Влияние положения двойных связей ненасыщенных карбоновых кислот на характер образующихся координационных полимеров палладия(I)
- Авторы: Ефименко И.А.1, Иванова Н.А.1, Ерофеева О.С.1, Ефимов Н.Н.1, Демина Л.И.2, Аверин А.А.2, Симоненко Н.П.1
-
Учреждения:
- Институт общей и неорганической химии им. Н.С. Курнакова РАН
- Институт физической химии и электрохимии им. А.Н. Фрумкина РАН
- Выпуск: Том 70, № 1 (2025)
- Страницы: 54–62
- Раздел: КООРДИНАЦИОННЫЕ СОЕДИНЕНИЯ
- URL: https://journals.rcsi.science/0044-457X/article/view/286262
- DOI: https://doi.org/10.31857/S0044457X25010067
- EDN: https://elibrary.ru/IAYZVS
- ID: 286262
Цитировать
Аннотация
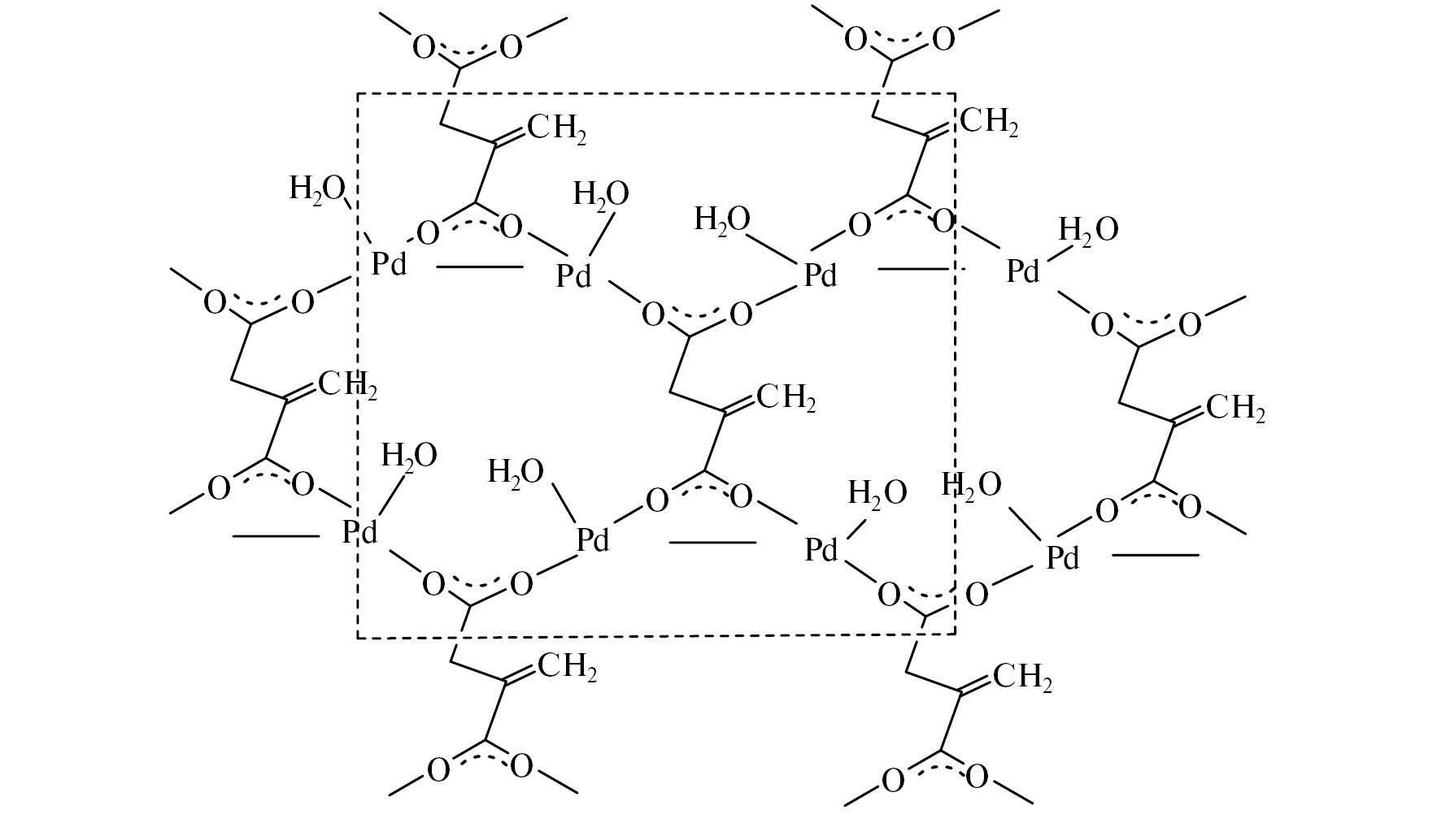
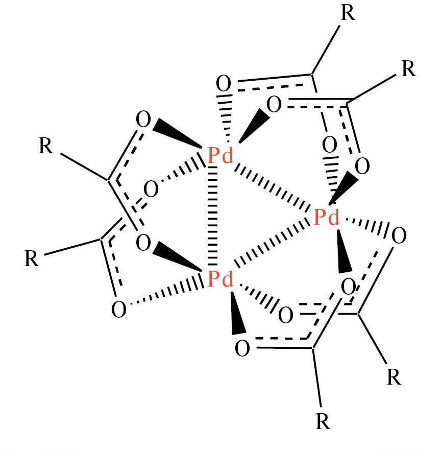
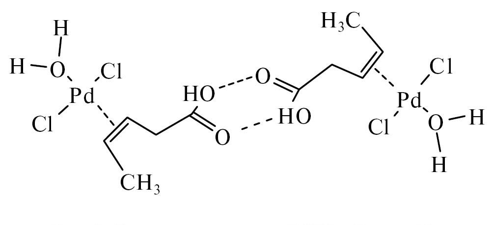
Впервые в координационной химии палладия выделен новый класс полимеров палладия(I) с ненасыщенными монокарбоновыми кислотами, полученными при взаимодействии ацетата палладия(II) Pd3(μ-MeCO2)6 с монокарбоновыми 3-пентеновой и 4-пентеновой кислотами с двойной связью, не сопряженной с карбоксильной группой, циннамовой и кротоновой кислотами с двойной связью, сопряженной с карбоксильной группой, а также исследовано взаимодействие с дикарбоновой кислотой (итаконовой) с двойной связью, сопряженной только с одной карбоксильной