Реакции электронного переноса при взаимодействии 12Н-хиноксалино[2,3-b]феноксазинов с π-акцепторами
- Авторы: Ивахненко Е.П.1, Князев П.А.1, Макарова Н.И.1, Демидов О.П.2, Стариков А.Г.1, Минкин В.И.1
-
Учреждения:
- Научно-исследовательский институт физической и органической химии, Южный федеральный университет
- Северо-Кавказский федеральный университет
- Выпуск: Том 94, № 2 (2024)
- Страницы: 216-224
- Раздел: Статьи
- URL: https://journals.rcsi.science/0044-460X/article/view/260325
- DOI: https://doi.org/10.31857/S0044460X24020072
- EDN: https://elibrary.ru/GVAIUD
- ID: 260325
Цитировать
Полный текст
Аннотация
На примерах взаимодействия 2,4-ди-(трет-бутил)-12-(4-метоксифенил)-10-метокси-12Н-хиноксалино[2,3-b]феноксазина с π-электронными акцепторами [тетрацианохинодиметаном и 3,6-ди-(трет-бутил)-о-хиноном] показано, что производные этой N,O-пентагетероциклической системы являются эффективными электронодонорами, в мягких условиях реализующими реакции электронного переноса с образованием устойчивых катион- и анион-радикальных структур.
Полный текст
ВВЕДЕНИЕ
Полициклические N,О-гетеропентаценовые структуры, проявляющие свойства полевых органических транзисторов n-типа [1], эффективных люминофоров [2] и красителей-сенсибилизаторов-важнейших компонентов всех типов солнечных ячеек [3, 4] привлекли к себе значительное внимание исследователей. Ранее нами был разработан удобный метод синтеза и изучены оптоэлектронные и электрохимические свойства производных 14Н- и 12Н-хиноксалино[2,3-b]феноксазиновых (QOPO) систем, на основе которых были получены солнечные ячейки типа BHJ c объемным гетеропереходом с КПД (Power Conversion Efficiency) 2.43% [5]. При совершенствовании составов и конструкций органических солнечных ячеек, направленных на увеличение их КПД, достигших уже 18% [6], недавно было обращено внимание также на использование комплексов переноса заряда, образуемых красителями-сенсибилизаторами с π-акцепторами [7, 8]. При поглощении квантов солнечного света эти комплексы претерпевают реакцию электронного переноса и образуют стабильные (D+/A–)-структуры, необходимые для генерации тока и возникающие в стандартных ячейках, исходя из первичных возбужденных состояний – экситонов (DA)* [9]. В настоящей работе поставлена задача изучить взаимодействие одного из ранее синтезированных нами QOPO, 2,4-ди-(трет-бутил)-10-метокси-12-(4-метоксифенил)-12Н-хиноксалино[2,3-b]феноксазина 1, с сильными π-электроноакцепторами – тетрацианохинодиметаном (TCNQ) и 3,6-ди-(трет-бутил)-о-хиноном.
РЕЗУЛЬТАТЫ И ОБСУЖДЕНИЕ
Реакция 2,4-ди-(трет-бутил)-10-метокси-12-(4-метоксифенил)-12Н-хиноксалино[2,3-b]феноксазина 1 с тетрацианхинодиметаном протекает гладко в растворе хлороформа в аэробных условиях при комнатной температуре при добавлении каталитических количеств концентрированной соляной кислоты и ведет к получению солеобразного комплекса переноса заряда (КПЗ) типа D+/A•– 2 (схема 1). В КПЗ 1•+/TCNQ•–, образующемся на первой стадии реакции, исходный донорный лиганд QOPO находится в форме катион-радикала, который при осуществлении реакции в присутствии кислорода воздуха быстро окисляется до катиона в составе комплекса 2.
Схема 1.
Анион-радикальная структура продукта реакции подтверждается данными спектров ЭПР комплекса 2 в растворе хлороформа (рис. 1), фиксирующих СТС спектра, образованную в результате взаимодействия неспаренного электрона с четырьмя эквивалентными атомами азота (I = 1) и четырьмя эквивалентными атомами водорода (I = 1/2). что свидетельствует о существовании TCNQ в комплексе в виде анион-радикала [10].
Рис. 1. Экспериментальный (1) и теоретический (2) спектры ЭПР анион-радикала TCNQ в комплексе 2 (CHCl3, g = 2.000, a4N = 1.05 Гс, a4H = 1.46 Гс).
