Transformation of 2,2-Di(3-nitro-4-chlorophenyl)-1,1,1-trichloroethane in the Alkali–Amide Solvent Medium
- Authors: Guzov E.A.1, Kuzhin M.B.1, Baranova M.P.1, Kazin V.N.1
 - 
							Affiliations: 
							
- P. G. Demidov Yaroslavl State University
 
 - Issue: Vol 94, No 2 (2024)
 - Pages: 185-193
 - Section: Articles
 - URL: https://journals.rcsi.science/0044-460X/article/view/260282
 - ID: 260282
 
Cite item
Full Text
Abstract
A quantum chemical analysis of the transformation pathways of 2,2-di(3-nitro-4-chlorophenyl)-1,1,1-trichloroethane in NaOH–DMF, involving competing reagents, was performed. For each reaction, spatial structures were modeled and the energy parameters of the pre-reaction, activated and post-reaction complexes were calculated. As a result of the analysis of the thermodynamic parameters of the reactions, the most energetically favorable scheme for the transformation of 2,2-di(3-nitro-4-chlorophenyl)-1,1,1-trichloroethane into 2,2-di(3-nitro-4-N,N-dimethylaminophenyl)-1,1-dichloroethene was proposed. The mechanisms of the occurring reactions were established.
Full Text
ВВЕДЕНИЕ
Амидные апротонные растворители являются важнейшими компонентами в современном органическом синтезе, металлоорганической химии и катализе, химической и фармацевтической промышленности. Состав жидкой фазы может изменять растворимость различных компонентов в реакционной смеси, скорости отдельных стадий реакции, оказывая существенное влияние на кинетику и термодинамику процессов, влияя на конверсию и селективность продукта. В последнее десятилетие внимание ученых обращено на объяснение закономерностей участия амидных растворителей в химических процессах, в том числе и в качестве самостоятельных реагентов, что открывает новые способы синтеза или существенно упрощает уже существующие [1–4].
N,N-Диметилформамид (ДМФА) и N,N-диметилацетамид (ДМАА), применяемые в многообразии химических процессов, не являются абсолютно инертными растворителями и могут взаимодействовать с различными нуклеофильными реагентами. Практическим аспектом изучения процесса щелочного гидролиза амидных растворителей является применение его для введения диметиламиногруппы в молекулы различных субстратов. Образующиеся продукты при щелочном гидролизе амидных растворителей, прежде всего промежуточный анион и диметиламин могут выступать в качестве реагентов в конкурирующих процессах, протекающих наряду с основной реакцией [5–9].
Известно, что хуже всего в реакцию вступают ароматические субстраты, содержащие неактивированный атом галогена, для замещения которого на диметиламиногруппу необходимо присутствие катализатора (соли переходных металлов). Реакция облегчается, с одной стороны, наличием активирующей группы в молекуле субстрата (например, нитрогруппы), с другой – введением в реакцию соединений, катализирующих гидролиз растворителя (щелочи и другие основания, соли переходных металлов).
