Synthesis and Transformations of Hydrazine-Substituted Pyrano[3″,4″:5′,6′]pyrido[3′,2′:4,5]thieno[3,2-d]pyrimidine
- Authors: Dabaeva V.V.1, Paronikyan E.G.1, Barkhudaryants I.M.1, Dashyan S.S.1, Baghdasaryana M.R.1
-
Affiliations:
- Scientific and Technological Center of Organic and Pharmaceutical Chemistry, National Academy of Science of the Republic of Armenia
- Issue: Vol 94, No 3 (2024)
- Pages: 370-375
- Section: Articles
- URL: https://journals.rcsi.science/0044-460X/article/view/261503
- DOI: https://doi.org/10.31857/S0044460X24030079
- EDN: https://elibrary.ru/FYXKNI
- ID: 261503
Cite item
Full Text
Abstract
A method was developed for the synthesis of 11-(2-furyl)-4-hydrazino-8,8-dimethyl-7,10-dihydro-8H-pyrano[3″,4″:5′,6′]pyrido[3′,2′:4,5]thieno[3,2-d]pyrimidine on the basis of which new heterocyclic systems were synthesized. The conditions for the azido/tetrazole transformation of the resulting condensed tetrazolo[1,5-c]pyrimidine were studied. Isomeric triazolo[4,3-c]- and -[1,5-c]pyrimidines were synthesized and the conditions for the transformation of the first isomer into the second in accordance with the Dimroth rearrangement were established.
Full Text
ВВЕДЕНИЕ
Известно, что производные пиримидина играют важную роль во многих биологически значимых процессах, а синтетические конденсированные производные пиримидина проявляют широкий спектр фармакологического действия [1–4]. Особое место среди них занимают конденсированные тиено[3,2-d]пиримидины, повышенный интерес к которым обусловлен их высокой биологической активностью [5–8], что и сделало эти соединения привлекательными с точки зрения дальнейших исследований с целью синтеза новых биологически активных веществ. С другой стороны, тетрациклические конденсированные системы, включающие пирановое, пиридиновое, тиофеновое и пиримидиновое кольца можно рассматривать как аналоги азагетеростероидов, проявляющих, как известно, разнообразную биологическую активность [9, 10].
Настоящая работа является продолжением наших исследований по разработке методов получения новых конденсированных производных сравнительно малоизученных пиранопиридотиенопиримидинов. Ранее среди синтезированных нами производных конденсированных тиено[3,2-d]пиримидина также были обнаружены производные с высокой биологической активностью [11–13]. Совокупность полученных данных однозначно указывала на то, что поиск соединений, обладающих высокой биологической активностью в данном ряду целесообразен.
Цель настоящей работы – поиск методов функционализации гидразинопроизводного конденсированного тиено[3,2-d]пиримидина и использование последнего для дальнейшей гетероциклизации. Кроме того, изучены перегруппировка Димрота и предполагаемой азидо/тетразольной таутомерии в данной системе.
РЕЗУЛЬТАТЫ И ОБСУЖДЕНИЕ
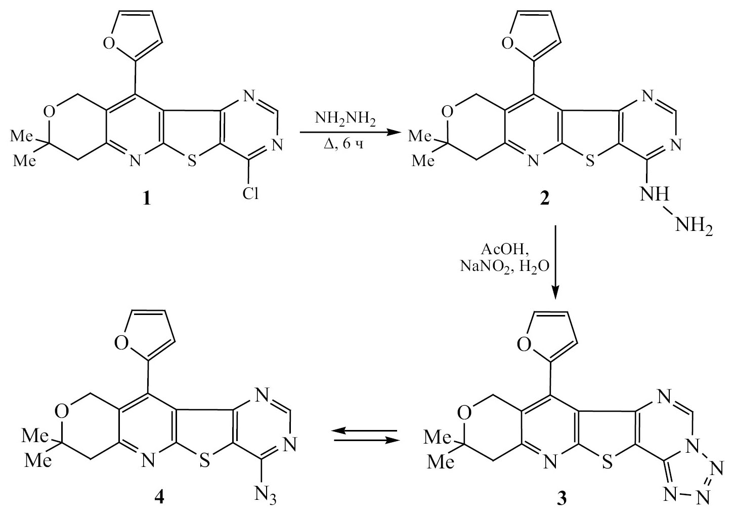
В настоящей работе в качестве субстрата использован 4-хлор-11-(2-фурил)-8,8-диметил-7,10-дигидро-8H-пирано[3″,4″:5′,6′]пиридо[3′,2′:4,5]тиено[3,2-d]пиримидин 1 [14]. Гидразинолизом последнего кипячением в концентрированном гидрате гидразина в течение 6 ч получено соответствующее гидразинопроизводное 2, которое, несомненно, представляет особый интерес с точки зрения изучения его дальнейших превращений (схема 1).