группой подобно циннамовой и кротоновой кислотам. Анализ состава восьми новых синтезированных соединений, а также их ИК-, КР- и ЭПР-спектров показал, что полученные координационные полимеры Pd(I) [Pd(RCOО)6]n с 3-пентеновой {[Pd(π-C5H7O2)] ∙ H2O}n и 4-пентеновой [Pd(π-C5H7O2) ∙ C5H8O2)]n кислотами диамагнитны, а с циннамовой [Pd(C9H7O2)]n, кротоновой {[Pd(C4H5O2)]H2O}n и итаконовой {[Pd(C5H4O4)H2O] ∙ 2H2O}n кислотами парамагнитны. Остов полученных полимеров формируется мостиковыми карбоксилатными группами и связями Pd–Pd. Достраивание координационного полиэдра в случае комплексов с 3- или 4-пентеновой кислотой осуществляется координированием их двойной связи палладием, в полимерных комплексах с циннамовой и кротоновой кислотами – образующейся агостической связью, в комплексах с итаконовой кислотой – координированной молекулой воды. По данным ЭПР-спектроскопии, полимер с итаконовой кислотой содержит парамагнитные центры, характеризующиеся содержанием в них 1018 спин/г неспаренных электронов, стабильных в течение года, что позволяет рассматривать его в качестве прекурсора для создания гетерогенных катализаторов с повышенной каталитической активностью.
Полный текст
Об авторах
И. А. Ефименко
Институт общей и неорганической химии им. Н.С. Курнакова РАН
Автор, ответственный за переписку.