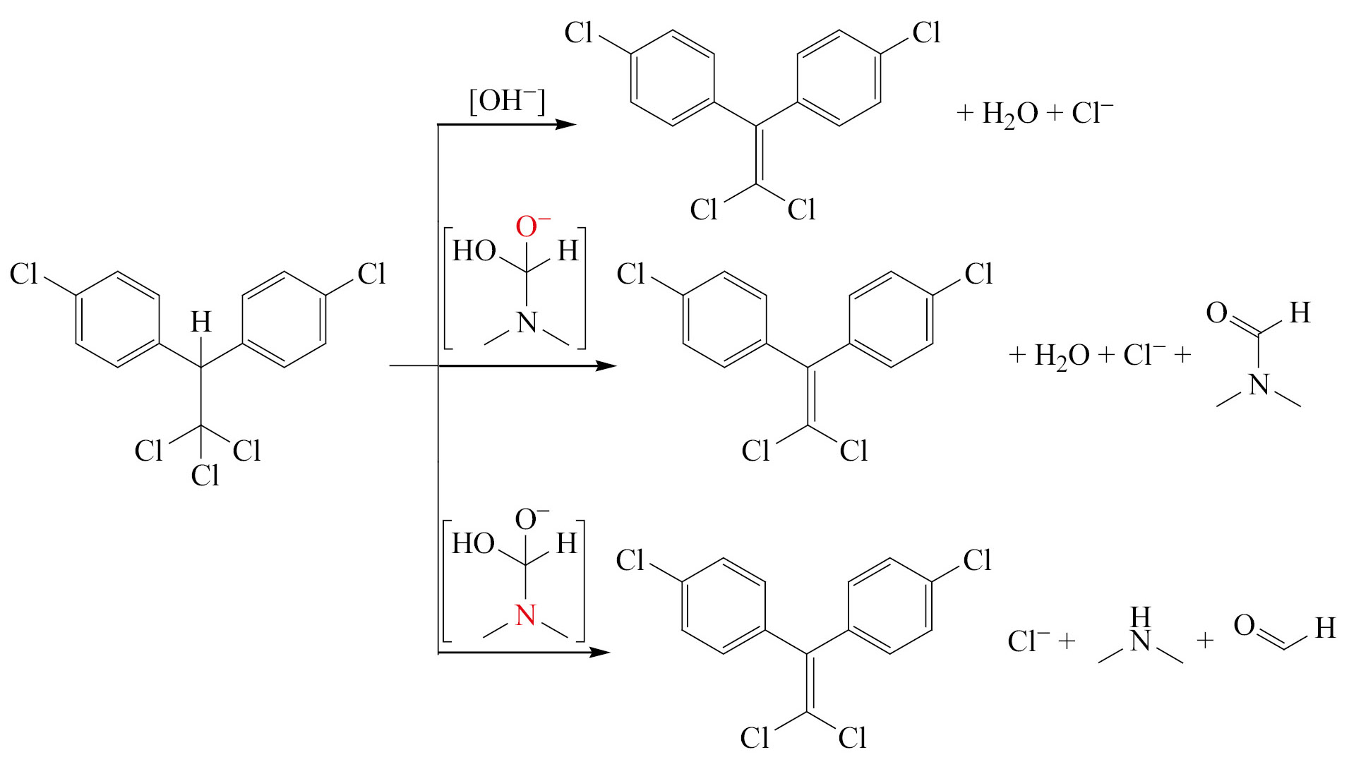
Авторами работ [10–13] изучены закономерности превращения нитрозамещенных 2,2-бис(4-хлорфенил)-1,1,1-трихлорэтанов и 4,4′-дихлорбензофенонов в системе NaOH–ДМФА. Диметиламин или промежуточный анион являются нуклеофильными реагентами, конкурирующими наряду с анионом OH– за субстрат. Результат реакций – образование диметиламинозамещенного продукта или смеси его с гидроксизамещенным соединением, соотношение которых зависит от температуры реакции. С повышением температуры доля диметиламинозамещенного продукта в смеси возрастает, что можно объяснить увеличением скорости гидролиза ДМФА и, соответственно, концентрации диметиламинного нуклеофила.
В работе [14] проведено моделирование щелочного гидролиза N,N-диметилформамида, который протекает в две стадии (схема 1). Гидроксид-анион, образующийся при диссоциации гидроксида натрия в ДМФА, участвует в реакции щелочного гидролиза растворителя с образованием карбаниона N,N-диметиламинометандиола (ΔН = –43.9 кДж/моль), который протекает безбарьерно. Установлено, что энтальпия активации последующего разложения интермедиата составляет 99.77 кДж/моль, что свидетельствует о стабильности карбаниона, т. е. возможности накапливаться в реакционной среде и выступать в качестве реагента (ΔН = –105.02 кДж/моль).
