Mixed Yttrium and Dysprosium Lactates as First Example of Rare-Earth Hydrogen-Bonded Organic Framework Solid Solutions
- Authors: Golikova M.V.1, Yapryntsev A.D.1, Teplonogova M.A.1,2, Babeshkin K.A.1, Efimov N.N.1, Baranchikov A.E.1, Ivanov V.K.1,2
-
Affiliations:
- Kurnakov Institute of General and Inorganic Chemistry of the Russian Academy of Sciences
- Lomonosov Moscow State University
- Issue: Vol 69, No 10 (2024)
- Pages: 1391-1404
- Section: КООРДИНАЦИОННЫЕ СОЕДИНЕНИЯ
- URL: https://journals.rcsi.science/0044-457X/article/view/281858
- DOI: https://doi.org/10.31857/S0044457X24100057
- EDN: https://elibrary.ru/JISZZV
- ID: 281858
Cite item
Full Text
Abstract
For the first time, molecular solid solutions of yttrium and dysprosium lactates of [Y1-xDyx(C3H5O3)3(H2O)2] composition, where x = 0, 0.01, 0.1, 0.5, 0.8, and 1, have been obtained. These can be considered the first solid solutions of rare-earth hydrogen-bonded organic framework (M-HOF). The obtained compounds were analyzed using a set of instrumental methods, including X-ray diffraction (XRD), Energy-dispersive X-ray spectroscopy (EDX), infrared (IR), and Raman spectroscopy. It has been shown that the unit cell volume of the lactate solid solutions linearly depends on their cationic composition. It has been established that changes in the cationic composition of the solid solutions result in a monotonic shift of the lines in the Raman spectra corresponding to Ln–O vibrations (151–158 cm–1). It has been demonstrated that the obtained compounds can be single-molecule magnets with an energy barrier of up to 108 K.
Full Text
ВВЕДЕНИЕ
Твердые растворы – однофазные вещества, состоящие из нескольких компонентов, концентрация которых может быть изменена без нарушения однородности (фазы переменного состава), – являются основой для создания функциональных материалов с заданными оптическими, полупроводниковыми и другими практически важными свойствами [1–6]. В последние годы возник интерес к твердым растворам (смешанным кристаллам или сокристаллам) на основе органических и координационных соединений, включая молекулярные кристаллы [7, 8] и металл-органические полимеры (МОП) [9, 10]. Конструирование таких твердых растворов становится одним из важных подходов при создании новых веществ и материалов для фармацевтического [11], каталитического [9] и оптического применения [10].
В качестве структурной единицы молекулярных кристаллов можно рассматривать отдельные молекулы, например органические [12], или молекулярные металлокомплексы, как моноядерные [13, 14], так и полиядерные (кластерные) [15, 16]. Такие структурные единицы играют роль строительных блоков, способных к обратимому формированию супрамолекулярных структур [17], за счет водородных связей, π–π-стекинга или ван-дер-ваальсовых взаимодействий.
Кристаллические соединения, полученные сборкой молекулярных комплексов металлов за счет водородных связей, выделяют в отдельный класс веществ, называемых металлорганическими каркасами, образованными за счет водородных связей (МОК-ВС) [18]. По структуре и свойствам МОК-ВС являются аналогами металлорганических полимеров [19], но образуются, как правило, в более мягких условиях и обладают лучшей растворимостью, поскольку состоят фактически из отдельных молекул. С материаловедческой точки зрения МОК-ВС привлекательны сочетанием высокого содержания микропор и функциональных свойств, присущих молекулярным комплексам, что позволяет создавать на их основе системы разделения газов, сенсоры и оптические устройства [18].
Направленное конструирование молекулярных кристаллов, в том числе МОК-ВС, с заданной структурой представляет собой достаточно сложную задачу из-за высокой вариативности способов упаковки молекулярных комплексов, имеющих, как правило, сложную форму и большой размер, а также из-за лабильности водородных связей [18]. Данные факторы играют значительную роль для координационных соединений редкоземельных элементов (РЗЭ) в связи с высокими значениями координационных чисел, присущих катионам РЗЭ [20]. В то же время совокупность физико-химических свойств РЗЭ делает такие соединения особо привлекательными из-за возможности создания на их основе функциональных материалов с уникальными функциональными характеристиками, включая полифункциональные материалы.
Одним из путей к созданию функциональных материалов на основе металлорганических каркасов является конструирование гетерометаллических соединений, включая твердые растворы [16, 21, 22]. В частности, гетерометаллические МОК-ВС и МОП на основе d- и f-металлов показали перспективность для создания оптических, сенсорных и магнитных устройств, продемонстрировали необычные каталитические свойства [9, 23, 24]. Так, авторы [25] синтезировали молекулярный твердый раствор двух кластерных соединений: Eu2Ti4–HOF и Eu2Ti3Cd–HOF, показавший высокую эффективность в фотокаталитическом разложении воды. На основе твердых растворов МОП РЗЭ предложены новые люминесцентные материалы [9]. Металлорганические полимеры, содержащие катионы Eu3+ и Tb3+, являются одними из наиболее эффективных люминесцентных датчиков температуры и хемосенсоров [26, 27].
С точки зрения создания МОК-ВС на основе координационных соединений РЗЭ наиболее привлекательными являются карбоксилатные комплексы [28]. Карбоксильные лиганды способны к координации металлоцентров различными способами (моно- и бидентатная, мостиковая координация), а также к образованию прочных водородных связей. Особенно склонны к образованию водородных связей между отдельными металлокомплексами соединения, содержащие амино- и гидроксикарбоксилатные лиганды, в том числе α-гидроксикарбоксилаты [29]. В то же время примеры МОК-ВС, образованных α-гидроксикарбоксилатами РЗЭ, достаточно ограничены.
Недавно была впервые решена структура кристаллических лактатов РЗЭ иттриевой подгруппы Ln(C3H5O3)3 · 2H2O (Ln = Y, Tb–Lu) [29, 30], строение которых позволяет отнести их к двумерным МОК-ВС. В этих соединениях координационное окружение центрального атома образовано тремя η2-координированными лактат-анионами и двумя молекулами воды (КЧ = 8). Атомы водорода α-гидроксильных групп и молекул воды участвуют в образовании водородных связей, связывающих молекулярные комплексы РЗЭ в слои.
В настоящей работе молекулярные кристаллы моноядерных лактатов РЗЭ предложено использовать в качестве основы для создания твердых растворов МОК-ВС с заданными люминесцентными и магнитными характеристиками [31, 32]. Особый интерес представляло создание твердых растворов на основе лактатов иттрия и диспрозия Yx–1Dyx(C3H5O3)3 · 2H2O, так как координационные полимеры и молекулярные соединения диспрозия обладают свойствами мономолекулярных магнитов, важных с точки зрения создания устройств спиновой электроники [33–35].
Несмотря на нахождение магнитных центров в координационных соединениях диспрозия на достаточно большом расстоянии (>5 Å), вопрос о наличии обменного взаимодействия между ними остается открытым. Дополнительного увеличения расстояния между магнитными центрами можно достичь путем получения разбавленных твердых растворов [36], например на основе МОП иттрия и диспрозия [37].
К настоящему времени влияние диамагнитного разбавления на магнитные свойства координационных соединений диспрозия в составе молекулярных МОК-ВС не рассматривалось, соответствующие твердые растворы моноядерных МОК-ВС не получали.
ЭКСПЕРИМЕНТАЛЬНАЯ ЧАСТЬ
В качестве исходных реагентов использовали YCl3 ∙ 6H2O (99.9 %, Ланхит), DyCl3 ∙ 6H2O (ч., Новосибирский завод редких металлов), гексаметилентетрамин (ГМТА, 99+%, Alfa Aesar) и L-молочную кислоту (80 %-ный водный раствор, Sigma Aldrich). Для приготовления растворов использовали деионизованную воду.
