Synthesis and biological activity of substituted 5-oxo-1,4,5,6,7,8-hexahydroquinoline-3-carboxamides
- 作者: Nosova N.V.1, Starovoytova М.О.1, Mahmudov R.R.2,3, Novikova V.V.1, Dmitriev М.V.2, Gein V.L.1
- 
							隶属关系: 
							- Perm State Pharmaceutical Academy of the Ministry of Health of the Russian Federation
- Perm State National Research University
- Federal Scientific Center for Medical and Preventive Health Risk Management Technologies
 
- 期: 卷 94, 编号 5 (2024)
- 页面: 559-568
- 栏目: Articles
- URL: https://journals.rcsi.science/0044-460X/article/view/266147
- DOI: https://doi.org/10.31857/S0044460X24050032
- EDN: https://elibrary.ru/FKOJMN
- ID: 266147
如何引用文章
全文:
详细
A four-component solvent-free reaction of acetoacetic acid amide with dimedone, aromatic aldehydes and ammonium acetate leads to new substituted 5-oxo-1,4,5,6,7,8-hexahydroquinoline-3-carboxamides. The structures of the products were proved using IR, 1H and 13C NMR spectroscopy, mass spectrometry and X-ray diffraction analysis. The synthesized compounds were tested for antimicrobial and antinociceptive activities.
全文:
ВВЕДЕНИЕ
Хинолин и его гидрированные производные вызывают интерес у исследователей как с теоретической, так и с практической точки зрения. Хинолиновый фрагмент присутствует во многих природных биологически активных веществах, включая хинин (алкалоид коры хинного дерева Cínchona) и эхинопсин (алкалоид мордовника Fructus Echinopsis) [1], а также в синтетических лекарственных средствах, обладающих противомалярийным (хлорохин, гидроксихлорохин) и выраженным антибактериальным действием (нитроксилин, оксолиновая кислота) [2]. Среди производных хинолина, содержащих в положении 3 амидную группу, обнаружены ингибиторы CSF-1R рецепторов [3] и вещества, обладающие противовирусным эффектом [4]. Производные гексагидрохинолина не так широко представлены в природе, однако среди ранее синтезированных замещенных 1,4,5,6,7,8-гексагидрохинолинов обнаружены соединения, проявляющие противомалярийную [5], противоопухолевую [6–8], гипогликемическую [9] и антигипертензивную [10] активность. Авторами патента [11] производные 4-фенил-5-оксо-1,4,5,6,7,8-гексагидрохинолина предложены в качестве лекарственного средства для лечения бесплодия.
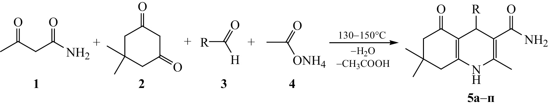
Одним из методов получения замещенных 1,4,5,6,7,8-гексагидрохинолинов является реакция Ганча: циклоконденсация 1,3-дикарбонильных соединений с альдегидом и аммиаком. Так, ранее реакцией эфиров и замещенных амидов ацетоуксусной кислоты с циклическими 1,3-дикетонами, ароматическими альдегидами и ацетатом аммония были получены 5-оксо-1,4,5,6,7,8-гексагидрохинолины, функционализированные в положении 3 сложноэфирной или замещенной амидной группой [12–14]. Однако поведение N-незамещенного ацетоацетамида в данной реакции исследовано не было.
РЕЗУЛЬТАТЫ И ОБСУЖДЕНИЕ
Нами изучено взаимодействие амида ацетоуксусной кислоты 1 с димедоном 2, ароматическими (гетероциклическими) альдегидами 3 и ацетатом аммония 4 в отсутствие растворителя. Проведенные исследования показали, что циклоконденсация успешно протекает при сплавлении реагентов с образованием замещенных 4-арил(гетарил)-2,7,7-триметил-5-оксо-1,4,5,6,7,8-гексагидрохинолин-3-карбоксамидов 5a–п (схема 1). Следует отметить, что реакция приводит к высоким выходам при наличии в ароматическом альдегиде электроноакцеторного заместителя. Стерического эффекта в случае заместителя в орто-положении арилкарбальдегида не наблюдается. Выходы в случае орто-замещенных альдегидов не уступают, а в ряде случаев и превышают таковые для пара-замещенных.
Схема 1.
R = Ph (5a), 4-FC6H4 (5б), 2-FC6H4 (5в), 4-ClC6H4 (5г), 2-ClC6H4 (5д), 4-BrC6H4 (5е), 2-BrC6H4 (5ж), 3-NO2C6H4 (5з), 4-MeC6H4 (5и), 4-EtC6H4 (5к), 4-i-PrC6H4 (5л), 4-i-BuC6H4 (5м), 4-MeOC6H4 (5н), 3-C5H4N (5о), 4-NO2C6H4 (5п).
Известно, что без участия амида в аналогичных условиях конденсация протекает с образованием замещенных акридинов [15, 16]. Примеси акридина были замечены нами в конечных продуктах при использовании ацетоацетамида в эквимолярном соотношении с остальными реагентами. Однако 10%-ный избыток амида позволил полностью избавиться от наличия примесного продукта еще на стадии выделения 5-оксо-1,4,5,6,7,8-гексагидрохинолин-3-карбоксамидов, предшествующей очистке. Для подтверждения характера примесных продуктов взаимодействием димедона с п-метоксибензальдегидом и ацетатом аммония, взятых в соотношении 2:1:1, в аналогичных условиях получен 3,3,6,6-тетраметил-9-(4-метоксифенил)-3,4,6,7,9,10-гексагидроакридин-1,8(2H,5H)-дион 6 (схема 2).
Схема 2.
Соединения 5а–п представляют собой белые, светло-желтые или бледно-зеленые кристаллические вещества, растворимые в ДМСО, ДМФА, ацетоне, ацетонитриле, при нагревании в спиртах, нерастворимые в воде.
В ИК спектрах соединений 5а–п имеются интенсивные полосы поглощения карбонильной группы амидного фрагмента (1628–1641 см–1), кетонной карбонильной группы, сопряженной с двойной связью цикла (1664–1678 см–1), NH группы гетероцикла (3410–3497 см–1) и амидного фрагмента (3189–3340 см–1). В спектрах ЯМР 1Н соединений 5a–п наблюдается уширенный синглет двух протонов незамещенной амидной группы (6.64–6.94 м. д.), а также синглет NH протона гексагидрохинолинового цикла (8.43–8.63 м. д.), подтверждающие данную структуру. В спектрах ЯМР 13С соединений 5a–п присутствуют сигналы атомов углерода карбонильной группы гетероцикла (193.59–194.08 м. д.) и атома углерода амидной группы (170.06–170.57 м. д.).