Схема 1.
На схеме 2 приведена схема реакции дегидрохлорирования 2,2-ди(4-хлорфенил)-1,1,1-трихлорэтана с участием конкурирующих реагентов. Результаты квантово-химического анализа термодинамических параметров реакции дегидрохлорирования 2,2-ди(4-хлорфенил)-1,1,1-трихлорэтана в среде NaOH–ДМФА [14], протекающей с участием конкурирующих реагентов в данной системе – гидроксид-аниона и карбаниона N,N-диметиламинометандиола, представлены в табл. 1.
Схема 2.
Tаблица 1. Значения энтальпии активации и теплового эффекта реакции дегидрохлорирования 2,2-ди(4-хлорфенил)-1,1,1-трихлорэтана в среде NaOH‒ДМФА.
Реагент  | ΔН≠, кДж/моль  | ΔН, кДж/моль  | 
Гидроксид-анион  | 7.87  | –194.2  | 
Карбанион N,N-диметиламинометандиола (О-атака)  | 18.37  | –173.28  | 
Карбанион N,N-диметиламинометандиола (N-атака)  | 60.65  | –113.42  | 
Квантово-химический анализ термодинамических параметров показал, что энтальпия активации для реакции дегидрохлорирования 2,2-ди(4-хлорфенил)-1,1,1-трихлорэтана с участием гидроксид-аниона составляет 7.87 кДж/моль. Однако, учитывая стехиометрическое соотношение в реакции [субстрат:NaOH:ДМФА = 1:(4–8):(30–40)], можно предположить, что щелочь полностью расходуется на образование промежуточного аниона.
Карбанион, полученный в ходе щелочного гидролиза ДМФА, является амбидентным реагентом, т. е. имеет два реакционных центра (О- и N-атаки). На основании значений энтальпии активации (табл. 1), можно заключить, что наиболее энергетически выгодным процессом является О-атака. По результатам квантово-химического исследования установлено, что реакции дегидрохлорирования 2,2-ди-(4-хлорфенил)-1,1,1-трихлорэтана гидроксид-анионом и карбанионом N,N-диметиламинометандиола протекают по механизму бимолекулярного элиминирования (E2).
РЕЗУЛЬТАТЫ И ОБСУЖДЕНИЕ
Объектом исследования данной работы является 2,2-ди(3-нитро-4-хлорфенил)-1,1,1-трихлорэтан, взаимодействие которого с гидроксидами щелочных металлов в среде амидных растворителей (ДМФА, ДМАА) позволяет в одну стадию реализовывать реакцию дегидрохлорирования и нуклеофильное замещение атомов хлора, связанных с углеродами бензольных колец, на N,N-диметиламиногруппы. Реакцию проводят при температуре 40–100°С и мольном соотношении 1,1,1-трихлор-2,2-бис(3-нитро-4-хлорфенил)этан:NaOH (KОН):ДМФА (ДМАА) = 1:(4–10):(20–30). Реализация предложенной схемы синтеза позволяет в течение 1–2.5 ч получать 2,2-ди(3-нитро-4-N,N-диметиламинофенил)-1,1-дихлорэтен с выходом 96–98%.
Однако, проведенные препаративные исследования не дают возможности однозначно определить последовательность протекания реакций. Нуклеофильное замещение атомов хлора на диметиламиногруппы может быть реализовано как для 2,2-ди(3-нитро-4-хлорфенил)-1,1,1-трихлорэтана, так и для продукта реакции дегидрохлорирования - 2,2-ди(3-нитро-4-хлорфенил)-1,1-дихлорэтена.
Метод квантово-химического моделирования позволяет рассчитать термодинамические параметры реакций и определить наиболее энергетически выгодную схему трансформации 2,2-ди(3-нитро-4-хлорфенил)-1,1,1-трихлорэтана в 2,2-ди(3-нитро-4-N,N-диметиламинофенил)-1,1-дихлорэтен.