Схема 1.
Обработка полученного гидразинопроизводного 2 водным раствором нитрита натрия в присутствии уксусной кислоты могла привести либо к тетразоло[1,5-с]пиримидину 3, либо к азидопроизводному 4. Причем, как известно, особенностью тетразолов, аннелированных с различными гетероциклами, является склонность к азидо/тетразольным превращениям (схема 1). При анализе ИК спектра соединения 3, в котором отсутствует полоса поглощения в области 2140–2160 см⁻¹ и обнаруживается полоса поглощения при 1100 см⁻¹ , характерная для тетразольного кольца, сделан вывод о том, что в кристаллическом состоянии полученное соединение находится в форме тетразольного производного. Установлено, что спектре ЯМР ¹H (ДМСО-d6) также присутствуют сигналы, соответствующие лишь тетразольной форме соединения 3. В то же время в спектре ЯМР ¹H (CDCl₃) наблюдается двойной набор сигналов, свидетельствующий о наличии обеих изомерных форм, тетразольной и азидной. Протон пиримидинового кольца тетразольного таутомера 3 отнесен нами к слабопольному сигналу, так как в данном случае сказывается влияние ароматического тетразольного цикла. Соотношение таутомеров 1:1 определено по соотношению интенсивностей пиков удвоенных сигналов.
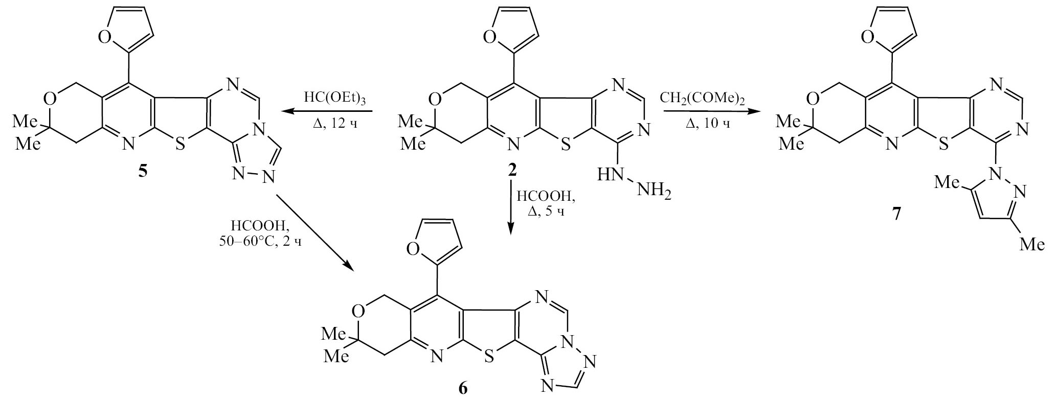
Изучено также поведение гидразинопроизводного 2 при кипячении с триэтиловым эфиром ортомуравьиной кислоты и муравьиной кислотой. Предполагалось, что в первом случае образуется производное триазоло[4,3-с]пиримидина 5, а во втором – изомерного триазоло[1,5-с]пиримидина 6 (схема 2).
Схема 2.
И действительно, изомеры легко различаются по положению сигнала протона триазольного цикла в спектрах ЯМР ¹H: если сигнал триазольного протона соединения 5 регистрируется при 9.25 м. д., то соответствующий синглет соединения 6 смещен в более сильное поле – 8.54 м. д., что, вероятно, связано с экранирующим эффектом магнитной анизотропии пиримидинового цикла [15]. Отметим также, что изомеры имеют различные точки плавления и проба смешения их характеризуется значительной депрессией температуры плавления.