Для установления пространственного строения проведено рентгеноструктурное исследование монокристалла соединения 5з (рис. 1). Соединение 5з кристаллизуется в центросимметричной пространственной группе триклинной сингонии в виде рацемата. Кристаллографически независимая часть элементарной ячейки состоит из двух молекул с противоположной конфигурацией хирального центра и одной молекулы этанола (на рисунке изображена только одна молекула 5з). В кристалле молекулы связаны в трехмерную сеть за счет межмолекулярных водородных связей N–H···O и O–H···O.
Рис. 1. Общий вид молекулы соединения 5з в кристалле в представлении тепловыми эллипсоидами с 30%-ной вероятностью.
Соединение 6 представляет собой светло-оранжевое кристаллическое вещество, растворимое в ДМСО, ДМФА, ацетоне, труднорастворимое в спиртах и нерастворимое в воде. В спектре ЯМР 1Н гексагидроакридина 6 присутствуют два синглета 12 протонов 4 метильных групп и 4 дублета 8 протонов 4 метиленовых групп фрагмента димедона, сигнал NH протона гетероцикла сдвинут в более слабое поле (9.17 м. д.).
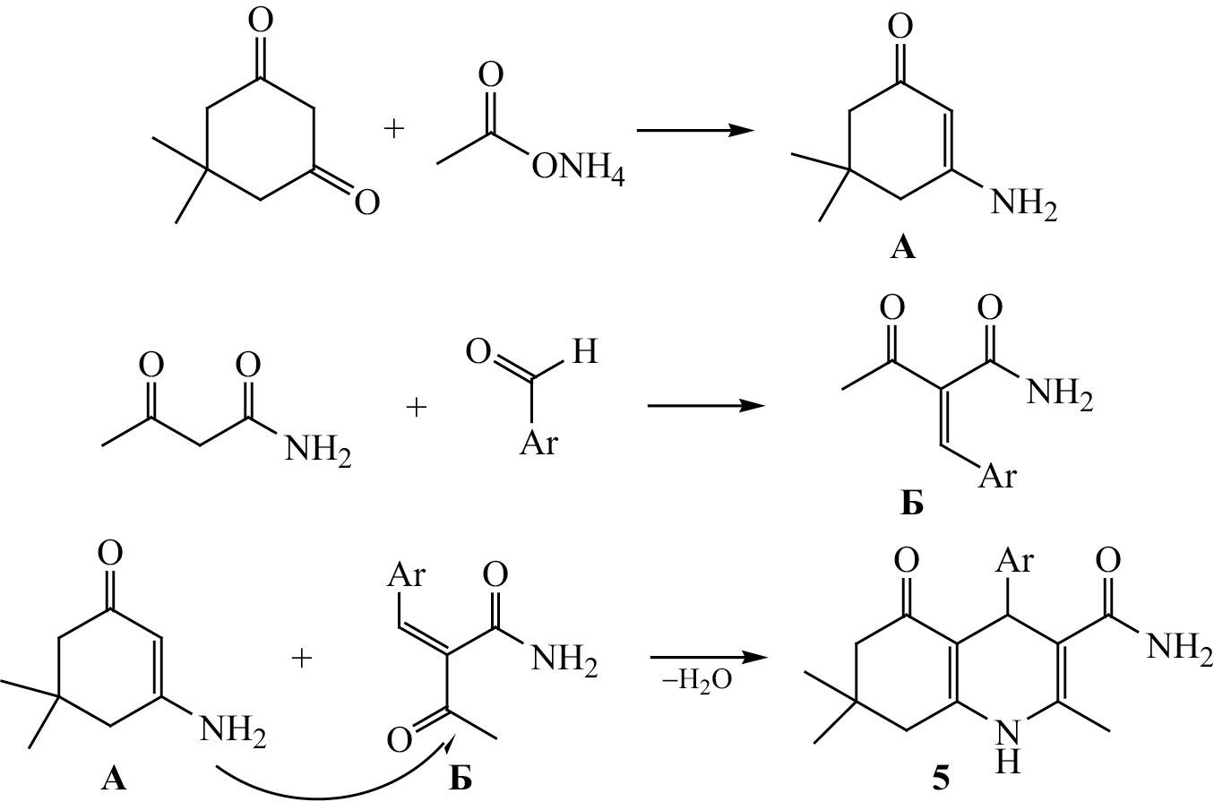
Вероятный механизм образования 4-арил(гетарил)-2,7,7-триметил-5-оксо-1,4,5,6,7,8-гексагидрохинолин-3-карбоксамидов 5a–п показан на схеме 3. Предположительно, димедон взаимодействует с аммиаком с образованием промежуточного интермедиата А. В результате конденсации ацетоацетамида с ароматическим альдегидом образуется промежуточный непредельный продукт Б. Дальнейшая циклизация полученных интермедиатов А и Б приводит к образованию гексагидрохинолин-3-карбоксамидов 5a–п.
Схема 3.
Полученные соединения 5б–г, е, и, м–п подвергнуты биологическому скринингу на антиноцицептивную активность. Статистически обработанные результаты представлены в табл. 1. Как видно из полученных данных, все исследованные соединения проявляют выраженное антиноцицептивное действие. Наибольший антиноцицептивный эффект оказывает соединение 5о, достоверно превышая таковой для препарата сравнения метамизола натрия.
Таблица 1. Антиноцицептивная активность соединений 5б–г, е, и, м–п в дозах 50 мг/кг.
| Соединение | Время оборонительного рефлекса на пике действияа, с | 
| 5б | 20.08±1.10 | 
| 5в | 20.88±0.44 | 
| 5г | 20.58±1.12 | 
| 5е | 22.00±1.30 | 
| 5и | 21.67±0.68 | 
| 5м | 23.33±0.75 | 
| 5н | 21.33±0.97 | 
| 5о | 24.92±0.46 | 
| 5п | 21.33±1.17 | 
| Метамизол натрияб | 16.60±3.40 (p < 0.1) | 
| Контрольв | 10.50±0.18 | 
а Достоверность различий по сравнению с контролем p < 0.05.