Цель работы – квантово-химический анализ маршрутов превращения 2,2-бис(3-нитро-4-хлорфенил)-1,1,1-трихлорэтана в среде NaOH–ДМФА и установление механизмов протекающих реакций.
Учитывая результаты исследований, приведенных в работе [15], для установления энергетически выгодного маршрута превращения 2,2-ди(3-нитро-4-хлорфенил)-1,1,1-трихлорэтана в среде NaOH–ДМФА выполнено квантово-химическое моделирование следующих превращений: (1) реакция дегидрохлорирования 2,2-ди(3-нитро-4-хлорфенил)-1,1,1-трихлорэтана (О-атака карбанионом N,N-диметиламинометандиола); (2) нуклеофильное замещение атома хлора в ароматическом кольце на диметиламиновую группу для 2,2-ди(3-нитро-4-хлорфенил)-1,1,1-трихлорэтана и 2,2-ди(3-нитро-4-хлорфенил)-1,1-дихлорэтена (N-атака карбанионом N,N-диметиламинометандиола).
Первоначально смоделированы три возможных конформационных состояния молекулы 2,2-ди(3-нитро-4-хлорфенил)-1,1,1-трихлорэтана (табл. 2). Для каждой конформации выполнены поиск равновесной геометрии и расчет матриц Гесса, в котором отсутствовали мнимые частоты. Отмечено, что конформация 1 является энергетически выгодной и для последующих расчетов выбрана данная пространственная структура.
Таблица 2. Конформации 2,2-ди(3-нитро-4-хлорфенил)-1,1,1-трихлорэтана и полная энергия системы.
Конформация  | |||
1  | 2  | 3  | |
Полная энергия системы, Хартри  | –3248.87875  | –3248.87856  | –3248.87857  | 
Следует отметить, что молекула 2,2-ди(3-нитро-4-хлорфенил)-1,1,1-трихлорэтана находится в антиперипланарной конформации. Для реакции дегидрохлорирования 2,2-ди(3-нитро-4-хлорфенил)-1,1,1-трихлорэтана карбанионом N,N-диметиламинометандиола (О-атака) смоделированы пространственные структуры и рассчитаны энергетические параметры предреакционного, активированного и постреакционного комплексов (рис. 1).
Рис. 1. Энергетические профиль и динамика изменения межатомного расстояния (H6–C1, C2–Cl4) реакции дегидрохлорирования 2,2-ди(3-нитро-4-хлорфенил)-1,1,1-трихлорэтана карбанионом диметиламинометандиола (О-атака). Пространственные структуры предреакционного (1), активированного (2) и постреакционного комплексов (3). Заряд на атомах по Малликену (а. е.) дан курсивом.
Получена структура активированного комплекса с одной мнимой частотой (–646.46 см–1). При формировании активированного комплекса 2 наблюдается увеличение длин связей С2–Cl4 с 1.89 до 1.92 Å и С1–Н6 с 1.18 до 1.31 Å по отношению к предреакционному комплексу. Отмечено увеличение значения отрицательного заряда на атоме Cl4 от –0.022 до –0.127 а.е. за счет перераспределения электронной плотности. Пять атомов переходного состояния О7–Н6–С1–С2–Сl4 располагаются практически в одной плоскости (172°).
В постреакционном комплексе наблюдается сокращение межатомного расстояния С1–С2 с 1.49 до 1.35 Å и образование кратной связи С1=С2). Одновременное увеличение межатомного расстояния С2–Сl4 c 1.92 до 3.19 Å и С1–Н6 с 1.31 до 2.25 Å приводит к отщеплению атома Сl4 в виде хлорид-аниона и разрыву связи С1–Н6, что подтверждает механизм синхронного элиминирования (рис. 1). Отмечено уменьшение расстояния между атомами Н6 и О7 с 1.32 до 1.02 Å, что приводит к образованию N,N-диметиламинометандиола, который в последствии распадается на воду и N,N-диметилформамид. Энтальпия активации составляет 12.16 кДж/моль, а тепловой эффект равен –141.33 кДж/моль (процесс экзотермический).