Синтез смешанных лактатов РЗЭ [Yx–1Dyx(C3H5O3)3(H2O)2] проводили по следующей методике: 60 мл водного раствора смеси хлоридов РЗЭ (суммарная концентрация катионов РЗЭ 1.7 × 10–2 моль/л, мольные соотношения Dy/Y = 0.01, 0.1, 0.5, 0.8), L-молочной кислоты (8.5 × 10–2 моль/л) и ГМТА (2.4 × 10–2 моль/л) помещали в стеклянный автоклав емкостью 120 мл и нагревали при 70°С в течение 24 ч. В результате были получены игольчатые кристаллы, которые отделяли от маточного раствора на стеклянном фильтре, несколько раз промывали дистиллированной водой и сушили при 50°С в течение суток. По аналогичной методике были получены индивидуальные лактаты [Dy(C3H5O3)3(H2O)2] и [Y(C3H5O3)3(H2O)2].
Для определения растворимости [Ln(C3H5O3)3(H2O)2] (Ln = Y, Dy) в пластиковый стакан, содержащий 10 мл деионизованной воды, добавляли кристаллы [Y(C3H5O3)3(H2O)2] (m = 0.0300 г) или [Dy(C3H5O3)3(H2O)2] (m = 0.0312 г). Стакан закрывали и оставляли на 7 сут при температуре 25°С, после чего из раствора отбирали пробы, фильтровали с помощью фильтров CHROMAFIL Xtra PTFE-20/13 (размер пор 0.2 мкм). Концентрацию Ln3+ определяли спектрофотометрически (СФ-2000, ОКБ “Спектр”, Россия) с помощью индикатора Арсеназо III на длине волны λ = 654 нм [38]. Предварительно растворением в 500 мл воды 28 г NaOH, 60 мл муравьиной кислоты и доведением объема полученного раствора до 1 л готовили формиатный буфер. Раствор Арсеназо III готовили растворением навески 50 мг индикатора в 100 мл воды. Калибровочный раствор YCl3 или DyCl3 (0.1000 M) готовили растворением 1.1291 г Y2O3 или 1.8635 г Dy2O3 (предварительно прокаленных при температуре 900°С в течение 5 ч) в 5 мл концентрированной соляной кислоты (1 : 1) при нагревании и последующем разбавлении водой до 50 мл. Для приготовления аналитической пробы смесь 500 мкл раствора Арсеназо III, 200 мкл формиатного буферного раствора и 1 мл иттрий- или диспрозийсодержащего раствора ([Ln3+] = 1 × 10–5–1.2 × 10–4 моль/л) доводили до 10 мл деионизованной водой.
Рентгенофазовый анализ (РФА) проводили на дифрактометре Bruker D8 Advance (CuKα-излучение, Ni-фильтр) в диапазоне углов 2θ 4°–55° с шагом 0.02° и накоплением не менее 0.5 с/шаг. Параметры элементарной ячейки уточняли по методу Ле Бейля с использованием программного обеспечения (ПО) TOPAS 4.2. ИК-спектры регистрировали на ИК-Фурье-спектрометре ИнфраЛЮМ ФТ-08 (Люмэкс) с алмазной приставкой НПВО Specac в диапазоне 400–4000 см–1 с разрешением 1 см–1 и в диапазоне 800–1200 см–1 с разрешением 0.25 см–1. Рентгеноспектральный микроанализ образцов проводили на растровом электронном микроскопе NVision 40 (Carl Zeiss, Германия), снабженном системой энергодисперсионного микроанализа X-Max (Oxford Instruments, Великобритания). Спектры комбинационного рассеяния регистрировали на микроскопе Confotec NR500 (SOL Instruments) с лазерным возбуждением 785 нм через объектив 20× (числовая апертура NA = 0.45) при мощности лазера ~2 мВт. Спектральное разрешение составляло ~0.7 см–1, размер светового пятна 1.4–1.7 мкм). Для определения положения максимумов полос в спектрах КР проводили деконволюцию спектров псевдофункциями Фокта с использованием ПО Fityk.
Магнитное поведение комплексов [Yx–1Dyx(C3H5O3)3(H2O)2] (x = 0.01, 0.1, 1) изучали методами статической и динамической магнитной восприимчивости на магнитометре PPMS-9 (QuantumDesign) в температурном диапазоне 2–300 K с использованием постоянного магнитного поля до 5000 Э. Для исследования динамической магнитной восприимчивости использовали переменные магнитные поля напряженностью 5, 3 и 1 Э в диапазонах частот переменного поля 10–100, 100–1000 и 1000–10000 Гц соответственно. Все исследования магнитного поведения проводили на поликристаллических измельченных образцах, запечатанных в полиэтиленовые пакеты и замороженных в минеральном масле [39]. Парамагнитную составляющую магнитной восприимчивости (χ) определяли с учетом как диамагнитного вклада самого образца, оцененного по константе Паскаля, так и диамагнитного вклада минерального масла и держателя.
РЕЗУЛЬТАТЫ И ОБСУЖДЕНИЕ
В результате гидротермальной обработки смеси растворов хлоридов РЗЭ (Y, Dy), ГМТА и L-молочной кислоты во всех случаях формировались сростки нитевидных кристаллов. На рис. 1 представлены порошковые дифрактограммы промытых, высушенных и перетертых кристаллических продуктов. Все полученные дифрактограммы идентичны и индицированы в пр. гр. P21, соответствующей симметрии структуры [Y(C3H5O3)3(H2O)2] [29]. Идентичность полученных рентгенограмм косвенно указывает на формирование изоструктурных однофазных твердых растворов.
Рис. 1. Рентгенограммы продуктов, полученных гидротермальной обработкой (70°С, 24 ч) смеси растворов ГМТА, L-молочной кислоты и хлоридов иттрия/диспрозия в различном соотношении: a – в отсутствие хлорида диспрозия, б – Y : Dy = 99 : 1, в – Y : Dy = 90 : 10, г – Y : Dy = 50 : 50, д – Y : Dy = 20 : 80, е – в отсутствие хлорида иттрия.
Важным фактором, обеспечивающим возможность формирования твердых растворов из водных растворов, является различие в растворимости индивидуальных компонентов. Значительные различия в растворимости могут привести к сильным отклонениям номинальных составов соединений от реальных значений [40]. В полученных нами образцах [Yx–1Dyx(C3H5O3)3(H2O)2], по данным РСМА (табл. 1), наблюдалось повышенное содержания диспрозия, что может указывать на меньшую растворимость в воде лактата диспрозия по сравнению с лактатом иттрия. Для установления возможной причины отклонения состава твердого раствора от номинального была определена растворимость компонентов, индивидуальных [Y(C3H5O3)3(H2O)2] и [Dy(C3H5O3)3(H2O)2].