б В дозе 93 мг/кг (ЕД50).
в 2%-ный крахмальный раствор.
Соединения 5б–е, и, м–п и 6 исследовались на проявление антимикробной активности к штаммам представителя грамотрицательных бактерий Escherichia coli ATCC 25922 и грамположительных – Staphylococcus aureus ATCC 6538P, а также представителя низших грибов рода Candida – Candida albicans NCTC 885-653. Установлены минимальные подавляющие концентрации (МПК), которые варьируются от 1000 мкг/мл (табл. 2), что свидетельствует о низком антимикробном действии полученных соединений.
Таблица 2. Антимикробная активность соединений 5б–е, и, м–п и 6.
| Соединение | МПК, мкг/мл | ||
| Escherichia сoli ATCC 6538-P | Staphylococcus aureus ATCC 25922 | Candida albicans NCTC 885-653 | |
| 5a | 1000 | 1000 | ˃1000 | 
| 5б | 1000 | 1000 | ˃1000 | 
| 5в | 1000 | >1000 | 1000 | 
| 5г | 1000 | >1000 | ˃1000 | 
| 5д | ˃1000 | >1000 | ˃1000 | 
| 5е | 1000 | 1000 | ˃1000 | 
| 5и | ˃1000 | 1000 | ˃1000 | 
| 6 | ˃1000 | 1000 | ˃1000 | 
| 5м | 1000 | 1000 | ˃1000 | 
| 5н | 1000 | >1000 | ˃1000 | 
| 5о | ˃1000 | 1000 | ˃1000 | 
| 5п | 1000 | 1000 | ˃1000 | 
| Фурацилин | 250 | 125 | – | 
| Диоксидин | 62.5–1000 | 3.9–62.5 | – | 
| Флуконазол | – | – | 8–31 | 
ВЫВОДЫ
Таким образом, четырехкомпонентной реакцией незамещенного амида ацетоуксусной кислоты с димедоном, ароматическими (гетероциклическими) альдегидами и ацетатом аммония в отсутствие растворителя получены замещенные 5-оксо-1,4,5,6,7,8-гексагидрохинолин-3-карбоксамиды, среди которых обнаружены соединения, проявляющие анальгетическую (антиноцицептивную) активность.
ЭКСПЕРИМЕНТАЛЬНАЯ ЧАСТЬ
ИК спектры записаны в вазелиновом масле на Фурье-спектрометре ФСМ-1202 и ИК Фурье спектрометре Lumex InfraLUM® FT-08 (Россия) в диапазоне частот 400–4000 см–1 методом нарушенного полного внутреннего отражения (приставка НПВО MIRacle Pike, США). Масс-спектры высокого разрешения записаны на приборе Shimadzu Nexera X2 LCMS-9030 с электроспрей-ионизацией. Спектры ЯМР 1Н и 13C записаны на приборе Bruker DRX 400 с рабочей частотой 400 и 100 МГц соответственно в ДМСО-d6, внутренний стандарт – тетраметилсилан. Элементный анализ проведен на приборе PerkinElmer 2400.Температуры плавления определены на приборе Melting Point M-565.
Рентгеноструктурный анализ соединения 5з выполнен на монокристалльном дифрактометре Xcalibur Ruby (Agilent Technologies) с ССD-детектором [MoKα-излучение, 295(2) K, ω-сканирование c шагом 1°]. Поглощение учтено эмпирически с использованием алгоритма SCALE3 ABSPACK [17]. Структура расшифрована с помощью программы SHELXT [18] и уточнена полноматричным МНК по F2 в анизотропном приближении для всех неводородных атомов с помощью программы SHELXS [19] с графическим интерфейсом OLEX2 [20]. Атомы водорода включены в уточнение в модели наездника (за исключением атомов водорода групп NH и NH2, уточненных независимо в изотропном приближении). Результаты РСА зарегистрированы в Кембриджском центре кристаллографических данных (CCDC 2371933).
2,7,7-Триметил-5-оксо-4-фенил-1,4,5,6,7,8-гексагидрохинолин-3-карбоксамид (5a). К 0.011 моль (10%-ный избыток) ацетоацетамида добавляли 0.01 моль 5,5-диметил-1,3-циклогександиона, 0.01 моль соответствующего ароматического альдегида и 0.01 моль ацетата аммония. Полученную смесь сплавляли на металлической бане при температуре 130–150°C в течение 5–10 мин до прекращения газовыделения. Реакционную смесь охлаждали до комнатной температуры, добавляли 10 мл этанола и оставляли на 24 ч до образования осадка. Полученный осадок отфильтровывали и перекристаллизовывали из смеси этанол–вода (1:1). Выход 37%, т. пл. 242–244°С (этанол). ИК спектр, ν, см–1: 3434 (N1H), 3246, 3210 (CONH2), 1670 (CO), 1638 (CON). Спектр ЯМР 1Н, δ, м. д.: 0.78 с (3Н, С7СН3), 0.94 c (3Н, С7СН3), 1.89 д (1H, C8HAHB, J 15.9 Гц), 2.04 с (3Н, С2СН3), 2.09 д (1H, C8HAHB, J 3.8 Гц), 2.19 д (1H, C6HAHB, J 16.7 Гц), 2.30 д (1H, C6HAHB, J 16.8 Гц), 4.75 с (1Н, С4Н), 6.65 уш. с (2Н, NН2), 7.00–7.12 м (5Н, C6H5), 8.46 с (1Н, NН). Спектр ЯМР 13C, δС, м. д.: 17.77, 19.87, 27.09, 29.58, 32.46, 38.01, 50.91, 108.71, 110.09, 126.00, 128.00, 128.15, 136.04, 147.60, 150.68, 170.49, 193.98. Найдено, %: C 73.60; H 6.14; N 9.03. C19H22N2O2. Вычислено, %: C 73.90; H 6.29; N 8.79.
Соединения 5б–п получали аналогично.
