900. doi: 10.4067/s0717-97072020000204900
- Sibel S. // Curr. Org. Chem. 2017. Vol. 21. P. 2068. doi: 10.2174/1385272821666170809143233
- Aggarwal B.B., Ichikawa H. // Cell Cycle. 2005. Vol. 4. P. 1201. doi: 10.4161/cc.4.9.1993
- Jia Y., Wen X., Gong Y., Wang X. // Eur. J. Med. Chem. 2020. Vol. 200. P. 112359. doi: 10.1016/j.ejmech.2020.112359
- Hong Y., Zhu Y.Y., He Q., Gu S.X. // Bioorg. Med. Chem. 2022. Vol. 55. P. 116597. doi: 10.1016/j.bmc.2021.116597
- Kaur B., Venugopal S., Verma A., Sahu S.K., Wadhwa P., Kumar D., Sharma A. // Curr. Org. Synth. 2023. Vol. 20. P. 376. doi: 10.2174/1570179419666220509215722
- Wan Y., Li Y., Yan C., Yan M., Tang Z. // Eur. J. Med. Chem. 2019. Vol. 183. P. 111691. doi: 10.1016/j.ejmech.2019.111691
- Asati V., Bhupal R., Bhattacharya S., Kaur K., Gupta G.D., Pathak A., Mahapatra D.K. // Anticancer Agents Med. Chem. 2023. Vol. 23. P. 404. doi 10.2174/ 1871520622666220607143040
- Badopra A.H. // J. Appl. Chem. 2018. Vol. 7. P. 299.
- Choi S.J., Lee J.E., Jeong S.Y., Im I., Lee S.D., Lee E.J., Lee S.K., Kwon S.M., Ahn S.G., Yoon J.H., Han S.Y., Kim J.I., Kim Y.C. // J. Med. Chem. 2010. Vol. 53. P. 3696. doi: 10.1021/jm100080z
- Jacquemard U., Dias N., Lansiaux A., Bailly C., Logé C., Robert J.M., Lozach O., Meijer L., Mérour J.Y., Routier S. // Bioorg. Med. Chem. 2008. Vol. 16. P. 4932. doi: 10.1016/j.bmc.2008.03.034
- Choi S.J., Lee J.E., Jeong S.Y., Im I., Lee S.D., Lee E.J., Lee S.K., Kwon S.M., Ahn S.G., Yoon J.H., Han S.Y., Kim J.I., Kim Y.C. // J. Med. Chem. 2010. Vol. 53. P. 3696. doi: 10.1021/jm100080z
- Martinez R., Avila-Zarraga G., Ramirez M.T., Perez A. // Arkivoc. 2003. N 11. P. 48. doi: 10.3998/ark.5550190.0004.b06
- Martínez R., Avila J.G., Ramírez M.T., Pérez A., Martínez A. // Bioorg. Med. Chem. 2006. Vol. 14. P. 4007. doi: 10.1016/j.bmc.2006.02.012
- Martínez R., Clara-Sosa A., Ramírez Apan M.T. // Bioorg. Med. Chem. 2007. Vol. 15. P. 3912. doi 10.1016/ j.bmc.2006.12.018
- Martínez R., Arzate M.M., Ramírez-Apan M.T. // Bioorg. Med. Chem. 2009. Vol. 17. P. 1849. doi 10.1016/ j.bmc.2009.01.056
- Сорокина В.А., Цыпышев Д.О., Ковальская А.В., Цыпышева И.П. // Вестн. Башкирск. унив. 2021. Т. 26. С. 304. doi: 10.33184/bulletin-bsu-2021.2.6
- RCSB Protein Data Bank. https://www.rcsb.org
- Schonbrunn E., Betzi S., Alam R., Martin M.P., Becker A., Han H., Francis R., Chakrasali R., Jakkaraj S., Kazi A., Sebti S.M., Cubitt C.L., Gebhard A.W., Hazlehurst L.A., Tash J.S., Georg G.I. // J. Med. Chem. 2013. Vol. 56. P. 3768. doi: 10.1021/jm301234k
