On the Interaction of Gold(III) Complexes with Methionine
- Authors: Kharlamova V.Y.1, Mironov I.V.1
-
Affiliations:
- Nikolaev Institute of Inorganic Chemistry of the Siberian Branch of the Russian Academy of Sciences
- Issue: Vol 69, No 10 (2024)
- Pages: 1459-1465
- Section: ФИЗИКОХИМИЯ РАСТВОРОВ
- URL: https://journals.rcsi.science/0044-457X/article/view/281879
- DOI: https://doi.org/10.31857/S0044457X24100125
- EDN: https://elibrary.ru/JIBHLE
- ID: 281879
Cite item
Full Text
Abstract
The interaction of gold(III) complexes AuCl4–, Au(bipy)Cl2+, Au(en)23+ and Au(C9H19N4)2+ with methionine (HMet) in an aqueous solution (pH 2.0 и 7.4; I = 0.2 M (NaCl), CAu = (5–10) × 10–5 M, CHMet < (6–50) × 10–5 M) at 25°C was studied. Methionine reduces gold(III) to gold(I), but the processes proceed much more slowly (hundreds of times) than under the action of thiols. As the density of ligands in the gold(III) complex increases, the rate of reactions with HMet decreases significantly.
Keywords
Full Text
ВВЕДЕНИЕ
Золото является фармацевтически важным металлом. В течение последних десятилетий комплексы золота широко изучались как противоартритные и противоопухолевые средства [1–6]. Поскольку комплексы золота(III) являются изоэлектронными с комплексами платины(II), они были проверены на противораковую активность in vitro и продемонстрировали значительные цитотоксические эффекты. Возможное применение комплексов золота(III) для лечения рака вызвало интерес к взаимодействию золота(III) с различными биологически важными лигандами, такими как аминокислоты и пептиды [7]. В наших предыдущих работах [8, 9] было показано, что взаимодействие комплексов золота(III) с биологически активными тиолами приводит к быстрому восстановлению золота(III) до золота(I) с образованием высокоустойчивых тиолатных комплексов. Однако помимо тиолов в организме присутствуют и другие компоненты, способные восстанавливать золото(III). В первую очередь это относится к метионину и его производным.
Метионин (HMet) представляет собой аминокислоту, содержащую тиоэфирную группу. Он входит в состав большинства белков и ферментов в организме человека и является вероятной мишенью для ионов металлов in vivo. Поэтому изучение взаимодействия HMet с комплексами золота актуально с точки зрения бионеорганической химии.
Цель настоящей работы – исследование взаимодействия между комплексами золота(III) и метионином. Выбор комплексов обусловлен их использованием в биологических исследованиях.
ЭКСПЕРИМЕНТАЛЬНАЯ ЧАСТЬ
Исходный раствор HAuCl4 готовили растворением металлического золота (99.9%) в царской водке с последующим многократным упариванием с соляной кислотой, а затем с водой. Кроме того, в работе использовали соляную кислоту (фиксанал), фосфатный буфер с pH 6.86 (фиксанал); L-метионин (HMet, ПанЭко, Россия, >98%); L-глутатион восстановленный (GSH, АО “Вектон”, Россия, >98%); этилендиамин (en), 2,2ʹ-бипиридил (bipy, Reanal, Венгрия, ч. д. а.); раствор NaOH (без CO2), бидистиллированную воду. Концентрацию HAuCl4 устанавливали по УФ-поглощению раствора (ε = 5600 M–1 см–1 при 314 нм, среда – 0.1 M HCl).
Растворы метионина и глутатиона готовили непосредственно перед экспериментами из сухих реактивов. Исходный фосфатный буфер (рН 6.86) доводили до рН 7.4 добавлением щелочи; рН 2.0 создавали при помощи HCl.
Комплекс с бипиридилом Au(bipy)Cl2+ получали в растворе согласно [10]. Комплекс Au(bipy)(OH)2+ в растворе получали из Au(bipy)Cl2+ замещением 2Cl– на 2OH– после выдерживания в среде фосфатного буфера с pH 7.4 не менее 1 ч. Комплекс золота(III) с этилендиамином [Au(en)2]Cl3 получали аналогично [11]. Комплекс золота(III) [Au(C9H19N4)](ClO4)2 (N,Nʹ-бис-(2-аминоэтил)-2,4-пентандииминатозолота(III) бис-перхлорат) получали согласно [12].