При анализе результатов квантово-химического моделирования реакции дегидрохлорирования 2,2-ди(3-нитро-4-хлор)-1,1,1-трихлорэтана карбанионом N,N-диметиламинометандиола отмечен ряд закономерностей, характерных для механизма бимолекулярного элиминирования (E2Н): синхронное отщепление атомов хлора и водорода от α- и β-углеродных атомов; одностадийность процесса, которая подтверждается наличием одного максимума на профиле потенциальной энергии; пять атомов переходного состояния расположены практически в одной плоскости.
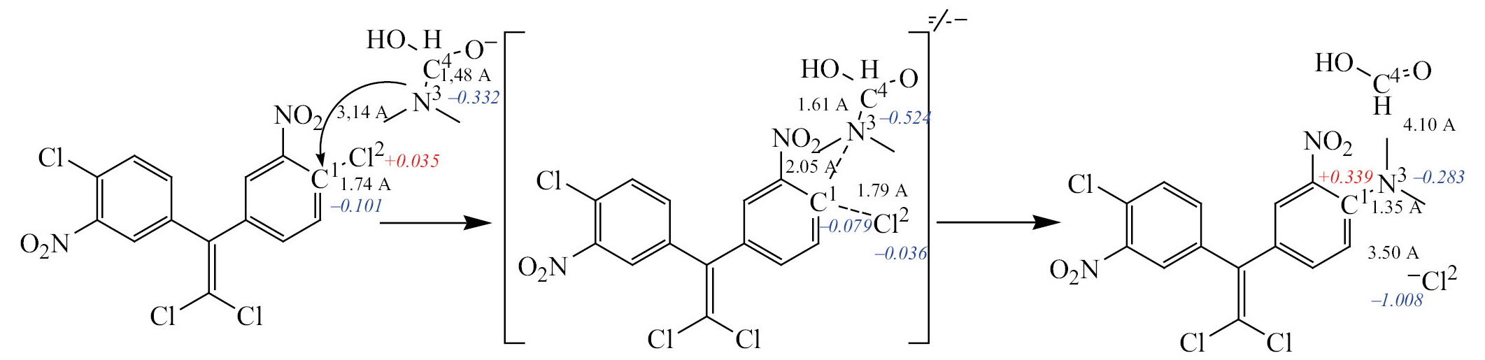
Наличие электроноакцепторных нитрогрупп в структуре 2,2-ди(3-нитро-4-хлор)-1,1,1-трихлорэтана приводит к активации атомов хлора в бензольном кольце. Нами выполнено квантово-химическое моделирование реакции ароматического нуклеофильного замещения атома хлора при взаимодействии 2,2-ди(3-нитро-4-хлорфенил)-1,1,1-трихлорэтана c карбанионом диметиламинометандиола (N-атака, схема 3).
Схема 3.
На рис. 2 показана динамика изменения межатомного расстояния между реакционными центрами С1–N3 и С1–Сl2 по координате реакции на протяжении всего процесса. При уменьшении межатомного расстояния С1–N3 (сближение реагентов с 3.13 до 2.06 Å) образуется активированный комплекс, при этом хлор-нуклеофуг (Cl2) незначительно отдаляется от углеродного атома С1 (расстояние увеличивается с 1.74 до 1.81 Å). Дальнейшее сокращение расстояния между атомами С1 и N3 (спуск в долину продуктов) приводит к образованию постреакционного комплекса: диметиламиногруппа карбаниона присоединяется к ароматическому кольцу (длина связи C1–N3 составляет 1.35 Å), при этом отщепляется хлорид-анион за счет перераспределения электронной плотности (расстояние между С1 и Cl2 составляет 3.42 Å, заряд по методу Малликена –1.007 а. е.). Расстояние между атомами N3 и C4 увеличивается с 1.63 Å до 3.81 Å, при этом образуется муравьиная кислота.
