Extraction of indium from sulfuric acid solutions to carbon composites modified with nanotubes
- Authors: Gakiev A.L.1, Troshkina I.D.1, Kryukov A.Y.1
-
Affiliations:
- Mendeleev University of Chemical Technology of Russia (MUCTR)
- Issue: Vol 70, No 1 (2025)
- Pages: 121–126
- Section: НЕОРГАНИЧЕСКИЕ МАТЕРИАЛЫ И НАНОМАТЕРИАЛЫ
- URL: https://journals.rcsi.science/0044-457X/article/view/286273
- DOI: https://doi.org/10.31857/S0044457X25010134
- EDN: https://elibrary.ru/CUXNEA
- ID: 286273
Cite item
Full Text
Abstract
The regularities of the sorption extraction of indium from sulfuric acid solutions using composites based on activated carbons modified with carbon nanotubes are considered. Their surface was studied by scanning electron microscopy. The equilibrium and kinetic characteristics of the sorbents are obtained. Indium sorption isotherms have a convex shape and are described by the Langmuir equation. The approximation of kinetic data using pseudo-first and pseudo-second order models, internal diffusion, and Elovich showed that the highest correlation coefficient is observed when using a pseudo-second order model. The process of indium sorption is limited by external diffusion. The efficiency of the carbon composite during the extraction of indium in four sorption-desorption cycles has been verified.
Full Text
Введение
В наукоемких областях промышленного производства широко используются редкие металлы, к числу которых относится индий. Поскольку мировые промышленные запасы его руд отсутствуют, основными источниками являются различные отходы и промежуточные продукты производства олова, свинца и цинка. Среднее содержание индия в них варьирует от 0.001 до 0.1% [1].
Возможным его источником могут стать фумарольные выбросы вулкана Кудрявый, расположенного на о. Итуруп (Сахалинская обл.), содержащие наряду с индием в значительном количестве другие ценные элементы, такие как рений, германий, молибден [2].
Из растворов, образующихся при гидрометаллургической переработке отходов и промежуточных продуктов, индий извлекают с помощью экстракции [3]. Возникающие трудности подготовки больших объемов реагентов, а также загрязнение органическими реагентами растворов цинкового производства влияют на дальнейшее его получение [4].
Для извлечения индия из растворов также применяется сорбционный метод. Для этого используют различные материалы, например смолы (катиониты и амфолиты) [4]. Помимо смол и различных импрегнатов изучается возможность сорбции индия композитами [5], природными цеолитами [6], активированными углями [7], в том числе модифицированными сверхразветвленным полиэтиленимином [8], углеродными нанотрубками [9]. Совместную сорбцию индия и галлия изучали с использованием гексацианоферрата железа(II) [10]. Исследована также возможность сорбции индия амфолитами в присутствии ионов железа [11].
Цель работы – изучение сорбционных характеристик композита при извлечении индия из сернокислых растворов на основе активированного угля с закрепленными на его поверхности углеродными нанотрубками.
Экспериментальная часть
В работе для выделения индия использовали полученные в Российском химико-технологическом университете им. Д.И. Менделеева образцы углеродного композита на основе активированного угля Татсорб (ООО “НПО Поволжский завод сорбентов “Татсорб”, Казань), полученного из скорлупы кокосового ореха, Татсорб-УНТ-1, модифицированный углеродными многостенными нанотрубками марки “Глобал СО” (ООО “Глобал СО”, Химки) диаметром 15–45 нм, и Татсорб-УНТ-2, модифицированный углеродными многостенными нанотрубками марки “Таунит” (ООО “Нанотехцентр”, Тамбов) диаметром 20–50 нм. В обоих случаях содержание нанотрубок составляло 0.001%. Активированный уголь обрабатывали диспергированными нанотрубками и высушивали при температуре 60°С. Для сравнения был выбран немодифицированный уголь марки “Татсорб”.
Морфологию поверхности углеродного композита исследовали с помощью сканирующей электронной микроскопии (СЭМ) на электронном микроскопе JSM 6510LV (Jeol, Япония).