Спектры поглощения записывали на спектрофотометре СФ-2000 (ОКБ “Спектр”) в диапазоне длин волн 220–400 нм, l = 1 см.
К раствору, содержащему комплекс золота(III), 0.2 M NaCl, а также буфер (0.01 M) или HCl (0.01 M), добавляли рассчитанный объем метионина, быстро перемешивали и начинали сканирование спектров через определенные промежутки времени. Мертвое время составляло 5–10 с. В большинстве случаев CAu = 1.0 × 10–4 моль/л, соотношение CRS/CAu = 0.6–5.0. Для предотвращения быстрого спонтанного диспропорционирования:
помимо добавки NaCl (0.2 M) мы не использовали CAu > 10–3 моль/л, pH < 2. В этих условиях появление следов золота(0) не наблюдалось в течение 6 ч.
РЕЗУЛЬТАТЫ И ОБСУЖДЕНИЕ
Нейтральный L-метионин (HMet) существует в водном растворе в виде цвиттер-иона –OOC–CH(NH3+)–(CH2)2–S–CH3 с протонированной аминогруппой и депротонированной –COO–-группой. Константа протонирования аминогруппы (Met– + H+ = HMet0) равна lgKH = 9.00 (I = 0.2 M (NaCl)) [13]. Константа протонирования –COO–-группы мала и может иметь значение только в сильнокислой области. Для равновесий замещения Cl– на Met– в комплексе золота(I)
(1)
величины констант равны: lgβ1 = 3.8, lgβ2 = 5.4 [13], т.е. комплексы золота(I) с Met– гораздо менее устойчивы по сравнению с тиолатными комплексами [14]. Способ координации метионина к золоту(I) (через амино- или тиоэфирную группу –S–) достоверно неизвестен. В работе [15] на основании данных ЯМР авторы полагают, что метионин координирован к золоту(I) через атом серы. Однако из данных работы [13] следует, что более вероятна координация через атом азота аминогруппы.
Имеющиеся в литературе данные [15–19] по взаимодействию комплексов золота(III) с метионином и его дипептидами относятся к AuCl4– и AuenCl2+. В работах [16–18] показано, что редокс-процесс включает две стадии: быстрое замещение одного хлорида на один остаток метионина и дальнейшее внутрисферное окисление метионина с одновременным восстановлением золота(III) до золота(I). Скорость восстановления имеет общий второй порядок, т.е. наблюдается полная аналогия с процессами взаимодействия AuCl4– с органическими сульфидами [20, 21]. Кинетика процессов сильно зависит от вида комплексов. Так, для AuenCl2+ скорость в 200 раз ниже, чем для AuCl4– в таких же условиях (pH 2) [18]. Во всех указанных работах отмечено диспропорционирование золота(I), ведущее к выделению Au0, что обусловлено низкой устойчивостью образующегося в результате восстановления комплекса золота(I) с метионином. С цианидным комплексом золота(III) Au(CN)4– метионин вообще не взаимодействует [22].
Метионин обычно окисляется до сульфоксида –OOC–CH(NH3+)–(CH2)2–S(O)–CH3 [18, 19, 23]. Взаимное превращение остатков HMet и его сульфоксида (MetO) в белках играет значительную роль в различных биологических процессах: защите от окислительного стресса, регуляции активности, деградации белков и развитии ряда заболеваний [24].