2,7,7-Триметил-5-оксо-4-(4-фторфенил)-1,4,5,6,7,8-гексагидрохинолин-3-карбоксамид (5б). Выход 45%, т. пл. 270–271°С (этанол). ИК спектр, ν, см–1: 3444 (N1H), 3277, 3248 (CONH2), 1671 (CO), 1638 (CON). Спектр ЯМР 1Н, δ, м. д.: 0.77 с (3Н, С7СН3), 0.93 c (3Н, С7СН3), 1.89 д (1H, C8HAHB, J 16.0 Гц), 2.03 с (3Н, С2СН3), 2.07 д (1H, C8HAHB, J 14.9 Гц), 2.19 д (1H, C6HAHB, J 16.8 Гц), 2.30 д (1H, C6HAHB, J 16.8 Гц), 4.77 с (1Н, С4Н), 6.69 уш. с (1Н, NН2), 6.71 уш. с (1Н, NН2), 6.92 т (2Н, 4-FC6H4, J 8.9 Гц), 7.13 т (2Н, 4-FC6H4, J 5.7 Гц), 8.49 с (1Н, NН). Спектр ЯМР 13C, δС, м. д.: 17.75, 27.07, 29.53, 32.46, 37.37, 40.23, 50.87, 108.63, 110.02, 114.61 д (Ar, 2С, J 20.8 Гц), 129.65 д (Ar, 2С, J 7.9 Гц), 136.08, 143.73 д (Ar, J 2.9 Гц), 150.69, 160.89 д (Ar, C4F, J 239.4 Гц), 170.40, 194.02. Найдено, %: C 69.53; H 6.39; N 8.53. C19H21N2O2F. Вычислено, %: C 69.65; H 6.11; N 8.71.
2,7,7-Триметил-5-оксо-4-(2-фторфенил)-1,4,5,6,7,8-гексагидрохинолин-3-карбоксамид (5в). Выход 49%, т. пл. 270–271°С (этанол). ИК спектр, ν, см–1: 3497 (N1H), 3286, 3251 (CONH2), 1675 (CO), 1636 (CON). Спектр ЯМР 1Н, δ, м. д.: 0.90 с (3Н, С7СН3), 1.02 c (3Н, С7СН3), 1.93 д (1H, C8HAHB, J 15.9 Гц), 2.02 с (3Н, С2СН3), 2.13 д (1H, C8HAHB, J 16.0 Гц), 2.27 д (1H, C6HAHB, J 16.9 Гц), 2.39 д (1H, C6HAHB, J 16.7 Гц), 5.03 с (1Н, С4Н), 6.78 уш. с (2Н, NН2), 6.96 т (1Н, 2-FС6Н4, J 9.1 Гц), 7.03 т (1Н, 2-FС6Н4, J 7.4 Гц), 7.10 к (1Н, 2-FС6Н4, J 5.3 Гц), 7.21 т (1Н, 2-FС6Н4, J 7.3 Гц), 8,54 с (1Н, NН). Спектр ЯМР 13C, δС, м. д.: 17.57, 27.02, 29.62, 32.44, 33.05, 40.27, 50.82, 107.46, 109.81, 115.36 д (Ar, J 22.6 Гц), 124.23 д (Ar, J 3.1 Гц), 127.83 д (Ar, J 9.0 Гц), 131.14 д (Ar, J 4.9 Гц), 134.40 д (Ar, J 14.3 Гц), 135.01, 151.29, 159.76 д (Ar, C2F, J 244.6 Гц), 170.32, 193.64. Спектр ЯМР 19F (ДМСО-d6): δF –117.28 м. д. Найдено, %: C 69.50; H 6.39; N 8.55. C19H21N2O2F. Вычислено, %: C 69.51; H 6.40; N 8.54.
2,7,7-Триметил-5-оксо-4-(4-хлорфенил)-1,4,5,6,7,8-гексагидрохинолин-3-карбоксамид (5г). Выход 57%, т. пл. 279–281°С (этанол). ИК спектр, ν, см–1: 3449 (N1H), 3260, 3249 (CONH2), 1671 (CO), 1638 (CON). Спектр ЯМР 1Н, δ, м. д.: 0.85 с (3Н, С7СН3), 1.01 c (3Н, С7СН3), 1.98 д (1H, C8HAHB, J 16.0 Гц), 2.11 с (3Н, С2СН3), 2.14 д (1H, C8HAHB, J 16.2 Гц), 2.26 д (1H, C6HAHB, J 16.9 Гц), 2.38 д (1H, C6HAHB, J 16.8 Гц), 4.84 с (1Н, С4Н), 6.80 уш. с (2Н, NН2), 7.20 д (2Н, 4-ClC6H4, J 8.5 Гц), 7.24 д (2Н, 4-ClC6H4, J 8.5 Гц), 8.58 с (1Н, NН). Спектр ЯМР 13C, δС, м. д.: 17.75, 27.11, 29.52, 32.46, 37.65, 40.23, 50.85, 108.32, 109.81, 128.08, 129.85, 130.57, 136.10, 146.49, 150.86, 170.33, 194.04. Найдено, %: C 66.30; H 6.11; N 8.12. C19H21N2O2Cl. Вычислено, %: C 66.28; H 6.10; N 8.14.
2,7,7-Триметил-5-оксо-4-(2-хлорфенил)-1,4,5,6,7,8-гексагидрохинолин-3-карбоксамид (5д). Выход 54%, т. пл. 262–264°С (этанол). ИК спектр, ν, см–1: 3470 (N1H), 3293, 3248 (CONH2), 1669 (CO), 1635 (CON). Спектр ЯМР 1Н, δ, м. д.: 0.91 с (3Н, С7СН3), 1.02 c (3Н, С7СН3), 1.91 д (1H, C8HAHB, J 15.9 Гц), 1.99 с (3Н, С2СН3), 2.12 д (1H, C8HAHB, J 16.0 Гц), 2.28 д (1H, C6HAHB, J 16.8 Гц), 2.39 д (1H, C6HAHB, J 16.8 Гц), 5.17 с (1Н, С4Н), 6.76 уш. с (1Н, NН2), 6.85 уш. с (1Н, NН2), 7.08 т (1Н, 2-ClС6Н4, J 7.8 Гц), 7.19 к (2Н, 2-ClС6Н4, J 7.9 Гц), 7.29 д (1Н, 2-ClС6Н4, J 7.5 Гц), 8.55 с (1Н, NН). Спектр ЯМР 13C, δС, м. д.: 17.42, 27.17, 29.60, 32.38, 36.89, 50.88, 108.08, 110.47, 127.19, 127.60, 129.30, 131.79, 132.12, 134.19, 145.17, 151.32, 170.25, 193.59. Найдено, %: C 66.26; H 6.12; N 8.16. C19H21N2O2Cl. Вычислено, %: C 66.28; H 6.10; N 8.14.