Email: ines@igic.ras.ru
Россия, Москва, 119991
Н. А. Иванова
Институт общей и неорганической химии им. Н.С. Курнакова РАН
Email: ines@igic.ras.ru
Россия, Москва, 119991
О. С. Ерофеева
Институт общей и неорганической химии им. Н.С. Курнакова РАН
Email: ines@igic.ras.ru
Россия, Москва, 119991
Н. Н. Ефимов
Институт общей и неорганической химии им. Н.С. Курнакова РАН
Email: ines@igic.ras.ru
Россия, Москва, 119991
Л. И. Демина
Институт физической химии и электрохимии им. А.Н. Фрумкина РАН
Email: ines@igic.ras.ru
Россия, Москва, 119991
А. А. Аверин
Институт физической химии и электрохимии им. А.Н. Фрумкина РАН
Email: ines@igic.ras.ru
Россия, Москва, 119991
Н. П. Симоненко
Институт общей и неорганической химии им. Н.С. Курнакова РАН
Email: ines@igic.ras.ru
Россия, Москва, 119991
Список литературы
- Robin A., From K.M. // Coord. Chem. Rev. 2006. V. 250. P. 2127.
- Jams S. // Chem. Soc. Rev. 2003. V. 32. P. 276.
- Moulton B., Zaworotko M. // Chem. Rev. 2001. V. 101. P. 1296.
- Moulton B., Zaworotko M., Opin C. // Solid State Mater. Sci. 2002. V. 6. P. 117.
- Takamizawa S., Yamaguchi K., Mori W. // Inorg. Chem. Commun. 1998. V. 1. P. 177.
- Mori W., Hoshino H., Nishimoto Y. et al. // Chem. Lett. 1999. V. 331. P. 123.
- Mori W., Takamizawa S. // J. Solid State Chem. 2000. V. 152. P. 120.
- Mori W., Sato T., Ohmura T. et al. // J. Solid State Chem. 2005. V. 178. P. 2555.
- Sherchnev P., Kudryavtsev E. еt al. // Mater. Today: Proceeding. 2021. V. 34. P. 235.
- Brooknart M., Green M.L.H., Parkin G. // PNAS. 2007. V. 104. P. 6909.
- Sajjad M.A., Chistensen K.E., Rels N.M. et al. // Chem. Commun. 2017. V. 53. P. 4187.
- Cotton F.A., Jacour T., Stanislovski A.G. // J. Am. Chem. Soc. 1974. V. 96. P. 5074.
- Trofimenko S. // Inorg. Chem. 1970. V. 9. P. 2493.
- Sajjad M., Schwerdtfeger P., Harrison J. et al. // Polyhedron. 2018. V. 151. P. 68.
- Harrison Y., Nielson A., Sajjad A. et al. // Organomet. Chem. 2019. V. 38. P. 1903.
- Lin X., Wu W., Mo Y. // Coord. Chem. Rev. 2020. V. 419. P. 213401.
- Maggioni D., Tunzi D., Ylliano P. et al. // Inorg. Chim. Acta. 2022. V. 529. P. 120641.
- Efremenko I., Montag M. // Organometallics. 2022. V. 41. P. 2022.
- Baily N., Jenkins J., Mason R. et al. // Chem. Commun. 1965. V. 11. P. 237.
- Ibeis Y. // Abst. Am. Cryst. Assoc. 1965. V. 10. P. 34.
- Ghosh A.K., Kevan L. // J. Am. Soc. 1988. V. 110. P. 8044.
- Prakash A., Waswicz T., Kevan L. // J. Phys. Chem. 1997. V. 101. P. 11985.
- Stokes L., Murphy D., Farley P. et al. // Phys. Chem. Chem. Phys. 1999. V. 1. P. 621.
- Kikuzuno Y., Kagami S., Nauto S. et al. // Chem. Lett. 1981. V. P. 1249.
- Descorme C., Gelin P., Lewyer C. et al. // J. Catal. 1998. V. 177. P. 352.
- Бучаченко А.Л., Бердинский В.Л. // Успехи химии. 2004. Т. 73. С. 1123.
- Stromnova T.A., Monakhov K.Yu., Campora J. et al. // Inorg. Chim. Acta. 2007. V. 360. P. 4111.
- Efimenko I.A., Ankudinova P.V., Kuz’mina L.G. et al. // Russ. J. Inorg. Chem. 2015. V. 60. P. 848.
- Efimenko I.A., Erofeeva O.S., Ugolkova E.A. et al. // Mendeleev Commun. 2018. V. 28. P. 632.
- Ефименко И.А., Ефимов Н.Н., Ерофеева О.С. и др. // Коорд. химия. 2021. Т. 47. № 10. С. 640.
Дополнительные файлы