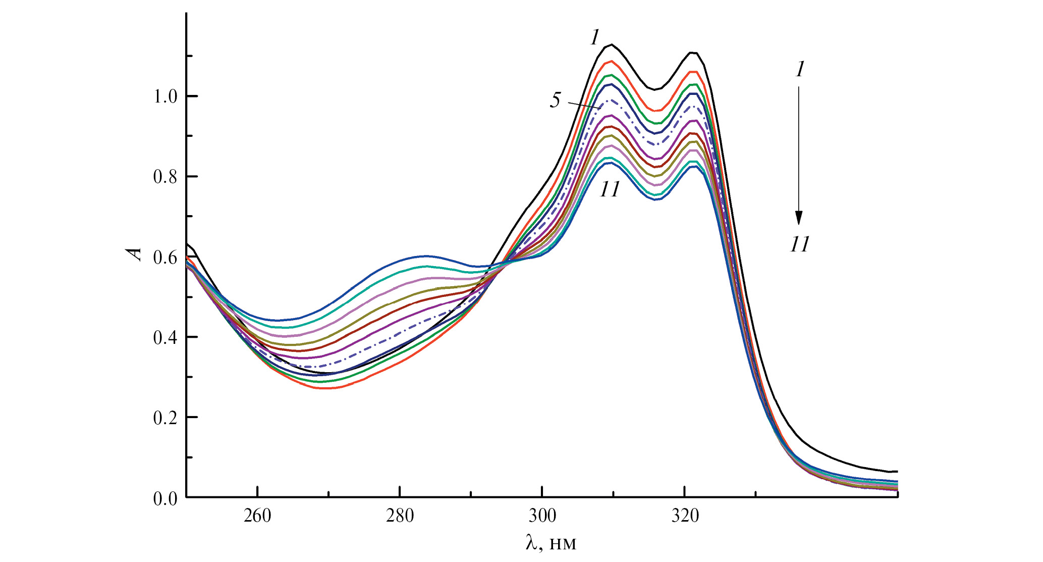
Взаимодействие AuCl4– с HMet. На рис. 1 показано изменение спектра AuCl4– во времени при добавлении метионина (pH 2) для двух соотношений CMet/CAu.
Рис. 1. Изменение во времени УФ-спектра раствора при взаимодействии AuCl4– с метионином (CAu = 1.0 × 10–4 моль/л, pH 2, l = 1 см): а – CHMet = 6.0 × 10–5 моль/л, время после смешения τ = 6 c (1), 30 с (2), 1 мин (3), 1 мин 30 с (4), 2–30 мин (5); б – CHMet = 5.0 × 10–4 моль/л, время после смешения τ = 8 c (1), 30 с (2), 1 мин (3).
Изменение УФ-спектра на начальном этапе по сравнению со спектром AuCl4– вызвано быстрым замещением Cl– на HMet. При росте соотношения CHMet/CAu оно становится более резким. Изменения спектра во времени при CHMet/CAu = 0.6 качественно совпадают c данными работ [15, 17]. Несмотря на довольно быстрое в данном случае протекание редокс-процесса, в аналогичных условиях реакции с тиолатами [8] заканчиваются намного быстрее (за секунды).
Отметим, что при СHMet/CAu = 0.6 уже через 2.5–3 мин процесс практически прекращается. УФ-спектр раствора точно соответствует спектру AuCl4– в количестве 40 % от исходной концентрации CAu (A = 0.22 при λ = 314 нм, ε = 5600 М–1 см–1), т.е. несмотря на высокий редокс-потенциал золота(III) (AuCl4– + 2ē = AuCl2– + 2Cl–, E0 = 0.93 В), метионин отдает только два электрона и окисляется до сульфоксида.
Взаимодействие Au(bipy)Cl2+ с HMet. На рис. 2 показано изменение УФ-спектра раствора Au(bipy)Cl2+ под действием HMet (0.6/1) при СAu = 1.0 × 10–4 моль/л. Происходит постепенное смещение максимума спектра комплекса в сторону свободного лиганда (Hbipy+), что свидетельствует о его высвобождении и, следовательно, восстановлении золота(III) до золота(I). Образование комплексов золота(I) с bipy нехарактерно.
Рис. 2. Изменение во времени УФ-спектра раствора при взаимодействии Au(bipy)Cl2+ с HMet. CAu = 1.0 × 10–4 моль/л, CHMet = 6.0 × 10–5 моль/л; τ = 5 c (1), 10 (2), 20 (3), 40 (4), 60 (5), 76 (6), 109 (7), 143 (8), 174 (9), 230 мин (10); pH 2.0, l = 1 см.