Предполагается, что в обоих случаях первоначально образуется соединение 5, которое далее под действием кислоты перегруппировывается по Димроту с разрывом связи C–N пиримидинового кольца и обращением триазольного кольца с образованием изомера 6. Для подтверждения данного предположения проведен встречный синтез нагреванием изомера 5 в муравьиной кислоте с образованием [1,5-с]изомера 6 (схема 2).
Из гидразинопроизводного 2 осуществлен также синтез соответствующего пиразолопроизводного 7 кипячением последнего в ацетилацетоне (схема 2). В спектре ЯМР ¹H соединения 7 имеется уширенный синглет CH-группы пиразольного кольца при 6.12 м. д. и метильных групп при 2.37 и 2.81 м. д.
ВЫВОДЫ
Таким образом, в ходе исследования разработаны методы получения новых производных конденсированных тиено[3,2-d]пиримидинов – конденсированного тетразоло[1,5-с]пиримидина, триазоло[4,3-c]- и -[1,5-с]пиримидинов и соответствующего пиразолопроизводного. Установлена азидо-тетразольная таутомерия конденсированного тетразоло[1,5-с]пиримидина. Также доказано, что таутомерная смесь в CDCl₃ образуется при взаимодействии тетразола с растворителем.
ЭКСПЕРИМЕНТАЛЬНАЯ ЧАСТЬ
В работе использовали коммерческие реактивы фирм «Fluka» (Германия), «Aldrich», «Sigma» (США). Растворители очищали по стандартным методикам.
ИК спектры регистрировали на спектрометре NicoletAvatar 330 FT-IR (США) в вазелиновом масле. Спектры ЯМР ¹H и ¹³C регистрировали на приборе Mercury 300 Vx (США) с частотой 300 и 75.462 МГц соответственно, внутренний стандарт – ТМС. При отнесении сигналов в спектрах ЯМР ¹H и ¹³C использовали метод DEPT. Элементный анализ выполняли на приборе Elemental Analyzer Euro EA 3000 (Германия). Температуры плавления определяли на микронагревательном столике Boetius (Германия).
11-(2-Фурил)-4-гидразино-8,8-диметил-7,10-дигидро-8H-пирано[3″,4″:5′,6′]пиридо[3′,2′:4,5]тиено[3,2-d]пиримидин (2). Смесь 3.7 г (0.01моль) соединения 1 [15] в 10 мл концентрированного гидрата гидрaзина кипятили в течение 6 ч. После удаления избытка гидрaзина к остатку добавляли 20 мл воды. Выпавшие кристаллы отфильтровывали, промывали водой и перекристаллизовывали из этанола. Выход 2.3 г (62%), т. пл. 264–265°C, Rf 0.52 (пиридин–бутанол, 1:1). ИК спектр, ν, см⁻¹: 3260, 3320 (NH, NH₂), 1580, 1600 (C=CАr). Спектр ЯМР ¹H (ДМСО-d₆–CCl₄, 1:3), δ, м. д.: 1.33 с [C(CH₃)₂], 2.99 уш. с (2H, 7-CH₂), 4.60 уш. с (2H, NH₂), 4.72 (2H, 10-CH₂), 6.60 д. д (1H, CH⁴фурил, J 3.3, 1.8 Гц), 6.76 д. д (1H, CH³фурил, J 3.3, 0.6 Гц), 7.66 (1H, CH⁵фурил, J 1.8, 0.6 Гц), 8.20 с (1H, 2-CH), 8.68 уш. с (1H, NH). Спектр ЯМР ¹³C (ДМСО-d₆–CCl₄, 1:3), δС, м. д.: 26.2 [C(CH₃)₂], 43.2 (7- CH₂), 60.5 (10-CH₂), 70.4 [C(CH₃)₂], 110.6 (CHфурил), 111.2, 112.7 (CHфурил), 117.8, 122.3, 124.9, 126.4, 131.7, 142.6 (CHфурил), 144.0, 145.5, 153.1, 155.2. Найдено, %: С 58.89; H 4.60; N 19.15; S 8.77. C18H17N5O2S. Вычислено, %: С 58.84; H 4.66; N 19.06; S 8.73.