Сорбцию индия изучали в статических условиях из сернокислого раствора (рН 3.50 ± 0.05). К навеске сорбента приливали раствор с концентрацией индия 20 мг/л при соотношении сорбента (г) к объему раствора (мл) 1 : 500. Контакт фаз проводили при интенсивном перемешивании (150 об/мин) в течение 24 ч на орбитальном шейкере марки Loip LS-210 (Россия). Фазы разделяли декантированием, концентрацию индия определяли фотометрическим методом анализа [12]. Сорбционную емкость (СЕ) рассчитывали по формуле:
(1)
где Cисх – концентрация в исходном растворе, мг/л; Сравн – концентрация в растворе после сорбции, мг/л; V – объем раствора, л; g – масса навески сорбента, г.
Степень сорбции (α, %) рассчитывали по соотношению:
(2)
где Cисх – концентрация индия в исходном растворе, мг/л; Сравн – концентрация индия в растворе после сорбции, мг/л.
Изотермы сорбции получали методом переменных объемов. Раствор объемом 50–250 мл приливали к навеске сорбента массой 0.1 г. Величина рН раствора составляла 3.5 ± 0.05, концентрация индия в исходном растворе ‒ 20 мг/л.
Десорбцию проводили в статических условиях путем контактирования насыщенного индием композита с элюентом – кислым водным раствором соляной кислоты с величиной рН 4.5 ± 0.05, кислотность регулировали с помощью 6 M HCl при соотношении фаз 1 : 100 (г : мл). Количество контактов десорбции равнялось трем.
Степень десорбции (β, %) рассчитывали по формуле:
(3)
где CIn эл – концентрация индия в элюате, мг/л; Vэл ‒ объем элюента, л; СЕисх – исходная емкость композита, мг/г; m – навеска композита, насыщенного индием, г.
Кинетику сорбции индия изучали методом ограниченного объема раствора при интенсивном перемешивании (160 об/мин), время контакта варьировали от 10 до 240 мин, соотношение навески сорбента (г) к объему раствора (мл) составляло 1 : 500.
Для изучения устойчивости сорбента при циклической работе проводили испытания, включающие четыре ступени сорбции–десорбции в условиях, описанных выше.
Результаты и обсуждение
Согласно СЭМ-изображениям (рис. 1), углеродный наномодифицированный композит покрыт длинными спутанными пучками углеродных нанотрубок.
Рис. 1. Поверхность модифицированного активированного угля, покрытого углеродными нанотрубками, увеличение ×15000 (а) и ×50000 (б).
Изотермы сорбции индия углеродными материалами имеют выпуклую форму (рис. 2) и могут быть описаны уравнением Ленгмюра [13] в линеаризованном виде (4):
(4)
где СЕ – сорбционная емкость, мг/г; СЕ∞ – максимальная сорбционная емкость, мг/г; K – константа Ленгмюра, мл/г; C – равновесная концентрация металла в растворе после сорбции, мг/л.
Рис. 2. Изотермы сорбции индия наномодифицированным композитом и активированным углем (а) и их анаморфозы (б): 1 – Татсорб-УНТ-1, 2 – Татсорб-УНТ-2, 3 – Татсорб.
С учетом данных анаморфоз изотермы сорбции индия рассчитана максимальная сорбционная емкость по индию, а также константы Ленгмюра (табл. 1).
Таблица 1. Значения максимальной емкости и константа Ленмгюра
Композит | Максимальная сорбционная емкость, мг/г | Константа Ленгмюра, мл/г |
Татсорб-УНТ-1 | 34.5 | 12.2 ± 0.5 |
Татсорб-УНТ-2 | 27.6 | 9.1 ± 0.5 |
Татсорб | 21.0 | 8.4 ± 0.5 |
Для определения времени установления равновесия сорбции получены интегральные кинетические кривые (рис. 3), ход которых показывает, что для установления равновесия сорбции индия на композитах требуется 170–180 мин, для немодифицированного сорбента – более 200 мин.