В целом процесс намного более медленный, чем в случае AuCl4–: величина τ1/2 составляет ~80 мин, в то время как для AuCl4– она меньше 1 мин. Этот результат совпадает с наблюдением, сделанным в работе [18]: введение в молекулу комплекса бидентатного лиганда резко снижает скорость редокс-процесса несмотря на то, что возможность замещения ионов Cl– на метионин сохраняется.
В таких же условиях восстановление комплекса Au(bipy)Cl2+ под действием глутатиона протекает быстрее, чем за 15 с [10].
Взаимодействие Au(bipy)(OH)2+ с HMet. В физиологических условиях (pH 7.4, CNaCl = 0.16 моль/л) основной формой бипиридильного комплекса золота(III) является Au(bipy)(OH)2+ [10].
На рис. 3 показано изменение УФ-спектра раствора Au(bipy)(OH)2+ под действием HMet (0.6/1) при СAu = 1.0 × 10–4 моль/л. Наблюдается постепенное уменьшение полосы поглощения комплекса в области 310–320 нм. Одновременно происходит увеличение A в области 280 нм. Это свидетельствует о восстановлении золота(III) до золота(I) и высвобождении бипиридила из состава комплекса.
Рис. 3. Изменение во времени УФ-спектра раствора при взаимодействии Au(bipy)(OH)2+ с HMet. CAu = 1.0 × 10–4 моль/л, CHMet = 6.0 × 10–5 моль/л; τ = 5 c (1), 1 (2), 5 (3), 10 (4), 20 (5), 30 (6), 40 (7), 50 (8), 60 (9), 70 (10), 80 мин (11); pH 7.4, l = 1 см.
Уравнение процесса можно представить в виде:
, (2)
где R = –OOC–CH(NH3+)–(CH2)2–. Значительных различий в скорости по сравнению с хлоридным комплексом Au(bipy)Cl2+ при pH 2.0 нами не выявлено.
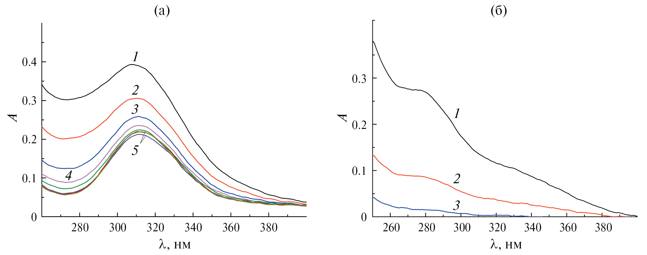
Взаимодействие Au(en)2* с HMet. Из-за способности к депротонированию [11] комплекс Au(en)23+ при pH 7.4 в присутствии 0.2 M NaCl существует в виде смеси Au(en)23+ + Auen(en-H)2+. Эту систему будем обозначать как Au(en)2*.
На рис. 4 показаны спектры Au(en)2* при добавлении метионина (pH 7.4, фосфатный буфер). Несмотря на высокое соотношение CMet/CAu, равное 5, УФ-спектр раствора во времени совершенно не изменяется, т.е. процесс если и идет, то крайне медленно. После добавления к раствору HCl до CHCl = 1.6 моль/л происходит быстрое замещение Au(en)2* + 2H+ + 2Cl– = Au(en)Cl2+ + enH22+. Образующийся комплекс Au(en)Cl2+ реагирует с метионином быстрее, что согласуется с данными [18, 19]. Таким образом, метионин, в отличие от тиолатов [8], вероятно, не способен заместить бидентатный лиганд en в Au(en)23+.
Рис. 4. Изменение во времени УФ-спектра раствора при взаимодействии Au(en)2* с HMet. CAu = 1.0 × 10–4 моль/л, CHMet = 5.0 × 10–4 моль/л; τ = 7 c – 20 мин (1); pH 7.4, l = 1 см. Добавление к раствору HCl до CHCl = 1.6 моль/л, τ = 8 с (2), 5 (3), 10 (4), 15 мин (5).