4-(4-Бромфенил)-2,7,7-триметил-5-оксо-1,4,5,6,7,8-гексагидрохинолин-3-карбоксамид (5е). Выход 43%, т. пл. 278–280°С (этанол). ИК спектр, ν, см–1: 3450 (N1H), 3250, 3215 (CONH2), 1672 (CO), 1637 (CON). Спектр ЯМР 1Н, δ, м. д.: 0.78 с (3Н, С7СН3), 0.94 c (3Н, С7СН3), 1.90 д (1H, C8HAHB, J 16.0 Гц), 2.30 с (3Н, С2СН3), 2.07 д (1H, C8HAHB, J 16.1 Гц), 2.19 д (1H, C6HAHB, J 16.8 Гц), 2.30 д (1H, C6HAHB, J 16.8 Гц), 4.75 с (1Н, С4Н), 6.72 уш. с (2Н, NН2), 7.07 д (2Н, 4-BrС6Н4, J 8.3 Гц), 7.30 д (2Н, 4-BrС6Н4, J 8.3 Гц), 8.51 с (1Н, NН). Спектр ЯМР 13C, δС, м. д.: 17.74, 27.13, 29.51, 32.46, 37.75, 40.23, 50.85, 108.24, 109.77, 119.07, 130.29, 131.00, 136.07, 146.92, 150.84, 170.33, 194.01. Найдено, %: C 64.61; H 5.93; N 7.95. C19H21N2O2Br. Вычислено, %: C 64.59; H 5.95; N 7.93.
4-(2-Бромфенил)-2,7,7-триметил-5-оксо-1,4,5,6,7,8-гексагидрохинолин-3-карбоксамид (5ж). Выход 51%, т. пл. 246–248°С (этанол). ИК спектр, ν, см–1: 3460 (N1H), 3301, 3239 (CONH2), 1667 (CO), 1635 (CON). Спектр ЯМР 1Н, δ, м. д.: 0.90 с (3Н, С7СН3), 1.02 c (3Н, С7СН3), 1.81 д (1H, C8HAHB, J 15.9 Гц), 1.98 с (3Н, С2СН3), 2.11 д (1H, C8HAHB, J 16.0 Гц), 2.28 д (1H, C6HAHB, J 16.7 Гц), 2.39 д (1H, C6HAHB, J 16.7 Гц), 5.13 с (1Н, С4Н), 6.75 с (1Н, NН2), 6.85 с (1Н, NН2), 6.99 т (1Н, 2-BrС6Н4, J 7.9 Гц), 7.23 т (2Н, 2-BrС6Н4, J 7.1 Гц), 7.28 д (1Н, 2-BrС6Н4, J 7.6 Гц), 7.39 д (1Н, 2-BrС6Н4, J 7.9 Гц), 8.54 с (1Н, NН). Спектр ЯМР 13C, δС, м. д.: 17.39, 27.23, 29.56, 32.39, 39.13, 40.36, 50.91, 101.64, 108.41, 110.91, 122.57, 127.85, 131.87, 132.58, 133.76, 147.05, 151.23, 170.19, 193.59. Найдено, %: C 64.57; H 5.96; N 7.91. C19H21N2O2Br. Вычислено, %: C 64.59; H 5.95; N 7.93.
2,7,7-Триметил-4-(3-нитрофенил)-5-оксо-1,4,5,6,7,8-гексагидрохинолин-3-карбоксамид (5з). Выход 46%, т. пл. 242–244°С (этанол). ИК спектр, ν, см–1: 3410 (N1H), 3244, 3218 (CONH2), 1666 (CO), 1628 (CON). Спектр ЯМР 1Н, δ, м. д.: 0.79 с (3Н, С7СН3), 0.95 c (3Н, С7СН3), 1.90 д (1H, C8HAHB, J 15.9 Гц), 2.05 с (3Н, С2СН3), 2.10 д (1H, C8HAHB, J 16.3 Гц), 2.23 д (1H, C6HAHB, J 16.8 Гц), 2.34 д (1H, C6HAHB, J 16.9 Гц), 4.94 с (1Н, С4Н), 6.73 уш. с (1Н, NН2), 6.94 уш. с (1Н, NН2), 7.64 т (1Н, 3-NO2C6H4, J 7.8 Гц), 7.88 д (1Н, 3-NO2C6H4, J 7.6 Гц), 7.89 д (1Н, 3-NO2C6H4, J 8.5 Гц), 7.96 с (1Н, 3-NO2C6H4), 8.63 с (1Н, NН). Спектр ЯМР 13C, δС, м. д.: 17.77, 26.97, 29.52, 32.51, 38.81, 50.70, 56.60, 107.83, 109.47, 121.16, 122.52, 129.68, 134.82, 136.50, 148.00, 149.75, 151.38, 170.08, 194.08. Масс-спектр (ESI), m/z: 354.1453 [M – H]+ (вычислено для C19H21N3O4: 355.15).
Рентгеноструктурное исследование соединения 5з: триклинная сингония, пространственная группа P–1, 2C19H21N3O4∙C2H6O, M = 756.84, a = 8.542(2) Å, b = 14.679(2) Å, c = 16.100(2) Å, α = 89.658(14)°, β = 81.252(17)°, γ = 80.104(17)°, V = 1965.1(7) Å3, Z = 2, dвыч = 1.279 г/см3, μ = 0.092 мм–1. Окончательные параметры уточнения: R1 = 0.0863 [для 3420 отражений с I > 2σ(I)], wR2 = 0.2497 (для всех 9245 независимых отражений, Rint = 0.0830), S = 0.994.
2,7,7-Триметил-4-(метилфенил)-5-оксо-1,4,5,6,7,8-гексагидрохинолин-3-карбоксамид (5и). Выход 41%, т. пл. 270–272°С (этанол). ИК спектр, ν, см–1: 3444 (N1H), 3241, 3206 (CONH2), 1672 (CO), 1636 (CON). Спектр ЯМР 1Н, δ, м. д.: 0.86 с (3Н, С7СН3), 1.01 c (3Н, С7СН3), 1.96 д (1H, C8HAHB, J 15.9 Гц), 2.10 с (3Н, С2СН3), 2.13 д (1H, C8HAHB, J 19.8 Гц), 2.21 с (3Н, 4-СН3С6Н4), 2.25 д (1H, C6HAHB, J 17.2 Гц), 2.37 д (1H, C6HAHB, J 16.8 Гц), 4.77 с (1Н, С4Н), 6.68 уш. с (2Н, NН2), 6.98 д (2Н, 4-СН3С6Н4, J 7.9 Гц), 7.08 д (2Н, 4-СН3С6Н4, J 7.9 Гц), 8.50 с (1Н, NН). Спектр ЯМР 13C, δС, м. д.: 17.77, 21.03, 27.12, 29.60, 32.45, 37.59, 50.94, 108.86, 110.19, 127.92, 128.75, 134.84, 135.94, 144.73, 150.50, 170.51, 193.95. Найдено, %: C 74.05; H 7.43; N 7.91. C20H24N2O2. Вычислено, %: C 74.07; H 7.41; N 7.93.