Строение ионного комплекса 2 подтверждено с помощью рентгеноструктурного анализа (рис. 2, табл. 1, 2). Образование комплекса сопровождается протонированием его донорного компонента, сохраняющего характерную для исходного хиноксалинофеноксазина [5] практически плоскую структуру. Наблюдается незначительное (на 4.46°) отклонение плоскости бензольного кольца с трет-бутильными заместителями от общей плоскости молекулы. Анион TCNQ, выступающий в качестве противоиона, располагается параллельно феноксазиновому циклу за счет π-стекинг-взаимодействия на межплоскостном расстоянии 3.45 Å. Упаковка в кристалле происходит за счет попарного плоскопараллельного расположения ионных пар по принципу катион–анион–анион–катион (рис. 2б). Подобные стопки анионов характерны для многих изученных кристаллических ион-радикальных солей TCNQ [11].
Рис. 2. Молекулярное строение комплекса 2 (а) и упаковка в кристалле (б).
Таблица 1. Основные кристаллографические параметры комплекса 2.
Параметр | 2 |
Брутто-формула | C34H36N3O3, C12H4N4 |
Молекулярная масса | 738.85 |
Т, K | 100.01(11) |
Кристаллическая система | Триклинная |
Пространственная группа | Р-1 |
Z | 4 |
a, Å | 15.5032(3) |
b, Å | 15.6528(3) |
c, Å | 19.1975(3) |
α, град | 70.173(2) |
β, град | 73.352(2) |
γ, град | 73.249(2) |
V, Å3 | 4103.37(15) |
dвыч, г/см3 | 1.196 |
μ, мм–1 | 0.613 |
F(000) | 1556 |
2θmax, град | 75.6680 |
Число измеренных отражений | 87957 |
Число независимых отражений | 17097 |
Число отражений с I > 2σ(I) | 15302 |
Количество уточняемых параметров | 1025 |
R1 | 0.0411 |
wR2 | 0.1101 |
GOF | 1.022 |
Остаточная электронная плотность (ρmin/ρmax), e/Å3 | –0.276/0.395 |
Таблица 2. Длины связей и валентные углы в комплексе 2.
Длина связи, Å | |||
O1–C6 | 1.3624(13) | N3–C17 | 1.3356(14) |
O1–C5 | 1.3913(13) | N3–C18 | 1.3941(14) |
N1–C9 | 1.3580(15) | N3–H3 | 0.8800 |
N1–C8 | 1.3210(14) | N13A–C9A | 1.148(3) |
N2–C14 | 1.3915(14) | N14A–C8A | 1.161(3) |
N2–C15 | 1.3708(14) | N15A–C12A | 1.154(2) |
N2–C28 | 1.4533(14) | N16A–C11A | 1.1477(17) |
Валентный угол, град | |||
C6O1C5 | 120.00(9) | C15N2C28 | 120.87(9) |
C8N1C9 | 118.38(10) | C17N3C18 | 122.54(10) |
C14N2C28 | 118.12(9) | C17N3H3 | 118.7 |
C15N2C14 | 121.00(9) | C18N3H3 | 118.7 |
При проведении реакции (схема 1) в кислой среде протонирование исходного QOPO 1 может происходить по донорным атомам азота как оксазинового, так и пиразинового циклов, приводя к изомерным структурам N14-H и N7-H соответственно. Согласно данным DFT B3LYP/6-311G++(d,p) расчетов (рис. 3) альтернативная форма N7-H значительно дестабилизирована относительно формы N14-H и, следовательно, протонирование QOPO 1 должно преимущественно осуществляться по атому азота его оксазинового цикла с сохранением исходной 12Н-хиноксалино[2,3-b]феноксазиновой изомерной формы лиганда. Сопоставление вычисленных длин связей в гетероциклах с данными РСА (рис. 1) показывает, что отклонения рассчитанных длин связей C–N в структуре N14-H от экспериментальных почти не превышает 0.01 Å, в то же время в структуре N7-H разница доходит до 0.04 Å.
Рис. 3. Геометрические характеристики изомеров N14-H и N7-H, вычисленные методом DFT [B3LYP/6-311G++(d,p)]. Длины связей даны в Å, атомы водорода, за исключением определяющего место протонирования, не показаны. Красным шрифтом показаны данные РСА.