Взаимодействие Au(C9H19N4) 2+ с HMet и GSH. Эксперименты по изучению взаимодействия метионина с комплексом золота(III) Au(C9H19N4)2+ (рис. 5) с тетрадентатным лигандом показали, что даже при соотношении CHMet/CAu = 10 (pH 7.4) в течение 1 ч никаких признаков реакции не наблюдалось. Однако при взаимодействии с глутатионом (GSH) процесс идет достаточно быстро: в условиях, указанных на рис. 6, за 45 мин 66% золота(III) восстанавливается до золота(I).
Рис. 5. Строение комплекса Au(C9H19N4)2+.
Рис. 6. Изменение во времени УФ-спектра раствора при взаимодействии Au(C9H19N4)2+ с GSH. CAu = 5.2 × 10–5 моль/л, CGSH = 1.0 × 10–3 моль/л; τ = 8 c (1), 5 (2), 15 (3), 25 (4), 35 (5), 45 (6), 55 (7), 70 (8), 90 (9), 115 (10), 140 (11), 230 мин (12); pH 7.4, l = 1 см.
ЗАКЛЮЧЕНИЕ
Хотя метионин действительно взаимодействует с некоторыми комплексами золота(III), процессы протекают гораздо медленнее, чем под действием тиолов. Хорошо известно, что редокс-процессы с участием комплексов протекают в две ступени: замещение лиганда на нуклеофил и далее внутрисферный редокс-процесс. По данным [23], константы скорости замещения лигандов в нескольких комплексах золота(III) на остаток метионина или же на тиол различаются не очень сильно. Про механизмы внутрисферных редокс-процессов известно мало, но если обращаться к взаимодействию с обычными окислителями, то механизм окисления тиолов и тиоэфиров сильно различается. Для тиолов (при их избытке) это чаще всего образование дисульфидов, для тиоэфиров процесс сводится к переносу кислорода. Таким образом, возможная причина уменьшения скорости реакций комплексов золота(III) с метионином по сравнению с взаимодействием с тиолами состоит в очень разных механизмах редокс-процессов. Кроме того, золото(I) не образует высокоустойчивых комплексов с метионином. Таким образом, при соизмеримых концентрациях метионина и тиолов в физиологических условиях, основной путь превращения комплексов золота(III) будет состоять в восстановлении золота(III) тиолом и образовании высокоустойчивых тиолатных комплексов золота(I). Влияние взаимодействия с метионином будет гораздо меньше.
По мере увеличения дентатности лигандов в комплексе золота(III) скорость реакций с метионином сильно падает. Например, при переходе от AuCl4– к AuenCl2+ скорость падает в сотни раз, хотя доступные для замещения ионы хлора сохраняются. Комплексы золота(III) Au(en)2* и Au(C9H19N4)2+, в которых лиганды координированы только через атомы азота, с метионином вовсе не реагируют. Хотя, как показали дополнительные эксперименты, оба комплекса взаимодействуют с GSH.
ФИНАНСИРОВАНИЕ РАБОТЫ
Работа поддержана Министерством науки и высшего образования Российской Федерации (проект № 121031700315-2).
КОНФЛИКТ ИНТЕРЕСОВ
Авторы заявляют, что у них нет конфликта интересов.
About the authors
V. Yu. Kharlamova
Nikolaev Institute of Inorganic Chemistry of the Siberian Branch of the Russian Academy of Sciences
Author for correspondence.