2,7,7-Триметил-5-оксо-4-(4-этилфенил)-1,4,5,6,7,8-гексагидрохинолин-3-карбоксамид (5к). Выход 35%, т. пл. 227–229°С (этанол). ИК спектр, ν, см–1: 3470 (N1H), 3240, 3186 (CONH2), 1670 (CO), 1638 (CON). Спектр ЯМР 1Н, δ, м. д.: 0.87 с (3Н, С7СН3), 1.01 c (3Н, С7СН3), 1.14 т (3Н, 4-CH2CH3С6Н4, J 7.6), 1.96 д (1H, C8HAHB, J 16.0 Гц), 2.10 с (3Н, С2СН3), 2.13 д (1H, C8HAHB, J 16.2 Гц), 2.26 д (1H, C6HAHB, J 16.8 Гц), 2.37 д (1H, C6HAHB, J 16.8 Гц), 2.51 к (2H, 4-CH2CH3C4H6, J 7.6 Гц), 4.78 с (1Н, С4Н), 6.70 уш. с (2Н, NН2), 7.01 д (2Н, 4-CH2CH3С6Н4, J 8.0 Гц), 7.10 д (2Н, 4-CH2CH3С6Н4, J 8.0 Гц), 8.50 с (1Н, NН). Спектр ЯМР 13C, δС, м. д.:15.95, 17.76, 19.02, 27.21, 28.19, 29.55, 32.48, 37.60, 50.94, 56.50, 108.81, 110.24, 127.55, 127.93, 135.89, 141.21, 145.01, 150.57, 170.53, 193.97. Найдено, %: C 74.58; H 7.67; N 8.26. C21H26N2O2. Вычислено, %: C 74.56; H 7.69; N 8.28.
4-(4-Изопропилфенил)-2,7,7-триметил-5-оксо-1,4,5,6,7,8-гексагидрохинолин-3-карбоксамид (5л). Выход 31%, т. пл. 234–236°С (этанол). ИК спектр, ν, см–1: 3472 (N1H), 3243, 3189 (CONH2), 1671 (CO), 1638 (CON). Спектр ЯМР 1Н, δ, м. д.: 0.82 с (3Н, С7СН3), 0.94 c (3Н, С7СН3), 1.08 д и 1.10 д [6Н, 4-(СН3)2СН, J 6.9], 1.90 д (1H, C8HAHB, J 15.9 Гц), 2.02 с (3Н, С2СН3), 2.06 д (1H, C8HAHB, J 16.0 Гц), 2.21 д (1H, C6HAHB, J 16.8 Гц), 2.30 д (1H, C6HAHB, J 16.8 Гц), 2.69–2.75 м [1H, 4-(СН3)2СН, J 6.9], 4.71 с (1Н, С4Н), 6.64 уш. с (2Н, NН2), 6.97 д [2Н, 4-(СН3)2СНС6Н4, J 8.2 Гц], 7.03 д [2Н, 4-(СН3)2СНС6Н4, J 8.3 Гц], 8.43 с (1Н, NН). Спектр ЯМР 13C, δС, м. д.: 17.77, 19.00, 19.87, 24.32, 24.41. 27.32, 29.50, 32.50, 33.42, 37.55, 50.94, 56.50, 108.76, 110.28, 126.08, 127.87, 135.87, 145.14, 145.82, 150.68, 170.56, 194.00. Найдено, %: C 74.99; H 7.97; N 7.94. C21H28N2O2. Вычислено, %: C 75.00; H 7.95; N 7.95.
4-(4-Изобутилфенил)-2,7,7-триметил-5-оксо-1,4,5,6,7,8-гексагидрохинолин-3-карбоксамид (5м). Выход 35%, т. пл. 238–240°С (этанол). ИК спектр, ν, см–1: 3473 (N1H), 3324, 3271 (CONH2), 1678 (CO), 1634 (CON). Спектр ЯМР 1Н, δ, м. д.: 0.90 с (3Н, С7СН3), 1.02 c (3Н, С7СН3), 1.24 с [9Н, 4-(СН3)3С6Н4] 1.99 д (1H, C8HAHB, J 16.0 Гц), 2.09 с (3Н, С2СН3), 2.13 д (1H, C8HAHB, J 16.1 Гц), 2.29 д (1H, C6HAHB, J 16.9 Гц), 2.37 д (1H, C6HAHB, J 16.8 Гц), 4.79 с (1Н, С4Н), 6.72 уш. с (2Н, NН2), 7.11 д [2Н, 4-(СН3)3С6Н4, J 8.3 Гц], 7.20 д [2Н, 4-(СН3)3С6Н4, J 8.3 Гц], 8.50 с (1Н, NН). Спектр ЯМР 13C, δС, м. д.: 17.77, 19.00, 27.42, 29.47, 31.69, 32.51, 34.44, 37.43, 50.95, 56.50, 108.69, 110.27, 124.92, 127.60, 135.86, 144.71, 148.07, 150.73, 170.57, 194.01. Найдено, %: C 75.43; H 8.22; N 7.67. C23H30N2O2. Вычислено, %: C 75.41; H 8.20; N 7.65.