Таблица 1. Данные РСМА для лактатов иттрия-диспрозия состава [Yx–1Dyx(C3H5O3)3(H2O)2]
Y : Dy | Содержание диспрозия (x) | |
номинальное | по данным РСМА | |
99 : 1 | 0.01 | 0.011 ± 0.001 |
90 : 10 | 0.1 | 0.113 ± 0.006 |
50 : 50 | 0.5 | 0.525 ± 0.005 |
20 : 80 | 0.8 | 0.830 ± 0.007 |
Растворимость [Y(C3H5O3)3(H2O)2] при 25°C определена как (0.189 ± 0.008 г)/100 г воды, а [Dy(C3H5O3)3(H2O)2] – (0.248 ± 0.009 г)/100 г воды. Полученные значения близки к растворимости при 20°C трехводных лактатов РЗЭ состава Y(C3H5O3)3(H2O)3 (0.13 г/100 г) и Dy(C3H5O3)3(H2O)3 (0.17 г/100), определенной ранее [41]. Пересчет экспериментально полученных значений растворимости дигидратов лактатов РЗЭ в концентрацию ионов Ln3+ для насыщенных водных растворов при 25°C дает следующие значения: [Y(C3H5O3)3(H2O)2] = = 0.0049 ± 0.0002 моль/л, [Dy(C3H5O3)3(H2O)2] = = 0.0052 ± 0.0002 моль/л, т.е. концентрации насыщенных растворов совпадают в пределах погрешности. Таким образом, отклонения реального состава образцов [Yx–1Dyx(C3H5O3)3(H2O)2] от номинальных значений обусловлены систематическими ошибками (вероятнее всего, ошибкой метода РСМА), а не разницей в растворимости [Y(C3H5O3)3(H2O)2] и [Dy(C3H5O3)3(H2O)2].
Подтверждением образования твердых растворов неорганических соединений является линейная зависимость между параметрами элементарной ячейки (ее объема) от состава [42]. Для МОК-ВС такие зависимости строят очень редко из-за трудностей при уточнении параметров элементарной ячейки для низкосимметричных систем, характеризующихся высокими значениями объема элементарной ячейки. Для твердых растворов МОК-ВС известны как линейные зависимости объема элементарной ячейки от состава [22, 43–46], так и положительные [47] или отрицательные отклонения от линейной зависимости [48, 49]. Наиболее часто факт образования твердых растворов доказывают косвенными или неадекватными методами (рентгеновская фотоэлектронная спектроскопия, локальный рентгеноспектральный микроанализ, ИК-спектроскопия, атомно-эмиссионный с индуктивно связанной плазмой анализ, растровая просвечивающая электронная микроскопия) [9, 27, 50, 51]. В редких случаях уточняют структуру ближайшего окружения металлоцентров методами EXAFS [9, 52].
Изоструктурность полученных соединений и образование ряда твердых растворов состава [Y1–xDyx(C3H5O3)3(H2O)2] были показаны путем уточнения параметров элементарных ячеек методом Ле Бейля (пр. гр. P21). Результаты уточнения представлены в табл. 2.
Таблица 2. Параметры элементарной ячейки лактатов иттрия-диспрозия состава [Yx–1Dyx(C3H5O3)3(H2O)2]
Y : Dy | a, Å | b, Å | c, Å | β, град | V, Å3 |
100 : 0 | 10.674(3) | 5.7490(9) | 13.2950(9) | 98.064(10) | 807.82(8) |
99 : 1 | 10.670(7) | 5.752(3) | 13.290(6) | 97.940(11) | 807.98(10) |
90 : 10 | 10.675(3) | 5.751(1) | 13.2990(13) | 98.071(5) | 808.31(9) |
50 : 50 | 10.681(2) | 5.7518(15) | 13.301(2) | 98.057(12) | 809.10(5) |
20 : 80 | 10.683(3) | 5.753(2) | 13.306(3) | 98.022(17) | 809.87(15) |
0 : 100 | 10.686(1) | 5.7559(9) | 13.3075(7) | 98.025(5) | 810.47(17) |
На рис. 2, S1 приведены зависимости уточненных параметров элементарной ячейки [Yx–1Dyx(C3H5O3)3(H2O)2] от катионного состава. Все полученные зависимости близки к линейным, при этом наибольшее значение коэффициента корреляции демонстрируют зависимости для объемов элементарной ячейки. Объем элементарной ячейки [Y1–xDyx(C3H5O3)3(H2O)2] линейно увеличивается с содержанием диспрозия, что указывает на равномерное расширение структуры МОК-ВС за счет замены катионов иттрия (r(Y3+) = 1.02 Å для КЧ = 8) на более крупные катионы диспрозия (r(Dy3+) = 1.03 Å для КЧ = 8) [53]. Полученные результаты подтверждают образование твердых растворов состава [Yx–1Dyx(C3H5O3)3(H2O)2].
Рис. 2. Зависимость от катионного состава объема элементарной ячейки лактатов РЗЭ [Y1–xDyx(C3H5O3)3(H2O)2], полученных гидротермальной обработкой (70°С, 24 ч) смеси растворов ГМТА, L-молочной кислоты и хлоридов иттрия/диспрозия в различном соотношении.
Методы КР- и ИК-спектроскопии широко используются для получения информации о составе и структуре координационных [9, 30, 54–57] и оксидных соединений РЗЭ [58–60]. Кроме того, эти взаимодополняющие методы позволяют подтвердить изоструктурность соединений вдоль ряда РЗЭ [54], в том числе для рядов твердых растворов [58, 59]. Использование комплементарных способов подтверждения формирования твердых растворов особенно важно для систем, уточнение параметров решетки которых не удается провести с достаточной точностью [61]. Отметим, что данные КР- и ИК-спектроскопии могут представлять особую ценность при анализе твердых растворов катионов с очень близкими ионными радиусами (например, иттрия и диспрозия), но разной атомной массой (Ar(Y3+) = 88.9 а.е.м., Ar(Dy3+) = 162.5 а.е.м.), поскольку масса катионов оказывает существенное влияние на значения силовых констант связей и тем самым на положение соответствующих спектральных полос.
ИК-спектры полученных индивидуальных и смешанных лактатов иттрия и диспрозия (рис. 3а) идентичны и совпадают с результатами анализа кристаллических лактатов РЗЭ состава [Ln(C3H5O3)3(H2O)2] (Ln = Y, Tb–Lu) [30]. В области 3000–3500 см–1 наблюдаются полосы валентных OH-колебаний, включая колебания молекул кристаллизационной воды (~3420 cм–1) и α-гидроксильных групп (~3200 cм–1). При 3000 см–1 расположены малоинтенсивные полосы валентных CH-колебаний лактат-аниона. В диапазоне 500–1700 см–1 наблюдаются характеристические полосы колебаний лактат-аниона [62–64], среди которых можно выделить полосы колебаний с участием атомов карбоксильной группы (~1590, 1415 и 865 cм–1), α-гидроксильной (~1270 и 1125 cм–1) и метильной (~1475, 1320, 1050 и 934 cм–1) групп. В диапазоне 400–800 см–1 наблюдаются составные полосы поглощения.
Рис. 3. Обзорные ИК-спектры твердых растворов кристаллических лактатов РЗЭ состава [Y1–xDyx(C3H5O3)3(H2O)2] (а): x = 0, x = 0.01, x = 0.1, x = 0.5, x = 0.8, x = 1. Фрагменты ИК-спектров твердых растворов кристаллических лактатов иттрия и диспрозия в диапазонах: 870–860 см–1 (б) и 1130–1120 см–1 (в). Обозначения: ν – валентные колебания, as – асимметричные колебания, s – симметричные колебания, δ – деформационные колебания, AL – колебания гидроксильной группы лактата, r – маятниковые колебания, w – веерные колебания.
Ранее было показано, что в ряду кристаллических лактатов Tb–Lu в зависимости от атомного номера РЗЭ наблюдается закономерное смещение (на 2–3 см–1) положения полос деформационных колебаний карбоксильной группы (δCOO–, 865 cм–1) и валентных C–O-колебаний α-гидроксильной группы (νALCO, 1125 cм–1) [30]. Анализ экспериментальных данных, полученных в этой работе, также указывает на некоторое различие (на ~0.7 см–1) в положении этих полос для лактатов иттрия и диспрозия (рис. 3б, 3в), однако это различие сопоставимо с разрешающей способностью ИК-спектрометра (0.25 см–1), что не позволяет судить о его достоверности.