Реакция комплексообразования соединения 1 с TCNQ изучена также в растворе ацетонитрила методом спектрофотометрии путем измерения светопоглощения изомолярных растворов. Рис. 4 показывает снижение интенсивности полосы поглощения QOPO 1 при 539 нм [5] и появление характеристичной для TCNQ полосы при 394 нм. Две структурированные малоинтенсивные полосы поглощения в области от 700 до 900 нм с максимумами при 743 и 843 нм соответственно, которые отсутствуют в спектрах растворах соединения 1 и TCNQ, принадлежат анион-радикалу TCNQ [11, 12].
Рис. 4. Эволюция электронных спектров поглощения в зависимости от мольной доли TCNQ в растворе соединения QOPO 1 (ацетонитрил, с = 4·10–5 M, l = 1 см, T = 293 K).
С целью дальнейшего исследования высокой подвижности электронной системы соединений хиноксалино[2,3-b]феноксазинового ряда нами также изучены реакции окисления 2,4-ди-(трет-бутил)-10-метокси-12-(4-метоксифенил)-12H-хиноксалино[2,3-b]феноксазина 1 другим сильным π-акцептором – 3,6-ди-(трет-бутил)-о-хиноном, а также двуокисью свинца. Одноэлектронное окисление протонированной формы 1 двуокисью свинца в среде ледяной уксусной кислоты приводит к образованию его стабильного катион-радикала 3 (схема 2). Спектр ЭПР катион-радикала представлен на рис. 5.
Схема 2.
Рис. 5. Экспериментальный (1) и теоретический (2) спектры ЭПР катион-радикала QOPO 3 (CH3COOH, PbO2, g = 2.000, aN = 7.15 Гс, aH = 3.44 Гс).
Спектр ЭПР катион-радикала, СТС которого образована за счет взаимодействия неспаренного электрона с атомом азота (I = 1) и атомом водорода (I = 1/2), представлен на рис. 5.
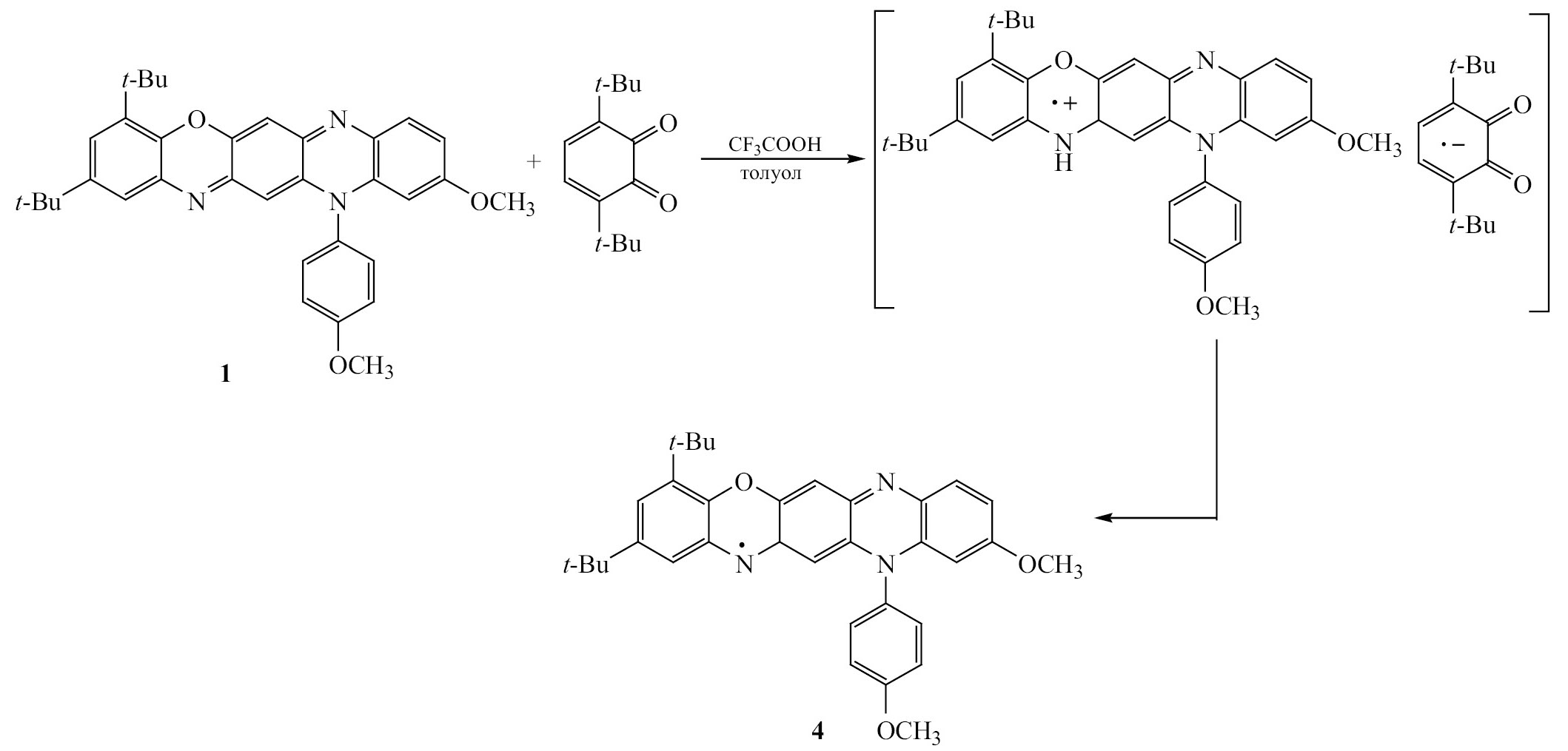
Реакция 1 с 3,6-ди-(трет-бутил)-о-хиноном в растворе толуола, содержащем следовые количества трифторуксусной кислоты, приводит к образованию стабильного радикала 4 (схема 3), который, по-видимому, возникает в результате депротонирования катион-радикала 3, возникающего на первой стадии одноэлектронного окисления. Спектр ЭПР соединения 4 представлен на рис. 6.