Email: kharlamova@niic.nsc.ru
Russian Federation, Novosibirsk, 630090
I. V. Mironov
Nikolaev Institute of Inorganic Chemistry of the Siberian Branch of the Russian Academy of Sciences
Email: kharlamova@niic.nsc.ru
Russian Federation, Novosibirsk, 630090
References
- Casini A., Kelter G., Gabbiani C. et al. // J. Biol. Inorg. Chem. 2009. V. 14. P. 1139. https://doi.org/10.1007/s00775-009-0558-9
- Brown D.H., Smith W.E. // Chem. Soc. Rev. 1980. V. 9. P. 217. https://doi.org/10.1039/CS9800900217
- Fricker S.P. // Gold Bull. 1996. V. 29. P. 53. https://doi.org/10.1007/BF03215464
- Gorini G., Magherini F., Fiaschi T. et al. // Biomedicines. 2021. V. 9. P. 871. https://doi.org/10.3390/biomedicines9080871
- Tong K.-C., Hu D., Wan P.-K. et al. // Front. Chem. 2020. V. 8. P. 587207. https://doi: 10.3389/fchem.2020.587207
- Gabbiani C., Casini A., Messori L. // Gold Bull. 2007. V. 40. P. 73. https://doi.org/10.1007/BF03215296
- Glišić B.Đ., Rychlewska U., Djuran M.I. // Dalton Trans. 2012. V. 41. P. 6887. https://doi.org/10.1039/C2DT30169E
- Mironov I.V., Kharlamova V.Yu. // ChemistrySelect. 2023. V. 8. P. e202301337. https://doi.org/10.1002/slct.202301337
- Миронов И.В., Харламова В.Ю. // Журн. неорган. химии. 2023. Т. 68. № 10. С. 1495. https://doi.org/10.31857/S0044457X23600639
- Миронов И.В., Харламова В.Ю., Ху Ц. // Журн. неорган. химии. 2023. Т. 68. № 3. С. 342. https://doi.org/10.31857/S0044457X22601651
- Block B.P., Bailar J.C. // J.Am. Chem. Soc. 1951. V. 73. P. 4722. https://doi.org/10.1021/ja01154a071
- Brawner S.A., Lin I.J.B., Kim J.-H., Everett Jr.G.W. // Inorg. Chem. 1978. V. 17. P. 1304. https://doi.org/10.1021/ic50183a040
- Миронов И.В., Харламова В.Ю. // Журн. неорган. химии. 2017. Т. 62. № 12. С. 1672. https://doi.org/10.7868/S0044457X17120182
- Миронов И.В., Харламова В.Ю. // Журн. неорган. химии. 2017. Т. 62. № 7. С. 1014. https://doi.org/10.7868/S0044457X17070157
- Vujačić A.V., Savić J.Z., Sovilj S.P. et al. // Polyhedron. 2009. V. 28. P. 593. https://doi.org/10.1016/j.poly.2008.11.045
- Glišić B.Đ., Rajković S., Stanić Z.D., Djuran M.I. // Gold Bull. 2011. V. 44. P. 91. https://doi.org/10.1007/s13404-011-0014-9
- Bordignon E., Cattalini L., Natile G., Scatturin A. // J. Chem. Soc., Chem. Commun. 1973. P. 878. https://doi.org/10.1039/C39730000878
- Glišić B.Đ., Djuran M.I., Stanić Z.D., Rajković S. // Gold Bull. 2014. V. 47. P. 33. https://doi.org/10.1007/s13404-013-0108-7
- Al-Maythalony B.A., Wazeer M.I.M., Isab A.A., Ahmad S. // Spectroscopy. 2010. V. 24. P. 567. https://doi.org/10.3233/SPE-2010-0478
- Ericson A., Elding L.I., Elmroth S.K.C. // J. Chem. Soc., Dalton Trans. 1997. P. 1159. https://doi.org/10.1039/A608001D
- Annibale G., Canovese L., Cattalini L., Natile G. // J. Chem. Soc., Dalton Trans. 1980. P. 1017. https://doi.org/10.1039/DT9800001017
- Al-Maythalony B.A., Wazeer M.I.M., Isab A.A. // Inorg. Chim. Acta. 2010. V. 363. P. 3244. https://doi.org/10.1016/j.ica.2010.06.001
- Đurović M.D., Bugarčić Ž.D., Heinemann F.W., Eldik R. // Dalton Trans. 2014. V. 43. P. 3911. https://doi.org/10.1039/C3DT53140F
- Stadtman E.R, Moskovitz J., Levine R.L. // Antioxid. Redox Signal. 2003. V. 5. P. 577. https://doi.org/10.1089/152308603770310239
Supplementary files