2,7,7-Триметил-4-(4-метоксифенил)-5-оксо-1,4,5,6,7,8-гексагидрохинолин-3-карбоксамид (5н). Выход 61%, т. пл. 271–272°С (этанол). ИК спектр, ν, см–1: 3455 (N1H), 3340, 3285 (CONH2), 1665 (CO), 1634 (CON). Спектр ЯМР 1Н, δ, м. д.: 0.86 с (3Н, С7СН3), 1.01 c (3Н, С7СН3), 1.96 д (1H, C8HAHB, J 15.9 Гц), 2.11 с (3Н, С2СН3), 2.19 д (1H, C8HAHB, J 16.8 Гц), 2.25 д (1H, C6HAHB, J 16.8 Гц), 2.37 д (1H, C6HAHB, J 16.8 Гц), 3.69 с (3Н, 4-ОСН3С6Н4), 4.76 с (1Н, С4Н), 6.70 уш. с (2Н, NН2), 6.75 д (2Н, 4-ОСН3С6Н4, J 8.6 Гц), 7.11 д [2Н, 4-(СН3)3С6Н4, J 8.6 Гц], 8.50 с (1Н, NН). Спектр ЯМР 13C, δС, м. д.:17.78, 27.11, 29.60 32.45, 37.11, 40.26, 50.94, 55.37, 109.02, 110.21, 113.62, 128.96, 136.01, 139.94, 150.36, 157.76, 170.55, 194.01. Найдено, %: C 70.57; H 7.08; N 8.26. C20H24N2O3. Вычислено, %: C 70.59; H 7.06; N 8.24.
2,7,7-Триметил-5-оксо-4-(пиридин-3-ил)-1,4,5,6,7,8-гексагидрохинолин-3-карбоксамид (5о). Выход 33%, т. пл. 248–250°С (этанол). ИК спектр, ν, см–1: 3431 (N1H), 3291, 3267 (CONH2), 1664 (CO), 1629 (CON). Спектр ЯМР 1Н, δ, м. д.: 0.84 с (3Н, С7СН3), 1.01 c (3Н, С7СН3), 1.97 д (1H, C8HAHB, J 15.8 Гц), 2.11 с (3Н, С2СН3), 2.15 д (1H, C8HAHB, J 16.2 Гц), 2.28 д (1H, C6HAHB, J 16.9 Гц), 2.38 д (1H, C6HAHB, J 16.8 Гц), 4.86 с (1Н, С4Н), 6.76 уш. с (1Н, NН2), 6.93 уш. с (1Н, NН2), 7.22 т (1Н, C5H4N, J 4.8 Гц), 7.52 д (1Н, C5H4N, J 7.9 Гц), 8.28 д (1Н, C5H4N, J 6.1 Гц), 8.40 с (1Н, C5H4N), 8.63 с (1Н, NН). Спектр ЯМР 13C, δС, м. д.: 17.74, 19.00, 27.07, 29.46, 32.49, 36.06, 50.77, 56.50, 107.88, 123.56, 135.31, 136.32, 142.56, 147.18, 149.46, 151.15, 170.23, 194.00. Найдено, %: C 69.47; H 6.77; N 8.88. C18H21N3O2. Вычислено, %: C 69.45; H 6.75; N 9.00.
2,7,7-Триметил-4-(4-нитрофенил)-5-оксо-1,4,5,6,7,8-гексагидрохинолин-3-карбоксамид (5п). Выход 51%, т. пл. 272–274°С (этанол). ИК спектр, ν, см–1: 3444 (N1H), 3287, 3257 (CONH2), 1672 (CO), 1641 (CON). Спектр ЯМР 1Н, δ, м. д.: 0.78 с (3Н, С7СН3), 0.95 c (3Н, С7СН3), 1.90 д (1H, C8HAHB, J 16.0 Гц), 2.05 с (3Н, С2СН3), 2.08 д (1H, C8HAHB, J 16.2 Гц), 2.22 д (1H, C6HAHB, J 16.9 Гц), 2.33 д (1H, C6HAHB, J 16.9 Гц), 4.92 с (1Н, С4Н), 6.74 уш. с (1Н, NН2), 6.85 уш. с (1Н, NН2), 7.37 д (2Н, 4-NO2С6Н4, J 8.6 Гц), 8.02 д (2Н, 4-NO2С6Н4, J 8.6 Гц), 8.62 с (1Н, NН). Спектр ЯМР 13C, δС, м. д.: 17.76, 27.14, 29.44, 32.48, 38.59, 50.74, 107.63, 109.26, 123.50, 129.23, 136.47, 146.09, 151.38, 155.03, 170.06, 194.00. Масс-спектр (ESI), m/z: 354.1455 [M – H]+ (вычислено для C19H21N3O4: 355.39).
3,3,6,6-Тетраметил-9-(4-метоксифенил)-3,4,6,7,9,10-гексагидроакридин-1,8(2H,5H)-дион (6). К 0.02 моль 5,5-диметил-1,3-циклогександиона добавляли 0.01 моль 4-метоксибензальдегида и 0.01 моль аммония ацетата. Полученную смесь сплавляли на металлической бане при температуре 120–145°C в течение 10–15 мин до прекращения газовыделения. Полученную реакционную смесь охлаждали до комнатной температуры, добавляли 10 мл этанола и оставляли на 24 ч до образования осадка. Полученный осадок отфильтровывали и перекристаллизовывали из этилового спирта. Выход 55%, т. пл. 270–272°С (этанол). ИК спектр, ν, см–1: 3275 (NH), 1646, 1632 (CO). Спектр ЯМР 1Н, δ, м. д.: 0.89 с (6Н, С3(6)СН3), 1.02 c (6Н, С3(6)СН3), 1.98 д (2H, C4(5)HAHB, J 16.0 Гц), 2.17 д (2H, C4(5)HAHB, J 16.0 Гц), 2.33 д (2H, C2(7)HAHB, J 16.0 Гц), 2.44 д (2H, C2(7)HAHB, J 16.0 Гц), 4.78 с (1Н, С9Н), 7.37 д (2Н, 4-CH3OС6Н4, J 8.0 Гц), 8.02 д (2Н, 4-CH3OС6Н4, J 8.0 Гц), 9.17 с (1Н, NН). Спектр ЯМР 13C, δС, м. д.: 27.03, 29.55, 32.35, 32.56, 40.22, 50.82, 55.33, 112.20, 113.41, 128.96, 140.00, 149.44, 157.57, 194.74. Найдено, %: C 75.88; H 7.77; N 3.79. C24H29NO3. Вычислено, %: C 75.96; H 7.70; N 3.69.
ФИНАНСОВАЯ ПОДДЕРЖКА
Исследование выполнено при финансовой поддержке Пермского научно-образовательного центра «Рациональное недропользование», 2024 год.
КОНФЛИКТ ИНТЕРЕСОВ
Авторы заявляют об отсутствии конфликта интересов.
作者简介
N. Nosova
Perm State Pharmaceutical Academy of the Ministry of Health of the Russian Federation
							编辑信件的主要联系方式.