Рис. 3. Интегральные кинетические кривые сорбции индия из сернокислых растворов углеродными композитами и немодифицированным активированным углем: 1 –Татсорб-УНТ-1, 2 – Татсорб-УНТ-2, 3 – Татсорб.
Данные по скорости сорбции индия углеродными сорбентами были обработаны с использованием следующих кинетических моделей [14]:
- Модель псевдопервого порядка: .
- Модель псевдовторого порядка: .
- Модель внутренней диффузии
- Модель Еловича:
где Qe – равновесная сорбционная емкость, мг/г; Qt – сорбционная емкость в момент времени t, мг/г; k1 (k2) – константа скорости псевдопервого (псевдовторого) порядка, мин–1 (г мг–1 мин–1); kid – константа скорости внутренней диффузии, мг г–1 мин–0.5; α – начальная скорость сорбционного процесса, г мг–1 мин–1; β – константа скорости Еловича, г мг–1.
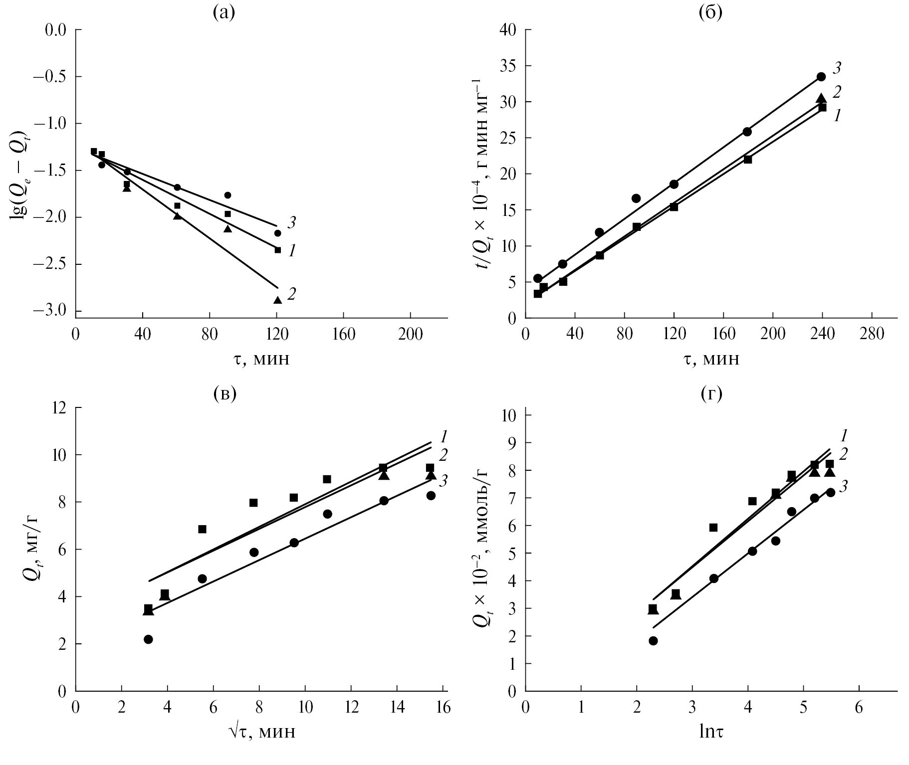
Аппроксимация кинетических данных по этим моделям (рис. 4) показала, что наибольший коэффициент корреляции (табл. 2) наблюдается при применении модели псевдовторого порядка.
Рис. 4. Зависимости lg(Qe – Qt) = f(τ) (а); t/Qt = f(τ) (б); Qt = f(√τ) (в); Qt = f(ln τ) (г); для сорбции индия углеродными композитами и активированным углем: 1 –Татсорб-УНТ-1, 2 – Татсорб-УНТ-2, 3 – Татсорб.