На рис. 4а приведены КР-спектры ряда твердых растворов [Y1–xDyx(C3H5O3)3(H2O)2]. За исключением низкочастотного диапазона (100–300 см–1), спектры практически идентичны. В области 300–1470 см–1 активны колебания лактат-аниона, в том числе δALOH, νALCO, νC–CO2–, δCH и др. [64]. Поскольку в литературе отсутствуют данные о характеристиках КР-спектров лактатов РЗЭ, отнесение частот (табл. 3) выполнено с учетом спектроскопических характеристик лактата натрия [64], формиатов [54–56], ацетатов [57] и оксидов РЗЭ [58–60]. В области малых значений рамановского сдвига (100–300 см–1) наблюдаются полосы валентных и деформационных колебаний Ln–O [54, 58], торсионных колебаний лиганда [54, 64], колебания кристаллической решетки [54], а также комбинации (сумма или разность) различных низкочастотных и высокочастотных колебаний [54].
Рис. 4. Обзорные КР-спектры твердых растворов кристаллических лактатов РЗЭ состава [Y1–xDyx(C3H5O3)3(H2O)2] (а): x = 0, x = 0.01, x = 0.1, x = 0.5, x = 0.8, x = 1. Фрагмент КР-спектров кристаллических лактатов иттрия и диспрозия в диапазоне 140–170 см–1 (б). Линейная аппроксимация положения максимума полосы в диапазоне 150–160 см–1 (предположительно, мода колебаний Ln–O) (в). Обозначения: ν – валентные колебания, as – асимметричные колебания, s – симметричные колебания, δ – деформационные колебания, AL – колебания гидроксильной группы лактата, r – маятниковые колебания, w – веерные колебания.
Таблица 3. Положения максимума, максимальное различие в положениях максимума (Δx) и отнесение полос в спектрах КР для кристаллических лактатов иттрия-диспрозия [Y1–xDyx(C3H5O3)3(H2O)2] различного состава. Обозначения: ν – валентные колебания, as – асимметричные колебания, s – симметричные колебания, δ – деформационные колебания, AL – колебания гидроксильной группы лактат-аниона, r – маятниковые колебания, ρ – крутильные колебания, t – торсионные колебания.
x | Δx | Отнесение полосы | Ссылка | |||||
1 | 0.8 | 0.5 | 0.1 | 0.01 | 0 | |||
1470.0 | 1470.3 | 1470.8 | 1471.3 | 1470.3 | 1470.6 | 1.3 | δasCH νasCO2– + ρCH3 + νC–C | [64] [57] |
1453.9 | 1456.2 | 1456.1 | 1455.8 | 1454.9 | 1455.1 | 2.2 | δasCH3 | [64] |
1434.7 | 1435.0 | 1435.2 | 1435.3 | 1435.0 | 1435.0 | 0.6 | δasCH3+ νasCO2– + ρCH3 | [57] |
1420.2 | 1419.8 | 1420.2 | 1421.2 | 1420.6 | 1420.8 | 1.4 | δsCO2– | [64] |
1367.3 | 1367.6 | 1367.8 | 1368.1 | 1367.6 | 1367.6 | 0.8 | δsCH3 | [64] |
1322.3 | 1322.8 | 1322.9 | 1323.0 | 1322.7 | 1322.8 | 0.7 | δCH | [64] |
1285.8 | 1286.3 | 1286.6 | 1286.9 | 1286.1 | 1286.4 | 1.1 | δCH | [64] |
1262.8 | 1263.0 | 1264.1 | 1264.0 | 1263.0 | 1263.0 | 1.3 | δALOH | [64] |
1115.3 | 1116.0 | 1116.1 | 1116.4 | 1115.7 | 1115.7 | 1.1 | rCH, νALCO | [64] |
1098.8 | 1099.3 | 1099.5 | 1099.8 | 1099.2 | 1099.4 | 1.0 | νALCO | [64] |
1050.0 | 1050.6 | 1050.7 | 1051.0 | 1050.8 | 1050.5 | 1.0 | νC–CH3 ρCH3 + νsCO2– | [64] [57] |
933.8 | 934.3 | 934.6 | 934.8 | 934.5 | 934.4 | 0.9 | rCH3 | [64] |
869.3 | 869.9 | 870.1 | 870.3 | 870.1 | 870.0 | 1.0 | νC–CO2– | [64] |
772.7 | 773.3 | 773.6 | 773.9 | 773.6 | 773.6 | 1.2 | δCO2– | |
653.4 | 654.0 | 653.9 | 654.4 | 654.2 | 653.9 | 1.0 | δC–COH | [64] |
628.5 | 629.1 | 629.2 | 629.5 | 629.3 | 629.1 | 1.0 | ||
553.2 | 554.0 | 554.1 | 554.5 | 554.2 | 553.9 | 1.2 | wCO2– ρ(H2O) | [64] [55] |
490.3 | 491.1 | 491.5 | 492.2 | 491.3 | 491.5 | 1.9 | ||
458.8 | 459.8 | 459.9 | 460.0 | 460.3 | 459.9 | 1.5 | νLnO + ρCO2– + δLnOC | [57] |
416.7 | 417.3 | 417.5 | 418.5 | 418.4 | 418.0 | 1.8 | rCO2– | [64] |
404.1 | 405.1 | 405.0 | 405.5 | 404.9 | 405.2 | 1.4 | ||
301.3 | 301.9 | 302.6 | 302.3 | 304.4 | 303.6 | 3.1 | νLnO | [54] |
285.7 | 287.0 | 288.4 | 288.5 | 290.7 | 290.6 | 5.0 | tCCC | [64] |
244.4 | 248.5 | 252.8 | 254.1 | 253.0 | 252.3 | 9.7 | Кристаллическая решетка | [54] |
221.8 | 225.4 | 230.6 | 232.8 | 232.6 | 232.5 | 11.1 | νLnO + δLnO2 Кристаллическая решетка | [57] [54] |
207.1 | 208.2 | 210.0 | 215.1 | 214.2 | 214.2 | 8.0 | νLnO Кристаллическая решетка | [55] [54] |
184.0 | 185.7 | 187.1 | 189.1 | 188.7 | 188.7 | 5.0 | » | [54] |
151.0 | 153.3 | 155.2 | 157.8 | 158.0 | 157.8 | 6.9 | » δLnO3 LnOC | [54] [65] [56] |
125.6 | 126.0 | 127.9 | 128.7 | 127.3 | 127.6 | 3.1 | δLnO2 (гидр.) | [57] |
110.3 | 110.5 | 110.1 | 110.3 | 110.1 | 110.2 | 0.4 | δ(LnO8) | [55] |
Различия в КР-спектрах полученных соединений наблюдаются в области 100–300 см–1 и проявляются в положении (табл. 3) и интенсивности полос колебательных мод (рис. S2). Указанная область является сверхчувствительной к окружению центрального атома в координационных соединениях РЗЭ, поскольку в ней проявляются моды колебаний связей Ln–O, поляризуемость и силовые константы которых определяются в том числе массой и размером катиона РЗЭ. Так, для формиатов РЗЭ состава Ln(HCOO)3 (Ln = La, Pr, Nd, Gd, Tb and Y) в области 100–350 см–1 наблюдается обратно пропорциональная зависимость положения полос от объема элементарной ячейки (различия достигают 50 см–1) [54]. Положение полос в этом диапазоне чувствительно и к легированию. Так, легирование оксида иттрия катионами Dy3+ приводит к сдвигу положения характеристических оптических мод колебаний связей Ln–O в диапазоне 100–600 см–1, увеличению интенсивности некоторых из них и даже к появлению дополнительной полосы [58]. Аналогичным образом легирование CeO2 катионами Dy, Sm, Gd и Y приводит к линейному изменению положения полос оптических мод Ag + Fg (360–385 см–1) и F2g (470–495 см–1) в зависимости от ионного радиуса РЗЭ [59]. В связи с этим для лактатов иттрия-диспрозия можно ожидать наличие корреляции между положением полос в низкочастотной области КР-спектров и составом твердых растворов.