7-(2-Фурил)-10,10-диметил-10,11-дигидро-8H-пирано[3″,4″:5′,6′]пиридо[3′,2′:4,5]тиено[2,3-е]тетразолo[1,5-с]пиримидин (3). К суспензии 3.7 г (0.01моль) соединения 2 в 70 мл уксусной кислоты порциями добавляли раствор нитрита натрия, приготовленный растворением 5 г нитрата натрия в 25 мл воды. Реакционную смесь перемешивали в течение 48 ч при комнатной температуре. Выпавшие кристаллы отфильтровывали, промывали водой и перекристаллизовывали из ДМСО. Выход 3.6 г (94%), т. пл. 214–215°C, Rf 0.54 (пиридин–бутанол, 1:3). ИК спектр, ν, см⁻¹: 1620 (C=N), 1110 (тетразол). Спектр ЯМР ¹H (ДМСО-d6), δ, м. д.: 1.32 с [6H, C(CH₃)₂], 3.10 с (2H, 11-CH₂), 4.81 с (2H, 8-CH₂), 6.80 д. д (1H, CH⁴фурил, J 3.3, 1.8 Гц), 6.99 уш. д (1H, CH³фурил, J 3.3 Гц), 7.96 уш. д (1H, CH⁵фурил, J 1.8 Гц), 10.10 с (1H, 5-CH). Спектр ЯМР ¹H (CDCl₃), δ, м. д. (смесь азида и тетразола): 1.40 c и 1.42 с [6H, C(CH₃)₂), 3.11 с и 3.16 с (2H, 11-CH₂), 4.90 с и 4.93 с (2H, 8-CH₂), 6.69 д. д и 6.71 д. д (1H, CH⁴фурил, J 3.4, 1.8 Гц), 6.76 д. д и 6.89 д. д (1H, CH³фурил, J 3.4, 0.7 Гц), 7.70 д. д и 7.71 д. д (1H, CH⁵фурил, J 1.8, 0.7 Гц), 8.85 с и 9.48 с (1H, 5-CH). Спектр ЯМР ¹³C (CDCl₃), δС, м. д.: 26.7 [C(CH₃)₂], 44.0 (11-CH₂, азид), 44.1 (11-CH₂, тетразол), 61.3 (8-CH₂, азид), 61.5 (8-CH₂, тетразол), 71.4 [C(CH₃)₂, азид], 71.5 [C(CH₃)₂, тетразол], 111.4 (CH⁴фурил, азид), 111.5 (CH⁴фурил, тетразол), 113.5 (CH³фурил, азид), 114.3 (CH³фурил, тетразол), 118.3, 123.1, 126.7, 127.6, 132.9 (азид), 133.6 (тетразол), 134.1, 143.7 (CH, азид), 143.8 (CH, тетразол), 145.0 (CH, азид), 145.2 (CH, тетразол), 145.4 (CH, азид), 146.8 (CH, тетразол), 154.5 (CH⁵фурил), 157.4 (азид), 158.2 (тетразол), 161.1 (азид), 162.0 (тетразол). Найдено, %: С 57.19; H 3.69; N 22.25; S 8.51. C18H14N6O2S. Вычислено, %: С 57.13; H 3.73; N 22.21; S 8.47.