							Email: geinvl48@mail.ru
				                	ORCID iD: 0000-0001-6380-2543
				                																			                												                	俄罗斯联邦, 							Perm						
М. Starovoytova
Perm State Pharmaceutical Academy of the Ministry of Health of the Russian Federation
														Email: geinvl48@mail.ru
				                					                																			                												                	俄罗斯联邦, 							Perm						
R. Mahmudov
Perm State National Research University; Federal Scientific Center for Medical and Preventive Health Risk Management Technologies
														Email: geinvl48@mail.ru
				                	ORCID iD: 0000-0002-2326-3976
				                																			                												                	俄罗斯联邦, 							Perm; Perm						
V. Novikova
Perm State Pharmaceutical Academy of the Ministry of Health of the Russian Federation
														Email: geinvl48@mail.ru
				                					                																			                												                	俄罗斯联邦, 							Perm						
М. Dmitriev
Perm State National Research University
														Email: geinvl48@mail.ru
				                	ORCID iD: 0000-0002-8817-0543
				                																			                												                	俄罗斯联邦, 							Perm						
V. Gein
Perm State Pharmaceutical Academy of the Ministry of Health of the Russian Federation
														Email: geinvl48@mail.ru
				                	ORCID iD: 0000-0002-8512-0399
				                																			                												                	俄罗斯联邦, 							Perm						
参考
- Ajani O.O., Iyaye K.T., Ademosun O.T. // RSC Adv. 2022. Vol. 12. P. 18594. doi: 10.1039/d2ra02896d
- Машковский М.Д. Лекарственные средства. M.: Новая волна, 2005. 1200 с.
- Scott D.A., Balliet C.L., Cook D.J., Davies A.M., Gero T.W., Omer C.A., Poondru S., Theoclitou M.E., Tyurin B., Zinda M.J. // Bioorg. Med. Chem. Lett. 2009. Vol. 19. P. 697. doi: 10.1016/j.bmcl.2008.12.046
- Chen S., Chen R., He M., Pang R., Tan Z., Yang M. // Bioorg. Med. Chem. 2009. Vol. 17. P. 1948. doi 10.1016/ j.bmc.2009.01.038
- Vanaerschot M., Lucantoni L., Li T., Combrinck J.M., Ruecker A., Santha T.R.K., Rubiano K., Ferreira E.P., Siciliano G., Gulati S., Henrich P.P., Ng L.C., Murithi J.M., Corey V.C., Duffy S., Lieberman O.J., Veiga M.I., Sinden R.E., Alano P., Delves M.J., Sim K.L, Winzeler E.A., Egan T.J., Hoffman S.L., Avery V.M., Fidock D.A. // Nat. Microbiol. 2017. Vol. 2. P. 1403. doi: 10.1038/s41564-017-0007-4
- Alqasoumi S.I., Al-Taweel A.M., Alafeefy A.M., Hamed M.M., Noaman E., Ghorab M.M. // Bioorg. Med. Chem. Lett. 2009. Vol. 19. P. 6939. doi 10.1016/ j.bmcl.2009.10.065
- Shahraki O., Edraki N., Khoshneviszadeh M., Zargari F., Ranjbar S., Saso L., Firuzi O., Miri R. // Drug Des. Dev. Ther. 2017. Vol. 11. P. 407. doi: 10.2147/DDDT.S119995
- Mennatallah A.S., Ali A.E., Nadia S.E. // Bioorg. Chem. 2020. Vol. 99. Article ID 103831. doi 10.1016/ j.bioorg.2020.103831
- Kumar A., Sharma S., Tripathi V.D., Maurya R.A., Srivastava S.P., Bhatia G., Tamrakar A.K., Srivastava A.K. // Bioorg. Med. Chem. 2010. Vol. 18. P. 4138. doi 10.1016/ j.bmc.2009.11.061
- Safak C., Erdemli I., Sunal R. // Arzneimittel-forschung. 1993. Vol. 43. P. 1052.
- Пат. 2403243 (2010). РФ
- Nagarapu L., Dharani Kumari M., Vijaya Kumari N., Kantevari S. // Catal. Commun. 2007. Vol. 8. N 12. P. 1871. doi: 10.1016/j.catcom.2007.03.004
- Гейн В.Л., Казанцева М.И., Курбатова А.А. // ЖОрХ. 2011. Т. 47. № 6. С. 17; Gein V.L., Kazantseva M.I., Kurbatova A.A. // Russ. J. Org. Chem. 2011. Vol. 47. N 6. P. 886. doi: 10.1134/S1070428011060091
- Гейн В.Л., Казанцева М.И., Курбатова А.А. Вахрин М.И. // ХГС. 2010. Т. 46. № 5. С. 629; Gein V.L., Kazantseva, M.I., Kurbatova, A.A., Vahrin M.I. // Chem. Heterocycl. Compd. 2010. Vol. 46. N 5. P. 629. doi: 10.1007/s10593-010-0560-8
- Чебанов В.А., Сараев В.Е., Кобзарь К.М., Десенко С.М., Орлов В.Д., Гура Е.А. // ХГС. 2004. № 4. С. 571; Chebanov V.A., Saraev V.E., Kobzaŕ K.M., Desenko S.M., Gura E.A., Orlov V.D. // Chem. Heterocycl. Compd. 2004. Vol. 40. N 4. P. 475. doi: 10.1023/B:COHC.0000033541.49115.a0
- Yü S.-J., Wu S., Zhao X.-M., Lü C.-W. // Res. Chem. Intermed. 2017. Vol. 43. P. 3121. doi: 10.1007/s11164-016-2814-2
- CrysAlisPro, Agilent Technologies, Version 1.171.37.33 (release 27-03-2014 CrysAlis171 .NET).
- Sheldrick G.M. // Acta Crystallogr. (A). 2008. Vol. 64. P. 112. doi: 10.1107/S0108767307043930
- Sheldrick G.M. // Acta Crystallogr. (C). 2015. Vol. 71. P. 3. doi: 10.1107/S2053229614024218
- Dolomanov O.V., Bourhis L.J., Gildea R.J, Howard J.A.K., Puschmann H. // J. Appl. Cryst. 2009. Vol. 42. P. 339. doi: 10.1107/S0021889808042726
补充文件
 
				
			 
						 
						 
						 
						 
					 
				
 
  
  
  电邮这篇文章
			电邮这篇文章 