Анализ полученных нами данных показывает (табл. 3), что в зависимости от состава лактатов иттрия-диспрозия [Y1–xDyx(C3H5O3)3(H2O)2] наблюдается изменение (до 7 см–1) положения полосы с максимумом в области 150–160 см–1 (рис S2). Эту полосу можно отнести к одной из мод колебаний кислородного полиэдра LnO8 в составе молекулярного лактата иттрия-диспрозия (табл. 3). На рис. 4б приведен вид указанной полосы для составов [Y1–xDyx(C3H5O3)3(H2O)2], где x = 0, 0.01, 0.1, 0.5, 0.8 и 1, при этом положение данной полосы практически линейно зависит от коэффициента x (рис. 4в), что можно связать с изменением силовой константы колебания Ln–O при замене катионов иттрия на более тяжелые катионы диспрозия. Полученный результат может служить дополнительным доказательством образования твердых растворов в анализируемой системе.
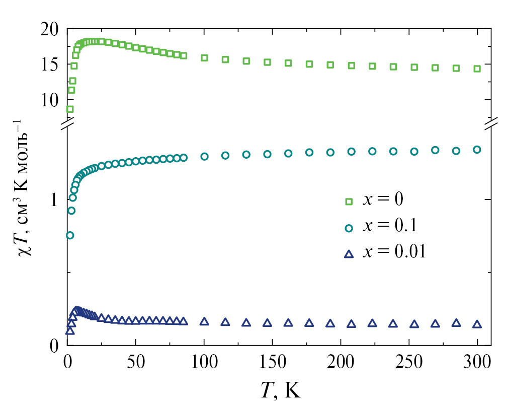
Кристаллические твердые растворы молекулярных комплексов РЗЭ могут быть интересны с точки зрения создания магнитных материалов, демонстрирующих эффект магнитного разбавления. Магнитные свойства полученных в настоящей работе соединений были проанализированы в диапазоне температур 2–300 K во внешнем магнитном поле напряженностью 5 кЭ (рис. 5). Экспериментально определенные значения χmT (300 K) удовлетворительно согласуются с теоретическими для магнитно-изолированных ионов Dy3+ (табл. 4). Для [Dy(C3H5O3)3(H2O)2] значения χmT увеличиваются с понижением температуры, достигая максимума (18.17 см3 K моль–1) при 18 K, а затем уменьшаются до 8.64 см3 K моль–1 при 2 K. Соединение [Y0.9Dy0.1(C3H5O3)3(H2O)2] демонстрирует незначительное уменьшение значения χmT при понижении температуры от 300 до 70 K, которое становится более существенным при дальнейшем охлаждении материала, а при 10 K наблюдается уже существенное значительное уменьшение значения χmT до 0.75 см3 K моль–1 при 2 K. В целом вид зависимости χmT(T) для [Y0.9Dy0.1(C3H5O3)3(H2O)2] характерен для материалов, содержащих магнитно-изолированные катионы диспрозия. Эффект магнитного разбавления наблюдается для комплексов диспрозия с объемными лигандами [66, 67] либо для твердых растворов, в которых катионы Dy3+ распределены в диамагнитной матрице. Оценка среднего расстояния Dy…Dy в кристаллическом [Y0.9Dy0.1(C3H5O3)3(H2O)2], проведенная по структурным данным, привела к значению 19.2 Å, что значительно превышает аналогичную величину для индивидуального лактата диспрозия (7.35 Å) и позволяет отнести указанный твердый раствор к соединению с изолированными магнитными центрами.
Рис. 5. Температурные зависимости χT для соединений [Y1–xDyx(C3H5O3)3(H2O)2], где x = 1, 0.1 и 0.01 (H = 5000 Э).
Таблица 4. Экспериментальные значения χmT для соединений [Y1–xDyx(C3H5O3)3(H2O)2] и теоретические значения χmT для изолированных ионов Dy3+
x | χmT (300 K) | χmT (теор., 300 K) | χmT (2K) |
см3 моль–1 K | |||
1 | 14.33 | 14.17 | 8.64 |
0.1 | 1.34 | 1.42 | 0.75 |
0.01 | 0.14 | 0.14 | 0.10 |
Отметим, что уменьшение относительного содержания диспрозия в составе твердого раствора до 1 ат. % приводит к тому, что зависимость χmT от температуры становится аналогичной таковой для [Dy(C3H5O3)3(H2O)2], но положение максимума смещается в область более низких температур (7 K). Такое поведение системы нехарактерно для магнитно-изолированных материалов и может быть обусловлено эффектом Зеемана в сильном магнитном поле, где осуществляют измерение.
Наличие медленной релаксации намагниченности у координационных соединений диспрозия является необходимым признаком мономолекулярного магнетизма. С целью поиска и определения характеристик медленной релаксации намагниченности у комплексов [Y1–xDyx(C3H5O3)3(H2O)2] были проведены измерения динамической магнитной восприимчивости и получены частотные зависимости действительной (χʹ) и мнимой (χʺ) составляющих магнитной восприимчивости в магнитных полях до 5000 Э при 6 K (рис. S3–S5).
В нулевом магнитном поле для всех образцов на частотных зависимостях χʺ наблюдали ненулевой сигнал, что указывает на наличие медленной релаксации намагниченности [68] (рис. S3–S5). С целью уменьшения возможного влияния квантового туннелирования намагниченности (КТН), способного увеличить скорость магнитной релаксации, были проведены измерения χʺ(ν) во внешних магнитных полях различной напряженности до 5000 Э для [Y1–xDyx(C3H5O3)3(H2O)2], где x = 0.01, 0.1 и 1 (рис. S3–S5). Во всех случаях внешнее магнитное поле позволило сместить максимум зависимости χʺ(ν) в низкочастотную область, что соответствовало увеличению времени релаксации намагниченности. Оптимальное магнитное поле, соответствующее наибольшим временам релаксации, составило 2500 Э для [Dy(C3H5O3)3(H2O)2], 1500 Э для [Y0.9Dy0.1(C3H5O3)3(H2O)2] и 1000 Э для [Y0.99Dy0.01(C3H5O3)3(H2O)2] (рис. S3–П5).