Рис. 2. Энергетические профиль и динамика изменения межатомного расстояния (C1–N3, C1–Cl2) реакции нуклеофильного замещения атома хлора при взаимодействии 2,2-ди(3-нитро-4-хлорфенил)-1,1,1-трихлорэтана c карбанионом N,N- диметиламинометандиола (N-атака). Пространственные структуры предреакционного (1), активированного (2) и постреакционного комплексов (3). Заряд на атомах по Малликену (а. е.) дан курсивом.
Смещение пересечения кривых динамики изменения межатомного расстояния при присоединении нуклеофила и отщеплении нуклеофуга по отношению к положению активированного комплекса может быть объяснено незначительным смещением протекания реакции по механизму SN2 в область смешанного типа (рис. 2).
Энтальпия активации составляет 47.30 кДж/моль, тепловой эффект равен –231.12 кДж/моль (процесс экзотермический).
Результаты квантово-химического моделирования позволяют заключить, что взаимодействие 2,2-ди(3-нитро-4-хлор)-1,1,1-трихлорэтана с системой NaOH–ДМФА (N-атака промежуточным анионом) протекает по механизму бимолекулярного нуклеофильного замещения (SN2 Аr).
При сравнительном анализе значений энтальпии активации для конкурирующих процессов, а именно, взаимодействия 2,2-ди(3-нитро-4-хлор)-1,1,1-трихлорэтана с карбанионом N,N-диметиламинометандиола (–12.16 кДж/моль – дегидрохлорирование по механизму E2Н) и нуклеофильного замещения атома хлора в ароматическом кольце (–47.30 кДж/моль, механизм SN2 Аr) установлено, что энергетически выгодным и первичным процессом является образование 2,2-ди(3-нитро-4-хлор)-1,1-дихлорэтена.
Аналогичным образом выполнены квантово-химические расчеты реакции нуклеофильного замещения атома хлора на N,N-диметиламиногруппу в 2,2-ди(3-нитро-4-хлор)-1,1-дихлорэтене (N-атака карбанионом, схема 4). На схеме 5 представлены пространственные структуры предреакционного (а), активированного (б) и постреакционного комплексов.
Схема 4.
Профиль потенциальной энергии реакции имеет один максимум. Энтальпия активации составляет 55.51 кДж/моль, а тепловой эффект равен –238.23 кДж/моль. Установлено, что реакция нуклеофильного замещения 2,2-ди(3-нитро-4-хлорфенил)-1,1-дихлорэтена в среде NaOH–ДМФА протекает по механизму бимолекулярного нуклеофильного замещения в ароматическом кольце (SN2 Аr).
В табл. 3 приведен сравнительный анализ термодинамических параметров рассматриваемых реакций нуклеофильного ароматического замещения. Обнаружено, что при превращении трихлорэтановой группы в дихлорэтеновую в ходе реакции, значение энтальпии активации увеличилось на 8.21 кДж/моль. Это может быть связано с формированием сопряженной системы в структуре 2,2-ди(3-нитро-4-хлорфенил)-1,1-дихлорэтена.
Таблица 3. Значения энтальпии активации и теплового эффекта для конкурирующих превращений, протекающих при взаимодействии 2,2-ди(3-нитро-4-хлорфенил)-1,1,1-трихлорэтана с карбанионом N,N-диметиламинометандиола.
Реакция  | ΔН≠, кДж/моль  | ΔН, кДж/моль  | 
Дегидрохлорирование 2,2-ди(3-нитро-4-хлорфенил)- 1,1,1-трихлорэтана (О-атака)  | 12.16  | –141.33  | 
Ароматическое нуклеофильное замещение в 2,2-ди(3-нитро-4-хлорфенил)-1,1,1-трихлорэтане (N-атака)  | 47.30  | –231.12  | 
Ароматическое нуклеофильное замещение в 2,2-ди(3-нитро-4-хлорфенил)-1,1-дихлорэтене (N-атака)  | 55.51  | –238.23  | 
Схема 5.