Таблица 2. Значения констант скорости сорбции индия углеродными сорбентами
Модель | |||||||
псевдопервого порядка | псевдовторого порядка | внутренней диффузии | Еловича | ||||
k1, мин–1 | R2 | k2, г мг–1 мин–1 | R2 | kid, мг г–1 мин–0.5 | R2 | β, г мг–1 | R2 |
Татсорб-УНТ-1 | |||||||
0.017 | 0.9704 | 0.100 | 0.9986 | 0.0172 | 0.9496 | 2.07 | 0.8345 |
Татсорб-УНТ-2 | |||||||
0.02 | 0.9642 | 0.103 | 0.9981 | 0.0168 | 0.9295 | 2.15 | 0.7959 |
Татсорб | |||||||
0.015 | 0.9371 | 0.199 | 0.9918 | 0.0161 | 0.9681 | 2.14 | 0.917 |
Обработка по модели псевдовторого порядка (Татсорб-УНТ-1, R2 = 0.9986, Татсорб-УНТ-2, R2 = 0.9981) показывает, что процесс, моделируемый уравнением Ленгмюра для ограниченного объема, может быть приближенно описан уравнением псевдовторого порядка, но возможность применения вышеупомянутого уравнения не связана с кинетическим механизмом [15, 16]. Из обработки кинетических данных по модели внутренней диффузии (Татсорб-УНТ-1, R2 = 0.9496; Татсорб-УНТ-2, R2 = 0.9295) (рис. 4в) видно, что прямая не выходит из начала координат, поэтому можно сделать вывод, что сорбция индия углеродным композитом протекает во внешней диффузионной области [17].
Рассматривая механизм сорбции индия углеродным композитом, помимо физической сорбции в порах активированного угля, следует учитывать его частичную сорбцию углеродными нанотрубками, расположенными на поверхности сорбента, которая приобретает отрицательный заряд (R−) при рН 3.46 (изоэлектрическая точка). Взаимодействие катиона индия в этом случае может протекать в соответствии с уравнением [9]:
In3+ + 3R−УНТ ↔ In+R− 3УНТ. (5)
Это подтверждается тем, что при сравнении сорбционных емкостей, полученных в одинаковых условиях, емкость композитов Татсорб-УНТ-1 и Татсорб-УНТ-2, покрытых нанотрубками, на 12.6 и 9.7% выше, чем немодифицированного активированного угля Татсорб.
Стабильность свойств наномодифицированных композитов Татсорб-УНТ-1 и Татсорб-УНТ-2 оценивали при проведении четырех циклов сорбции–десорбции. Степень сорбции по индию композитом Татсорб-УНТ-1 после четырех циклов уменьшилась на 4%, степень десорбции – на 7%, в случае Татсорб-УНТ-2 – на 3.5 и 6% соответственно. Степень сорбции по индию активированного угля марки “Татсорб”, выбранного для сравнения, и степень десорбции снизились в значительно большей степени – в 5.0 и 6.2 раза соответственно. Снижение характеристик сорбента связано с его механической деструкцией. Активированные угли в отсутствие углеродных нанотрубок подвергаются большему разрушению, чем композиты на их основе.
Заключение
На основании полученных в работе равновесных, кинетических и эксплуатационных характеристик сорбции индия углеродные композиты Татсорб-УНТ-1 и Татсорб-УНТ-2 могут быть использованы для извлечения индия из разбавленных сернокислых растворов, очищенных от посторонних компонентов, влияющих на процесс сорбции.
Кинетические данные сорбции индия углеродным нанокомпозитом с высокой степенью корреляции описываются по моделям псевдовторого порядка и внутренней диффузии. Сорбция индия протекает во внешней диффузионной области.
Тестирование устойчивости углеродного композита в циклических испытаниях показало, что степень сорбции композитов Татсорб-УНТ-1 и Татсорб-УНТ-2 по индию, по сравнению с немодифицированным активированным углем Татсорб, снизилась за четыре цикла значительно меньше.
Благодарность
Авторы выражают благодарность доценту, кандидату технических наук Ирине Владимировне Бураковой (Тамбовский государственный технический университет) за предоставленные образцы углеродных нанотрубок и консультативную помощь, а также ЦКП РХТУ за выполнение анализов, необходимых для определения свойств углеродных композитов.