Схема 3.
Рис. 6. Экспериментальный (1) и расчетный (2) спектры ЭПР радикала 4 (CF3COOH, толуол, g = 2.002, aN = 7.59 Гс, aH = 4.64 Гс, aH = 3.79 Гс, a2H = 3.54 Гс, aH = 1.52 Гс).
ВЫВОДЫ
Таким образом, реакции 2,4-ди-(трет-бутил)-12-(4-метоксифенил)-10-метокси-12Н-хиноксалино[2,3-b]феноксазина с тетрацианохинодиметаном и 3,6-ди-(трет-бутил)-о-хиноном в качестве π-электронных акцепторов в мягких условиях приводят к образованию устойчивых катион- и анион-радикальных структур.
ЭКСПЕРИМЕНТАЛЬНАЯ ЧАСТЬ
Все использованные реагенты и растворители являются коммерчески доступными (Aldrich) и применялись без дополнительной очистки.
ИК спектры зарегистрированы на спектрометре Varian Excalibur 3100 FTIR. Элементный анализ выполняли на анализаторе Elementar Vario El cube. Рентгеноструктурные данные соединения 2 получены на автоматизированном дифрактометре (Agilent SuperNova) с использованием стандартной процедуры. Структура расшифрована прямым методом и уточнена МНК в анизотропном полноматричном приближении для неводородных атомов. Координаты атомов и другие параметры структуры 2 депонированы в Кембриджском банке структурных данных (CCDC 2305536). DFT расчеты проведены при помощи программы Gaussian 16 с функционалом B3LYP [13] и базисом 6-311++G(d,p).
π-Комплекс 2,4-ди-трет-бутил-10-метокси-12-(4-метоксифенил)-13a,14-дигидро-12Н-хиноксалино[2,3-b]феноксазина с тетрацианохинодиметаном 2. К раствору 54 мг (0.1 ммоль) 2,4-(ди-трет-бутил)-10-метокси-12-(4-метоксифенил)-12H-хиноксалино[2,3-b]феноксазина 1 в 30 мл хлороформа прибавляли 20 мг (0.1 ммоль) тетрацианохинодиметана. Полученную смесь кипятили в течение 2 ч, затем охлаждали и оставляли на ночь при комнатной температуре. Отфильтровывали темно-синий осадок в виде мелких игольчатых кристаллов и сушили. Выход 61 мг (82%). ИК спектр, ν, см–1: 2955 ср (CH3), 2870 ср (CH3), 2557 ш (NH+), 2223 ср (CN), 2179 ср (CN), 1609 ср (C=Nцикл). Найдено, %: C 74.71; H 5.41; N 13.25. С46H40N3O7. Вычислено, %: C 74.78; H 5.46; N 13.27.