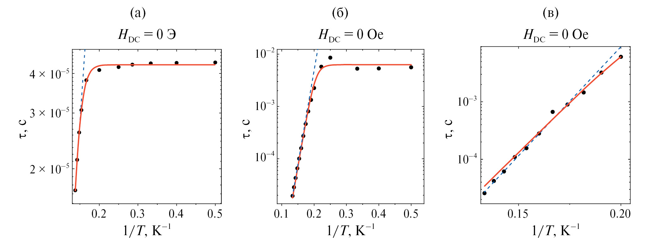
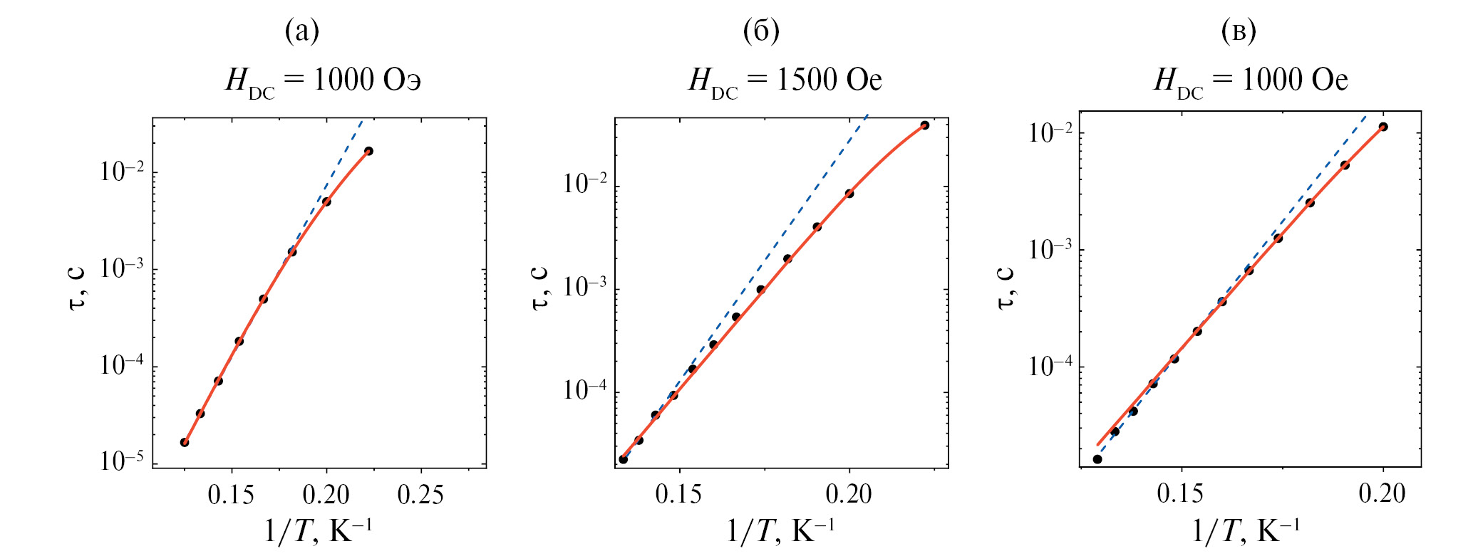
Для определения численных характеристик релаксации намагниченности были получены зависимости χʹ(ν) и χʺ(ν) для набора фиксированных температур (2–8 K) в нулевом (рис. S6–S8) и оптимальном (рис. S9–S11) магнитном поле. Аппроксимация полученных изотерм χʺ(ν) в рамках обобщенной модели Дебая позволила получить зависимости времени релаксации от обратной температуры τ(1/T) в нулевом (рис. 6) и оптимальном магнитном поле (рис. 7).
Рис. 6. Зависимость времен релаксации от обратной температуры τ(1/T) в нулевом магнитной поле для [Dy(C3H5O3)3(H2O)2] (а), [Y0.9Dy0.1(C3H5O3)3(H2O)2] (б) и [Y0.99Dy0.01(C3H5O3)3(H2O)2] (в). Синяя линия – аппроксимация высокотемпературной части уравнением Аррениуса. Красная линия – аппроксимация суммой процессов релаксации Орбаха и КТН.
Рис. 7. Зависимость времен релаксации от обратной температуры τ(1/T) в ненулевом поле для а) [Dy(C3H5O3)3(H2O)2], б) [Y0.9Dy0.1(C3H5O3)3(H2O)2], в) [Y0.99Dy0.01(C3H5O3)3(H2O)2] Синяя линия – аппроксимация высокотемпературной части уравнением Аррениуса. Красная линия – аппроксимация суммой (а) процессов Орбаха и Рамана, (б, в) процесса Орбаха и прямого процесса релаксации.
В нулевом постоянном поле (рис. 6) для всех соединений наилучшее описание экспериментальных данных τ(1/Т) было получено в приближении реализации механизмов релаксации Орбаха и КТН. В оптимальном постоянном магнитном поле магнитная релаксация для [Dy(C3H5O3)3(H2O)2] (рис. 7а) была описана наилучшим образом сочетанием процессов Орбаха и Рамана. В аналогичных условиях для [Y0.9Dy0.1(C3H5O3)3(H2O)2] (рис. 7б) и [Y0.99Dy0.01(C3H5O3)3(H2O)2] (рис. 7в) магнитная релаксация протекала по прямому механизму и по процессу Орбаха. В табл. 5 приведены параметры аппроксимации релаксации намагниченности для полученных соединений в нулевом и оптимальном магнитном поле.
Таблица 5. Параметры релаксации намагниченности для [Y1–xDyx(C3H5O3)3(H2O)2], где x = 0.01, 0.1 и 1
Магнитное поле, Э | [Y1–xDyx(C3H5O3)3(H2O)2] | ||||||
x = 1 | x = 0.1 | x = 0.01 | |||||
0 | 2500 | 0 | 1500 | 0 | 1000 | ||
Орбах | ΔE/kB, K | 40.6 | 94 | 82.9 | 108 | 87 | 100 |
τ0, с | 6.4 × 10–8 | 1.26 × 10–10 | 3.1 × 10–10 | 1.0 × 10–11 | 2.0 × 10–11 | 4.1 × 10–11 | |
Орбах + Раман | С, K–nRaman с–1 | 0.086 | |||||
nRaman | 4.2 | ||||||
ΔE/kB, K | 93 | ||||||
τ0, с | 1.4 × 10–10 | ||||||
Орбах + прямой | A | 5.0 × 10–13 | 3.3 × 10–12 | ||||
ndirect | 4 | 4 | |||||
ΔE/kB, K | 90.0 | 91.2 | |||||
τ0, с | 1.5 × 10–10 | 1.7 × 10–10 | |||||
Орбах + КТН | BQTM | 23466 | 158.8 | 31.6 | |||
ΔE/kB, K | 85 | 83 | 87 | ||||
τ0, с | 2.25 × 10–10 | 2.8 × 10–10 | 2.4 × 10–10 | ||||
Зависимости τ(1/T) для [Y0.99Dy0.01(C3H5O3)3(H2O)2] в нулевом (рис. 6в) и оптимальном (рис. 7в) поле практически совпадают. Для [Dy(C3H5O3)3(H2O)2] (рис. 6а) и [Y0.9Dy0.1(C3H5O3)3(H2O)2] (рис. 6б) в нулевом магнитном поле при температурах до 5 K релаксация сильно подавляется квантовым туннелированием, а для [Y0.99Dy0.01(C3H5O3)3(H2O)2] (рис. 6в) влияние квантового туннелирования существенно меньше. В аппроксимации механизмом Орбаха (табл. 5) для всей серии [Y1–xDyx(C3H5O3)3(H2O)2] значения барьера перемагничивания возрастают (40.6–108 K) при подавлении КТН в магнитном поле, но в случае [Y0.99Dy0.01(C3H5O3)3(H2O)2] разрыв между ΔE/kB (13 K) при нулевом и оптимальном постоянном поле ниже, чем для [Y0.9Dy0.1(C3H5O3)3(H2O)2] (25.1 K) и [Dy(C3H5O3)3(H2O)2] (53.4 K). Полученные результаты указывают на то, что среди синтезированных твердых растворов наиболее эффективное магнитное разбавление достигнуто для кристаллов [Y0.99Dy0.01(C3H5O3)3(H2O)2].
ЗАКЛЮЧЕНИЕ
На примере [Y1–xDyx(C3H5O3)3(H2O)2] (x = 0, 0.01, 0.1, 0.5, 0.8 и 1) впервые получены твердые растворы кристаллических молекулярных лактатов редкоземельных элементов, которые можно отнести к классу органических каркасов РЗЭ, образованных водородными связями. Впервые определена растворимость соединений [Y(C3H5O3)3(H2O)2] и [Dy(C3H5O3)3(H2O)2] в воде при 25°С, которая составила 0.189 и 0.248 г/100 г воды соответственно. Показано линейное изменение объема элементарной ячейки соединений [Y1–xDyx(C3H5O3)3(H2O)2] от их состава (x), а также линейная зависимость положения полосы (151–158 см–1) в спектрах комбинационного рассеяния этих соединений от их состава. Результаты магнитных измерений методами статической и динамической магнитной восприимчивости позволяют утверждать, что твердые растворы [Y1–xDyx(C3H5O3)3(H2O)2] являются мономолекулярными магнитами и могут демонстрировать эффект магнитного разбавления.