- Ahn J.S., Radhakrishnan M.L., Mapelli M., Choi S., Tidor B., Cuny G.D., Musacchio A., Yeh L.A., Kosik K.S. // Chem. Biol. 2005. Vol. 12. P. 811. doi: 10.1016/j.chembiol.2005.05.011
- Bettayeb K., Baunbæk D., Delehouze C., Loaëc N., Hole A.J., Baumli S., Endicott J.A., Douc-Rasy S., Bénard J., Oumata N., Galons H., Meijer L. // Genes Cancer. 2010. Vol. 1. P. 369. doi: 10.1177/1947601910369817
- Положенцева И.А., Ковальская А.В., Цыпышев Д.О., Лобов А.Н., Назаров А.М., Данилко К.В., Катаев В.А. // Баш. хим. ж. 2018. Том 25. С. 59. doi: 10.17122/bcj-2018-1-59-66
- Ramadas S.R., Padmanabhan S. // J. Prakt. Chem. 1978. Vol. 320. P. 863. doi: 10.1002/prac.19783200520
- Khalafy J., Badparvar F., Marjani A.P. // J. Chil. Chem. Soc. 2016. Vol. 61. P. 3112. doi: 10.4067/s0717-97072016000300021
- Koval’skaya A.V., Petrova P.R., Tsypyshev D.O., Lobov A.N., Tsypysheva I.P. // Nat. Prod. Res. 2022. Vol. 36. P. 3538. doi: 10.1080/14786419.2020.1868460
- Schrödinger Release 2018-1: Maestro, Schrödinger, LLC, New York, 2018 (демо-версия от 03.03.2021 для ФГБУ «Институт фармакологии им. А.В. Закусова», Москва)
- Harder E., Damm W., Maple J., Wu C., Reboul M., Xiang J.Y., Wang L., Lupyan D., Dahlgren M.K., Knight J.L., Kaus J.W., Cerutti D.S., Krilov G., Jorgensen W.L., Abel R., Friesner R.A. // J. Chem. Theory. Comput. 2016. Vol. 12. P. 281. doi: 10.1021/acs.jctc.5b00864
- Sastry G.M., Adzhigirey M., Day T., Annabhimoju R., Sherman W. // J. Comput. Aided Mol. Des. 2013. Vol. 27. P. 221. doi: 10.1007/s10822-013-9644-8
- Jacobson M.P., Pincus D.L., Rapp C.S., Day T.J., Honig B., Shaw D.E., Friesner R.A. // Proteins. 2004. Vol. 55. P. 351. doi: 10.1002/prot.10613
- Jacobson M.P., Friesner R.A., Xiang Z., Honig B. // J. Mol. Biol. 2002. Vol. 320. P. 597. doi: 10.1016/s0022-2836(02)00470-9
- Friesner R.A., Murphy R.B., Repasky M.P., Frye L.L., Greenwood J.R., Halgren T.A., Sanschagrin P.C., Mainz D.T. // J. Med. Chem. 2006. Vol. 49. P. 6177. doi: 10.1021/jm051256o
- Halgren T.A., Murphy R.B., Friesner R.A., Beard H.S., Frye L.L., Pollard W.T., Banks J.L. // J. Med. Chem. 2004. Vol. 47. P. 1750. doi: 10.1021/jm030644s
- Friesner R.A., Banks J.L., Murphy R.B., Halgren T.A., Klicic J.J., Mainz D.T., Repasky M.P., Knoll E.H., Shelley M., Perry J.K., Shaw D.E., Francis P., Shenkin P.S. // J. Med. Chem. 2004. Vol. 47. P. 1739. doi: 10.1021/jm0306430
Supplementary files
 
				
			 
					 
						 
						 
						 
						 
				
 
  
  
  Email this article
			Email this article 