ВЫВОДЫ
Таким образом, в результате проведенных квантово-химических расчетов и анализа полученных термодинамических параметров определена схема превращения 2,2-бис(3-нитро-4-хлорфенил)-1,1,1-трихлорэтана в среде NaOH–ДМФА и установлены механизмы протекающих реакций. Первой стадией является реакция дегидрохлорирования 2,2-бис(3-нитро-4-хлорфенил)-1,1,1-трихлорэтана карбанионом N,N-диметиламинометандиола (О-атака) по механизму синхронного бимолекулярного элиминирования (Е2Н). Далее протекает реакция нуклеофильного замещения хлора в ароматическом кольце на N,N-диметиламиногруппу по механизму бимолекулярного нуклеофильного замещения (SN2 Аr), в результате которой образуется 2,2-ди(4-N,N-диметиламино-3-нитрофенил)-1,1-дихлорэтен.
ЭКСПЕРИМЕНТАЛЬНАЯ ЧАСТЬ
Расчеты проведены в программном обеспечении FireFly 8.2 [15] методом DFT в корреляционно-обменном гибридном потенциале (B3LYP) c базисным набором 6-31G++(d,p), в состав которого входят диффузные орбитали, необходимые для правильного описания переходных состояний с участием анионов. Для учета сольватационых эффектов применялась континуальная сольватационная модель PCM-D [16], в которой использовались такие параметры N,N-диметилформамида как сольватационный радиус и диэлектрическая проницаемость. Визуализация пространственной структуры молекул выполнена в программном пакете Chemcraft [17].
Поиск равновестной структуры молекулы. Расчет выполнен с помощью процедуры Optimize. Отсутствие мнимых частот в расчете матриц Гесса свидетельствовало о том, что полученная структура относится к минимуму на поверхности потенциальной энергии.
Поиск струкутры активированного комплекса. Предварительно сформированная структура каждого активированного комплекса оптимизирована методом Хартри–Фока в минимальном базисном наборе STO процедурой Sadpoint (режим поиска седловой точки) в газофазном приближении. Затем полученная структура уточнялась применением теории функционала плотности (DFT) с корреляционно-обменным гибридным потенциалом (B3LYP) и расширением числа функций базисного набора до 6-31G++(d,p). Корректность полученной структуры активированного комплекса подтверждалась расчетом матриц Гесса, в котором присутствовала только одна мнимая частота.
Поиск структуры предреакционного и постреакционного комплексов. Для получения пространственных структур предреакционного и постреакционного комплексов, значений энтапии активацции, теплового эффекта и энергетического профиля выполнен спуск по внутренней координате реакции с помощью процедуры IRC. При этом использовались ранее полученные стуктуры активированного комплекса и расчет гессиана. Для пространственной структуры финального шага спуска по внутренней координате реакции в долину исходных реагентов и продуктов выполнен расчет гессиана в качестве контроля отсутствия мнимых частот и оценки свойств комплекса.
Динамика изменения межатомного растояния оценивалась на основании результатов спуска по внутренней координате реакции и построения зависимости изменения выбранного параметра на каждый шаг спуска.
ФИНАНСОВАЯ ПОДДЕРЖКА
Работа выполнена пpи поддержке администрации Ярославской области (грант № 4-нп/2023).