ФИНАНСИРОВАНИЕ РАБОТЫ
Работа выполнена при финансовой поддержке Российского научного фонда (грант № 22-73-00041) с использованием оборудования ЦКП ФМИ ИОНХ РАН.
КОНФЛИКТ ИНТЕРЕСОВ
Авторы заявляют, что у них нет конфликта интересов.
ДОПОЛНИТЕЛЬНАЯ ИНФОРМАЦИЯ
Онлайн-версия содержит дополнительные материалы, доступные по адресу: https://doi.org/10.31857/S0044457X24100037
About the authors
M. V. Golikova
Kurnakov Institute of General and Inorganic Chemistry of the Russian Academy of Sciences
Email: yapryntsev@igic.ras.ru
Russian Federation, Moscow, 119991
A. D. Yapryntsev
Kurnakov Institute of General and Inorganic Chemistry of the Russian Academy of Sciences
Author for correspondence.
Email: yapryntsev@igic.ras.ru
Russian Federation, Moscow, 119991
M. A. Teplonogova
Kurnakov Institute of General and Inorganic Chemistry of the Russian Academy of Sciences; Lomonosov Moscow State University
Email: yapryntsev@igic.ras.ru
Russian Federation, Moscow, 119991; Moscow, 119991
K. A. Babeshkin
Kurnakov Institute of General and Inorganic Chemistry of the Russian Academy of Sciences
Email: yapryntsev@igic.ras.ru
Russian Federation, Moscow, 119991
N. N. Efimov
Kurnakov Institute of General and Inorganic Chemistry of the Russian Academy of Sciences
Email: yapryntsev@igic.ras.ru
Russian Federation, Moscow, 119991
A. E. Baranchikov
Kurnakov Institute of General and Inorganic Chemistry of the Russian Academy of Sciences
Email: yapryntsev@igic.ras.ru
Russian Federation, Moscow, 119991
V. K. Ivanov
Kurnakov Institute of General and Inorganic Chemistry of the Russian Academy of Sciences; Lomonosov Moscow State University
Email: yapryntsev@igic.ras.ru
Russian Federation, Moscow, 119991; Moscow, 119991
References
- Deng W., Chen J., Yang L. et al. // Small. 2021. V. 17. № 35. P. 2101058. https://doi.org/10.1002/smll.202101058
- Bang J., Kim H.-S., Kim D.H. et al. // J. Alloys Compd. 2022. V. 920. P. 166028. https://doi.org/10.1016/j.jallcom.2022.166028
- Kusada K., Wu D., Kitagawa H. // Chem. – Eur. J. 2020. V. 26. № 23. P. 5105. https://doi.org/10.1002/chem.201903928
- Бузанов Г.А., Нипан Г.Д. // Журн. неорган. химии. 2023. Т. 68. № 12. С. 1816. https://doi.org/10.31857/S0044457X23601566. Buzanov G.A., Nipan G.D. // Russ. J. Inorg. Chem. 2023. V. 68. № 12. P. 1834. https://doi.org/10.1134/S0036023623602337
- Гуськов А.В., Гагарин П.Г., Гуськов В.Н. и др. // Журн. неорган. химии. 2023. Т. 68. № 11. С. 1599. https://doi.org/10.31857/S0044457X23601128
- Эллерт О.Г., Попова Е.Ф., Кирдянкин Д.И. и др. // Журн. неорган. химии. 2023. Т. 68. № 10. С. 1339. https://doi.org/10.31857/S0044457X23600937
- Lusi M. // CrystEngComm. 2018. V. 20. № 44. P. 7042. https://doi.org/10.1039/C8CE00691A
- Tsunashima R. // CrystEngComm. 2022. V. 24. № 7. P. 1309. https://doi.org/10.1039/D1CE01632F
- Chen J., Gao H., Tao Z. et al. // Coord. Chem. Rev. 2023. V. 485. P. 215121. https://doi.org/10.1016/j.ccr.2023.215121
- Newsome W.J., Ayad S., Cordova J. et al. // J.Am. Chem. Soc. 2019. V. 141. № 28. P. 11298. https://doi.org/10.1021/jacs.9b05191
- Wong S.N., Chen Y.C.S., Xuan B. et al. // CrystEngComm. 2021. V. 23. № 40. P. 7005. https://doi.org/10.1039/D1CE00825K
- Wei W., He L., Han G. et al. // Coord. Chem. Rev. 2024. V. 507. P. 215760. https://doi.org/10.1016/j.ccr.2024.215760
- Wang H.-L., Ma X.-F., Zhu Z.-H. et al. // Inorg. Chem. Front. 2019. V. 6. № 10. P. 2906. https://doi.org/10.1039/C9QI00582J
- Сартакова А.В., Макаренко А.М., Куратьева Н.В. и др. // Журн. неорган. химии. 2023. Т. 68. № 9. С. 1217. https://doi.org/10.31857/S0044457X23600718
- Li Y.-L., Wang H.-L., Zhu Z.-H. et al. // iScience. 2022. V. 25. № 11. P. 105285. https://doi.org/10.1016/j.isci.2022.105285
- Пушихина О.С., Карпова Е.В., Царев Д.А. и др. // Журн. неорган. химии. 2023. Т. 68. № 9. С. 1324. https://doi.org/10.31857/S0044457X23601189
- Rozes L., Sanchez C. // Chem. Soc. Rev. 2011. V. 40. № 2. P. 1006. https://doi.org/10.1039/c0cs00137f
- Zhu Z.-H., Wang H.-L., Zou H.-H. et al. // Dalton Trans. 2020. V. 49. № 31. P. 10708. https://doi.org/10.1039/D0DT01998D
- An Y., Lv X., Jiang W. et al. // Green Chem. Eng. 2024. V. 5. № 2. P. 187. https://doi.org/10.1016/j.gce.2023.07.004
- Li Y.-L., Wang H.-L., Chen Z.-C. et al. // Chem. Eng. J. 2023. V. 451. P. 138880. https://doi.org/10.1016/j.cej.2022.138880
- Lusi M. // Cryst. Growth Des. 2018. V. 18. № 6. P. 3704. https://doi.org/10.1021/acs.cgd.7b01643
- Adams C.J., Haddow M.F., Lusi M. et al. // Proc. Natl. Acad. Sci. 2010. V. 107. № 37. P. 16033. https://doi.org/10.1073/pnas.0910146107
- Bünzli J.-C.G., Piguet C. // Chem. Rev. 2002. V. 102. № 6. P. 1897. https://doi.org/10.1021/cr010299j
- Wang H.-L., Zhu Z.-H., Peng J.-M. et al. // J. Clust. Sci. 2022. V. 33. № 4. P. 1299. https://doi.org/10.1007/s10876-021-02084-7
- Chen R., Chen C.-L., Zhang H. et al. // Sci. China Chem. 2024. V. 67. № 2. P. 529. https://doi.org/10.1007/s11426-023-1847-x
- Zhang L., Xie Y., Xia T. et al. // J. Rare Earths. 2018. V. 36. № 6. P. 561. https://doi.org/10.1016/j.jre.2017.09.018
- Cui Y., Xu H., Yue Y. et al. // J. Am. Chem. Soc. 2012. V. 134. № 9. P. 3979. https://doi.org/10.1021/ja2108036
- Yoshinari N., Konno T. // Coord. Chem. Rev. 2023. V. 474. P. 214850. https://doi.org/10.1016/j.ccr.2022.214850