7-(2-Фурил)-10,10-диметил-10,11-дигидро-8H-пирано[3″,4″:5′,6′]пиридо[3′,2′:4,5]тиено[2,3-е][1,2,4]триазоло[4,3-с]пиримидин (5). Смесь 3.7 г (0.01 моль) соединения 2 в 50 мл триэтилового эфира ортомуравьиной кислоты кипятили в течение 12 ч. После охлаждения выпавшие кристаллы отфильтровывали, промывали водой и перекристаллизовывали из смеси хлороформ–этанол (2:1). Выход 2.8 г (74%), т. пл. >300°C, Rf 0.50 (пиридин–бутанол, 1:2). ИК спектр, ν, см⁻¹: 1578 (C=СAr), 1611 (C=N). Спектр ЯМР ¹H (ДМСО-d₆–CCl₄, 1:3), δ, м. д.: 1.35 с [6H, C(CH₃)₂], 3.03 с (2H, 11-CH₂), 4.77 с (2H, 8-CH₂), 6.66 д. д (1H, CH⁴фурил, J 3.3, 1.8 Гц), 6.75 д. д (1H, CH³фурил, J 3.3 Гц), 7.72 уш. д (1H, CH⁵фурил, J 1.8 Гц), 9.25 с (1H, 3-CH), 9.41 с (1H, 5-CH). Спектр ЯМР ¹³C (ДМСО-d₆–CCl₄, 1:3), δC, м. д.: 26.1 [C(CH₃)₂], 43.1 (11-CH₂), 60.4 (8-CH₂), 70.4 [C(CH₃)₂], 110.7 (CH⁴фурил), 112.6 (CH³фурил), 117.3, 123.1, 126.2, 131.2, 135.4 (CH), 135.8 (CH), 140.2, 142.9 (CH⁵фурил), 144.1, 145.0, 154.5, 159.0. Найдено, %: С 60.50; H 4.08; N 18.55; S 8.59. C19H15N5O2S. Вычислено, %: С 60.46; H 4.01; N 18.56; S 8.50.
7-(2-Фурил)-10,10-диметил-10,11-дигидро-8H-пирано[3″,4″:5′,6′]пиридо[3′,2′:4,5]тиено[2,3-е][1,2,4]триазоло[1,5-с]пиримидин (6). a. Смесь 3.7 г (0.01 моль) соединения 2 и 70 мл муравьиной кислоты кипятили в течение 5 ч, затем избыток растворителя отгоняли и остаток нейтрализовали водным раствором гидроксида калия. Образовавшиеся кристаллы отфильтровывали, промывали водой и перекристаллизовывали из смеси хлороформ–этанол (2:1). Выход 2.9 г (78%), т. пл. 270–271°C, Rf 0.52 (пиридин–бутанол, 1:2). ИК спектр, ν, см⁻¹: 1580 (C=CAr), 1618 (C=N). Спектр ЯМР ¹H (ДМСО-d₆–CCl₄, 1:3), δ, м. д.: 1.35 с [6H, C(CH₃)₂], 3.05 с (2H, 11-CH₂), 4.79 с (2H, 8-CH₂), 6.69 д. д (1H, CH⁴фурил, J 3.3, 1.8 Гц), 6.82 уш. д (1H, CH³фурил, J 3.3 Гц), 7.76 уш. д (1H, CH⁵фурил, J 1.8 Гц), 8.54 с (1H, 2- CH), 9.47 с (1H, 5-CH). Спектр ЯМР ¹³C (ДМСО-d₆–CCl₄, 1:3), δC, м. д.: 26.1 [C(CH₃)₂], 43.1 (11-CH₂), 60.4 (8-CH₂), 70.4 [C(CH₃)₂], 110.9 (CH⁴фурил), 112.9 (CH³фурил), 118.9, 122.9, 126.3, 131.7, 137.5 (CH), 143.1 (CH⁵фурил), 143.3 (CH), 144.7, 147.4, 154.7 (CH), 155.3, 159.6. Найдено, %: С 60.52; H 4.12; N 18.49; S 8.58. C19H15N5O2S. Вычислено, %: С 60.46; H 4.01; N 18.56; S 8.50.
б. Смесь 3.8 г (0.01моль) соединения 5 и 10 мл муравьиной кислоты нагревали при 50–60°C в течение 2 ч. После охлаждения реакционную смесь нейтрализовали водным раствором гидроксида калия, выпавшие кристаллы отфильтровывали, промывали водой и перекристаллизовывали из смеси хлороформ–этанол (2:1). Выход 1.8 г (49%).