About the authors
E. A. Guzov
P. G. Demidov Yaroslavl State University
														Email: kaz@uniyar.ac.ru
				                					                																			                												                	Russian Federation, 							Yaroslavl, 150003						
M. B. Kuzhin
P. G. Demidov Yaroslavl State University
														Email: kaz@uniyar.ac.ru
				                					                																			                												                	Russian Federation, 							Yaroslavl, 150003						
M. P. Baranova
P. G. Demidov Yaroslavl State University
														Email: kaz@uniyar.ac.ru
				                					                																			                												                	Russian Federation, 							Yaroslavl, 150003						
V. N. Kazin
P. G. Demidov Yaroslavl State University
							Author for correspondence.
							Email: kaz@uniyar.ac.ru
				                					                																			                												                	Russian Federation, 							Yaroslavl, 150003						
References
- Varghese J.J., Mushrif S.H. // React. Chem. Eng. 2019. Vol. 4. N 2. P. 165. doi: 10.1039/C8RE00226F.
 - Solvents as reagents in organic synthesis: Reactions and applications / Ed. X.-F. Wu. Wiley-VHC, 2017. Р. 199. doi: 10.1002/9783527805624
 - Muzart J. // Tetrahedron. 2009. Vol. 65. N 40. P. 8313. doi: 10.1016/j.tet.2009.06.091.
 - Ding S., Jiao N. // Angew. Chem. Int. Ed. 2012. Vol. 51. N 37. Р. 9226. doi: 10.1002/anie.201200859
 - Pliego J.R., Jr. // Chem. Phys. 2004. Vol. 306. N 1–3. Р. 273. doi: 10.1016/j.chemphys.2004.07.041
 - Stanovnik B., Svete J. // Chem. Rev. 2004. Vol. 104. N 5. Р. 2433. doi: 10.1021/cr020093y
 - Agarwal A., Chauhan P.M.S. // Synth. Commun. 2004. Vol. 34. N 16. Р. 2925. doi: 10.1081/SCC-200026634
 - Garcia J., Sorrentino J., Diller E.J., Chapman D., Woydziak Z.R. // Synth. Commun. 2016. Vol. 46. N 5. Р. 475. doi: 10.1080/00397911.2016.1147051
 - Ando S., Tsuzaki M., Ishizuka T. // J. Org. Chem. 2020. Vol. 85. N 17. Р. 11181. doi: 10.1021/acs.joc.0c01250
 - Сибриков С.Г., Казин В.Н., Копейкин В.В., Миронов Г.С., Орлова Т.Н. // ЖОрХ. 1991. Т. 27. Вып. 2. С. 382.
 - Казин В.Н., Сибриков С.Г., Кужин М.Б., Казина Е.Г., Митрофанова Г.П., Гробов А.М. Пат. RU 2522570 (2014).
 - Казин В.Н., Сибриков С.Г., Плисс Е.М., Казина Е.Г., Тихонов И.В., Митрофанова Г.П. Пат. RU 2522551 (2014) // Б. И. 2014. № 18.
 - Казин В.Н., Сибриков С.Г., Кужин М.Б., Митрофанова Г.П., Казина Е.Г., Сирик А.В. Пат. RU 2522553 (2014) // Б. И. 2014. № 18.
 - Гузов Е.А., Кужин М.Б., Копыткова М.П., Сибриков С.Г., Казин В.Н. // ЖOX. 2021. Т. 91. № 3. С. 404; Guzov E.A., Kuzhin M.B., Kopitkova M.P., Sibrikov S.G., Kazin V.N. // Russ. J. Gen. Chem. 2021. Vol. 91 N 3. P. 373. doi: 10.1134/S1070363221030051
 - Granovsky A.A. Firefly version 8.2. http://classic.chem.msu.su/gran/firefly/index.html
 - Marenich A.V., Cramer C.J., Truhlar D.G. // Phys. Chem. (B). 2009. Vol. 113. N 18. P. 6378. doi: 10.1021/jp810292n
 - Chemcraft – графическое программное обеспечение для визуализации квантово-химических расчетов. Версия 1.8, сборка 654. https://www.chemcraftprog.com
 
Supplementary files
				
			
					
						
						
						
						
				