Финансирование работы
Работа выполнена на инициативной основе.
Конфликт интересов
Авторы заявляют, что у них нет известных финансовых конфликтов интересов или личных отношений, которые могли бы повлиять на работу, представленную в этой статье.
About the authors
A. L. Gakiev
Mendeleev University of Chemical Technology of Russia (MUCTR)
Author for correspondence.
Email: gakievadam@gmail.com
Russian Federation, Moscow, 125047
I. D. Troshkina
Mendeleev University of Chemical Technology of Russia (MUCTR)
Email: gakievadam@gmail.com
Russian Federation, Moscow, 125047
A. Y. Kryukov
Mendeleev University of Chemical Technology of Russia (MUCTR)
Email: gakievadam@gmail.com
Russian Federation, Moscow, 125047
References
- Abkhoshk E., Jorjani E., Al-Harahsheh M.S. // Hydrometallurgy. 2014. V. 149. P. 153. https://doi.org/10.1016/j.hydromet.2014.08.001
- Балихин А.В., Барковская О.Э. // Комплексное извлечение минерального сырья. 2017. № 3. С. 16.
- Yang J., Retegan T., Steenari B.M. // Sep. Purif. Technol. 2016. V. 166. P. 117. https://doi.org/10.1016/j.seppur.2016.04.021
- Федоров П.И., Акчурин Р.Х. Индий. М.: Наука, 2000. 276 с.
- Min Li, Xiaojing Meng, Kun Huang et al. // Hydrometallurgy. 2019. V. 186. P. 73. https://doi.org/10.1016/j.hydromet.2019.04.003
- Sultanbayeva G.S., Agatayeva A.A., Kaiynbayeva R.A. et al. // Crystals. 2022. V. 12. P. 1220. https://doi.org/10.3390/cryst12091220
- Diez F., Gomez J.M., Rodriguez A. et al. // Microporous Mesoporous Mater. 2020. V. 295. P. 109984. https://doi.org/10.1016/j.micromeso.2019.109984
- Xue-Zhen Gao, Zhiyong Cao, Changzhen Li et al. // New J. Chem. 2022. V. 46. № 39. Р. 18952. https://doi.org/10.1039/D2NJ03111F
- Alguacil F.J., Lopez F.A., Rodrigez O. et al. // Ecotoxicol. Environ. Saf. 2016. V. 130. P. 81. https://doi.org/10.1016/j.ecoenv.2016.04.008
- Mikhailovna C.R., Sultanbayeva G.S., Kaiynbayeva R.A. et al. // Sep. Sci. Technol. 2024. V. 59. № 6–9. P. 929. https://doi.org/10.1080/01496395.2024.2353170
- Новиков И.В., Свирский И.А., Титова С.М., Смирнов А.Л. // Физика. Технологии. Инновации (ФТИ-2019). Е.: ООО “Издательство учебно-методический центр УПИ”, 2019. C. 519. http://elar.urfu.ru/handle/10995/98459
- Малютина Т.М., Конькова О.В. Аналитический контроль в металлургии цветных и редких металлов. М.: Металлургия, 1988. 240 с.
- Langmuir I. // J. Am. Chem. Soc. 1918. V. 40. № 9. P. 1361. https://doi.org/10.1021/ja02242a004
- Ho Y.S. // J. Hazard. Mater. 2006. V. 136. P. 681. https://doi.org/10.1016/j.jhazmat.2005.12.043
- Хамизов Р.Х., Свешникова Д.А., Кучерова А.Е., Синяева Л.А. // Журн. физ. химии. 2018. Т. 92. № 9. С. 1451. https://doi.org/10.1134/S0044453718090121
- Хамизов Р.Х. // Журн. физ. химии. 2020. Т. 94. № 1. С. 125. https://doi.org/10.31857/S0044453720010148
- Hai Nguyen Tran, Sheng-Jie You // Water Res. 2017. V. 120. P. 88. https://doi.org/10.1016/j.watres.2017.04.014
Supplementary files