4-(3,5-Диметил-1H-пиразол-1-ил)-11-(2-фурил)-8,8-диметил-7,10-дигидро-8H-пирано[3″,4″:5′,6′]пиридо[3′,2′:4,5]тиено[3,2-d]пиримидин (7). Смесь 3.7 г (0.01 моль) соединения 2, 1.5 г (0.015 моль) aцетилацетона в 15 мл абсолютного этанола кипятили в течение 10 ч. После охлаждения выпавшие кристаллы отфильтровывали, промывали водой, диэтиловым эфиром и перекристаллизовывали из смеси хлороформ–этанол (2:1). Выход 2.8 г (65%), т. пл. 234–235°C, Rf 0.53 (пиридин–бутанол, 2:1). ИК спектр, ν, см⁻¹: 1581 (C=CAr), 1600 (C=N). Спектр ЯМР ¹H (ДМСО-d₆–CCl₄, 1:3), δ, м. д.: 1.35 с [6H, C(CH₃)₂], 2.37 с (3H, CH₃), 2.81 уш. (2H, 7- CH₂), 4.76 уш. (2H, 10-CH₂), 6.12 уш. (1H, CH), 6.65 д. д (1H, CH⁴фурил, J 3.4, 1.8 Гц), 6.83 д (1H, CH³фурил, J 3.4 Гц), 7.70 д (1H, CH⁵фурил, J 1.8 Гц), 8.76 с (1H, 2-CH). Спектр ЯМР ¹³C (ДМСО-d₆–CCl₄, 1:3), δC, м. д.: 13.2 (CH₃), 15.1 (CH₃), 26.2 [C(CH₃)₂], 43.4 (7-CH₂), 60.4 (10-CH₂), 70.3 [C(CH₃)₂], 110.4 (CH), 110.5 (CH), 110.7 (CH), 113.0 (CH), 118.2, 121.6, 125.4, 132.2, 142.4, 142.7 (CH), 145.2, 151.8, 152.9, 156.8, 157.1, 164.0. Найдено, %: С 64.10; H 4.88; N 16.31; S 7.45. C23H21N5O2S. Вычислено, %: С 64.02; H 4.91; N 16.23; S 7.43.
КОНФЛИКТ ИНТЕРЕСОВ
Авторы заявляют об отсутствии конфликта интересов.
About the authors
V. V. Dabaeva
Scientific and Technological Center of Organic and Pharmaceutical Chemistry, National Academy of Science of the Republic of Armenia
Author for correspondence.
Email: valyadabayeva@mail.ru
ORCID iD: 0000-0003-2980-2552
Russian Federation, Yerevan, 0014 Armenia
E. G. Paronikyan
Scientific and Technological Center of Organic and Pharmaceutical Chemistry, National Academy of Science of the Republic of Armenia
Email: valya.dabayeva@mail.ru
ORCID iD: 0000-0002-6048-3599
Russian Federation, Yerevan, 0014 Armenia
I. M. Barkhudaryants
Scientific and Technological Center of Organic and Pharmaceutical Chemistry, National Academy of Science of the Republic of Armenia
Email: valya.dabayeva@mail.ru
ORCID iD: 0000-0002-4620-6034
Russian Federation, Yerevan, 0014 Armenia
Sh. Sh. Dashyan
Scientific and Technological Center of Organic and Pharmaceutical Chemistry, National Academy of Science of the Republic of Armenia
Email: valya.dabayeva@mail.ru
ORCID iD: 0000-0002-6365-3725
Russian Federation, Yerevan, 0014 Armenia
M. R. Baghdasaryana
Scientific and Technological Center of Organic and Pharmaceutical Chemistry, National Academy of Science of the Republic of Armenia
Email: valya.dabayeva@mail.ru
ORCID iD: 0000-0001-7092-0556
Russian Federation, Yerevan, 0014 Armenia
References
- Devi M., Jaiswal S., Jain S., Kaur N., Dwivedi J. // Curr. Org. Synth. 2021.Vol. 18. N 8. P. 790. doi 10.2174/ 1570179418666210706152515
- Chiacchio M.A., Iannazzo D., Romeo R., Giofrè S.V., Legnani L. // Curr. Med. Chem. 2019. Vol. 26. N 40. P. 7166. doi: 10.2174/0929867325666180904125400