ФИНАНСОВАЯ ПОДДЕРЖКА
Исследование выполнено за счет гранта Российского научного фонда (№ 19-13-00022, https://rscf.ru/project/19-13-00022/).
КОНФЛИКТ ИНТЕРЕСОВ
Авторы заявляют об отсутствии конфликта интересов.
Об авторах
Евгений Петрович Ивахненко
Научно-исследовательский институт физической и органической химии, Южный федеральный университет
Автор, ответственный за переписку.
Email: ivakhnenko@sfedu.ru
ORCID iD: 0000-0003-0338-6466
Россия, Ростов-на-Дону, 344091
Павел Анатольевич Князев
Научно-исследовательский институт физической и органической химии, Южный федеральный университет
Email: ivakhnenko@sfedu.ru
ORCID iD: 0000-0001-6627-8329
Россия, Ростов-на-Дону, 344091
Надежда Ивановна Макарова
Научно-исследовательский институт физической и органической химии, Южный федеральный университет
Email: ivakhnenko@sfedu.ru
ORCID iD: 0000-0002-7196-9842
Россия, Ростов-на-Дону, 344091
Олег Петрович Демидов
Северо-Кавказский федеральный университет
Email: ivakhnenko@sfedu.ru
ORCID iD: 0000-0002-3586-0487
Россия, Ставрополь, 355017
Андрей Георгиевич Стариков
Научно-исследовательский институт физической и органической химии, Южный федеральный университет
Email: ivakhnenko@sfedu.ru
ORCID iD: 0000-0002-5613-6308
Россия, Ростов-на-Дону, 344091
Владимир Исаакович Минкин
Научно-исследовательский институт физической и органической химии, Южный федеральный университет
Email: ivakhnenko@sfedu.ru
ORCID iD: 0000-0001-6096-503X
Россия, Ростов-на-Дону, 344091
Список литературы
- Gruntz G., Lee H., Hirsch L., Castet F., Toupance T., Briseno A., Nicolas Y. // Adv. Electron. Mater. 2015. Article no. 1500072. doi: 10.1002/aelm.201500072
- Tanaka T., Ashida T., Matsumoto S. // Chem. Lett. 2011. Vol. 40. P. 573. doi: 10.1246/cl.2011.573
- Sharma K., Sharma V., Sharma S.S. // Nanoscale Res. Lett. 2018. Vol. 13. P. 381. doi: 10.1186/s11671-018-2760-6
- Wadsworth A., Moser M., Marks A., Little M.S., Gasparini N., Brabec C.J., Baran D., McCulloch I. // Chem. Soc. Rev. 2019. Vol. 48. P. 1596. doi: 10.1039/c7cs00892a
- Ivakhnenko E.P., Knyazev P.A., Omelichkin N.I., Makarova N.I., Starikov A.G., Aleksandrov A.E., Ezhov A.V., Tameev A.R., Demidov O.P., Minkin V.I. // Dyes Pigm. 2022. Vol. 197. P. 109848. doi 10.1016/ j.dyepig.2021.109848
- Mishra A. // Energy Environ. Sci. 2020. Vol. 13. P. 4738. doi: 10.1039/d0ee02461a
- Fu G., Wang T., Cai J., Shi J., Luo Z., Li G., Li X., Zhang Z., Yang S. // Org. Electronics. 2015. Vol. 18. P. 70. doi: 10.1016/j.orgel.2015.01.011
- Chen X.-K., Coropceanu V., Bredas J.-L. // Nature Commun. 2018. Vol. 9. P. 5295. doi: 10.1038/s41467-018-07707-8
- Hustings J., Bonné R., Cornelissen R., Morini F., Valcke R., Vandewal K., Manca J. // Front. Photon., Sec. Photovoltaic Materials and Devices. 2022. Vol. 3. doi: 10.3389/fphot.2022.1050189
- Haran N., Luz Z., Shporer M. // J. Am. Chem. Soc. 1974. Vol. 96. P. 4788. doi: 10.1021/ja00822a012
- Беспалов Б.П., Титов В.В. // Усп. xим. 1975. Т. 54. С. 2249.
- Melby L.R., Harder R.J., Hertler W.R., Mahler W., Benson R.E., Mochel W.E. // J. Am. Chem. Soc. 1962. Vol. 84. P. 3374. doi: 10.1021/ja00876a029
- Becke A.D. // J. Chem. Phys. 1993. Vol. 98. P. 5648. doi: 10.1063/1.464913
Дополнительные файлы