- Yapryntsev A.D., Baranchikov A.E., Churakov A.V. et al. // RSC Adv. 2021. V. 11. № 48. P. 30195. https://doi.org/10.1039/D1RA05923H
- Голикова М.В., Япрынцев А.Д., Цзя Ч. и др. // Журн. неорган. химии. 2023. Т. 68. № 10. С. 1422. https://doi.org/10.31857/S0044457X23601050. Golikova M.V., Yapryntsev A.D., Jia Z. et al. // Russ. J. Inorg. Chem. 2023. V. 68. № 10. P. 1414. https://doi.org/10.1134/S0036023623601800
- Cruz-Navarro A., Hernández-Romero D., Flores-Parra A. et al. // Coord. Chem. Rev. 2021. V. 427. P. 213587. https://doi.org/10.1016/j.ccr.2020.213587
- Yin X., Deng L., Ruan L. et al. // Materials. 2023. V. 16. № 9. P. 3568. https://doi.org/10.3390/ma16093568
- Goodwin C.A.P. // Dalton Trans. 2020. V. 49. № 41. P. 14320. https://doi.org/10.1039/D0DT01904F
- Manna F., Oggianu M., Avarvari N. et al. // Magnetochemistry. 2023. V. 9. № 7. P. 190. https://doi.org/10.3390/magnetochemistry9070190
- Ashebr T.G., Li H., Ying X. et al. // ACS Mater. Lett. 2022. V. 4. № 2. P. 307. https://doi.org/10.1021/acsmaterialslett.1c00765
- Pointillart F., Bernot K., Golhen S. et al. // Angew. Chem. Int. Ed. 2015. V. 54. № 5. P. 1504. https://doi.org/10.1002/anie.201409887
- Hernández-Paredes A., Cerezo-Navarrete C., Gómez García C.J. et al. // Polyhedron. 2019. V. 170. P. 476. https://doi.org/10.1016/j.poly.2019.06.004
- Goryushina V.G., Savvin S.B., Romanova E.V. // Zh. Anal. Khim. 1963. https://www.osti.gov/biblio/4120261
- Petrosyants S.P., Ilyukhin A.B., Efimov N.N. et al. // Russ. J. Coord. Chem. 2018. V. 44. № 11. P. 660. https://doi.org/10.1134/S1070328418110064
- Prieto M. // Rev. Mineral. Geochem. 2009. V. 70. № 1. P. 47. https://doi.org/10.2138/rmg.2009.70.2
- Powell J.E., Farrell J.L. // Ames Lab. Technical report, 1962. https://doi.org/10.2172/4749791
- Jacob K.T., Raj S., Rannesh L. // Int. J. Mater. Res. 2007. V. 98. № 9. P. 776. https://doi.org/10.3139/146.101545
- Kozachuk O., Meilikhov M., Yusenko K. et al. // Eur. J. Inorg. Chem. 2013. V. 2013. № 26. P. 4546. https://doi.org/10.1002/ejic.201300591
- Vujovic D., Raubenheimer H.G., Nassimbeni L.R. // Eur. J. Inorg. Chem. 2004. V. 2004. № 14. P. 2943. https://doi.org/10.1002/ejic.200300794
- Yeung H.H. ‐M., Li W., Saines P.J. et al. // Angew. Chem. Int. Ed. 2013. V. 52. № 21. P. 5544. https://doi.org/10.1002/anie.201300440
- Zakharov B.A., Gribov P.A., Matvienko A.A. et al. // Z. Für Krist. – Cryst. Mater. 2017. V. 232. № 11. P. 751. https://doi.org/10.1515/zkri-2016-2038
- Zurawski A., Mai M., Baumann D. et al. // Chem. Commun. 2011. V. 47. № 1. P. 496. https://doi.org/10.1039/C0CC02093A
- Soares-Santos P.C.R., Cunha-Silva L., Paz F.A.A. et al. // Cryst. Growth Des. 2008. V. 8. № 7. P. 2505. https://doi.org/10.1021/cg800153a
- Serre C., Millange F., Thouvenot C. et al. // J. Mater. Chem. 2004. V. 14. № 10. P. 1540. https://doi.org/10.1039/B312425H
- Duan T.-W., Yan B. // J. Mater. Chem. С. 2014. V. 2. № 26. P. 5098. https://doi.org/10.1039/C4TC00414K
- Zhang X., Li X., Gao W. et al. // Sustain. Energy Fuels. 2021. V. 5. № 16. P. 4053. https://doi.org/10.1039/D1SE00658D
- Ronda‐Lloret M., Pellicer‐Carreño I., Grau‐Atienza A. et al. // Adv. Funct. Mater. 2021. V. 31. № 29. P. 2102582. https://doi.org/10.1002/adfm.202102582
- Shannon R.D. // Acta Crystallogr., Sect. A. 1976. V. 32. № 5. P. 751. https://doi.org/10.1107/S0567739476001551
- Silva E.N., Moura M.R., Ayala A.P. et al. // J. Raman Spectrosc. 2009. V. 40. № 8. P. 954. https://doi.org/10.1002/jrs.2207
- Kaminskii A.A., Bohat L., Becker P. et al. // Phys. Status Solidi A. 2004. V. 201. № 14. P. 3200. https://doi.org/10.1002/pssa.200406893
- Kartha V.B., Venkateswaran S. // Spectrochim. Acta, Part Mol. Spectrosc. 1981. V. 37. № 11. P. 927. https://doi.org/10.1016/0584-8539(81)80017-7
- Yang Y., Zhang Q., Luo L. // J. Common Met. 1989. V. 148. № 1–2. P. 187. https://doi.org/10.1016/0022-5088(89)90026-X
- Mariscal-Becerra L., Acosta-Najarro D., Falcony-Guajardo C. et al. // J. Nanophotonics. 2018. V. 12. № 2. P. 1. https://doi.org/10.1117/1.JNP.12.026018
- Artini C., Carnasciali M.M., Plaisier J.R. et al. // Solid State Ionics. 2017. V. 311. P. 90. https://doi.org/10.1016/j.ssi.2017.09.016
- White W.B., Keramidas V.G. // Spectrochim. Acta, Part Mol. Spectrosc. 1972. V. 28. № 3. P. 501. https://doi.org/10.1016/0584-8539(72)80237-X
- El-Habib A., Brioual B., Zimou J. et al. // Mater. Sci. Semicond. Process. 2024. V. 176. P. 108287. https://doi.org/10.1016/j.mssp.2024.108287
- Socrates G. // Infrared and Raman characteristic group frequencies. Tables and charts, 2001.
- Maiwald M.M., Müller K., Heim K. et al. // New J. Chem. 2020. V. 44. № 39. P. 17033. https://doi.org/10.1039/D0NJ04291A
- Cassanas G., Morssli M., Fabrègue E. et al. // J. Raman Spectrosc. 1991. V. 22. № 7. P. 409. https://doi.org/10.1002/jrs.1250220709
- Mink J., Skripkin M.Yu., Hajba L. et al. // Spectrochim. Acta, Part A: Mol. Biomol. Spectrosc. 2005. V. 61. № 7. P. 1639. https://doi.org/10.1016/j.saa.2004.11.030
- Petrosyants S.P., Ilyukhin A.B., Babeshkin K.A. et al. // Russ. J. Coord. Chem. 2019. V. 45. № 8. P. 592. https://doi.org/10.1134/S1070328419080062
- Петросянц С.П., Бабешкин К.А., Илюхин А.Б. и др. // Коорд. химия. 2021. Т. 47. № 4. С. 208. https://doi.org/10.31857/S0132344X2104006X
- Новиков В.В., Нелюбина Ю.В. // Успехи химии. 2021. Т. 90. № 10. С. 1330.
Supplementary files