- Zarenezhad E., Farjam M., Iraji A. // J. Mol. Struct. 2021. Vol. 1230. P. 129833. doi: 10.1016/j.molstruc.2020.129833
- Tylińska B., Wiatrak B., Czyżnikowska Ż., Cieśla-Niechwiadowicz A., Gębarowska E., Janicka-Kłos A. // Int. J. Mol. Sci. 2021. Vol. 22. N 8. P. 3825. doi: 10.3390/ijms22083825
- Farghaly A.M., Aboul Wafa O.M., Baghdadi H.H., Abd El Razik H.A., Sedra S.M., Shamaa M.M. // Bioorg. Chem. 2021. Vol. 115. P. 105208. doi 10.1016/ j.bioorg.2021.105208
- Hu H., Dong Y., Li M., Wang R., Zhang X., Gong P., Zhao Y. // Bioorg. Chem. 2019. Vol. 90. P. 103086. doi: 10.1016/j.bioorg.2019.103086
- Wang R., Yu S., Zhao X., Chen Y., Yang B., Wu T., Hao C., Zhao D., Cheng M. // Eur. J. Med. Chem. 2020. Vol. 188. P. 112024. doi: 10.1016/j.ejmech.2019.112024
- Dashyan Sh.Sh., Babaev E.V., Paronikyan E.G., Ayvazyan A.G., Paronikyan R.G., Hunanyan L.S. // Molecules. 2022. Vol. 27. N 11. P. 3380. doi: 10.3390/molecules27113380
- Monier M., El-Mekabaty A., Abdel-Latif D., Mert B.D., Elattar K.M. // Steroids. 2020. Vol. 154. P. 108548. doi: 10.1016/j.steroids.2019.108548
- Pérez-Gómez C.O., Vazquez-Chavez J., Yepéz R., García-Merinos J.P., Ramírez-Díaz M.I., del Río R.E., Santillan R., López, Y. // J. Mol. Struct. 2022. Vol. 1255. P. 132386. doi: 10.1016/j.molstruc.2022.132386
- Дабаева В.В., Багдасарян М.Р., Пароникян Р.Г., Назарян И.М., Акобян А.Г., Унанян Л.С., Пароникян Е.Г., Дашян Ш.Ш. // Биоорг. хим. 2022. Т. 48. № 1. С. 87; Dabaeva V.V., Baghdasaryan M.R., Paronikyan R.G., Nazaryan I.M., Hakobyan H.G., Hunanyan L.S., Paronikyan E.G., Dashyan Sh.Sh. // Russ. J. Bioorg. Chem. 2022. Vol. 48. N 1. P. 125. doi: 10.1134/S1068162022010034
- Дабаева В.В., Багдасарян М.Р., Пароникян Е.Г., Дашян Ш.Ш., Пароникян Р.Г., Назарян И.М., Акобян А.Г. // Хим.-фарм. ж. 2020. Т. 54. № 7. С. 27; Dabaeva V.V., Bagdasaryan M.R., Paronikyan E.G., Dashyan Sh.Sh., Paronikyan R.G., Nazaryan I.M., Hakobyan A.G. // Pharm. Chem. J. 2020. Vol. 54. N 7. P. 707. doi: 10.30906/0023-1134-2020-54-7-27-32
- Дабаева В.В., Багдасарян М.Р., Дашян Ш.Ш., Джагацпанян И.А., Назарян И.М., Акобян А.Г. Пароникян Р.Г. // Хим.-фарм. ж. 2018. Т. 52. № 10. С. 28.; Dabaeva V.V., Bagdasaryan M.R., Dashyan Sh.Sh., Dzhagatspanyan I.A., Nazaryan I.M., Akopyan A.G., Paronikyan R.G. // Pharm. Chem. J. 2018. Vol. 52. N 10. P. 844. doi: 10.1007/s11094-019-1912-z
- Дабаева В.В., Багдасарян М.Р., Бархударянц И.М., Пароникян Е.Г., Дашян Ш.Ш. // ЖОХ. 2023. Т. 93. Вып. 9. С. 1351; Dabaeva V.V., Baghdasaryan M.R., Barkhudaryants I.M., Paronikyan E.G., Dashyan Sh.Sh. // Russ. J. Gen. Chem. 2023. Vol. 93. N 9. P. 2224. doi: 10.1134/S1070363223090050
- Ионин Б.И., Ершов Б.А. ЯМР спектроскопия в органической химии / Под ред. Э.Т. Липпмаа. Л.: Химия, 1967. 69 с.




