Synthesis, Optical and Electrical Properties of High-Entropy Niobate (Mg0.2Cu0.2Ni0.2Co0.2Zn0.2)Nb2O6 with Columbite Structure
- Authors: Koroleva M.S.1, Maksimov V.S.1,2, Piir I.V.1
-
Affiliations:
- Institute of Chemistry of the Komi Science Center of the Ural Branch of the Russian Academy of Sciences
- Pitirim Sorokin Syktyvkar State University
- Issue: Vol 69, No 10 (2024)
- Pages: 1368-1374
- Section: СИНТЕЗ И СВОЙСТВА НЕОРГАНИЧЕСКИХ СОЕДИНЕНИЙ
- URL: https://journals.rcsi.science/0044-457X/article/view/281848
- DOI: https://doi.org/10.31857/S0044457X24100037
- EDN: https://elibrary.ru/JJJOHC
- ID: 281848
Cite item
Full Text
Abstract
The high-entropy niobate (Mg0.2Cu0.2Ni0.2Co0.2Zn0.2)Nb2O6 with a columbite structure was synthesized for the first time. A modified method of combustion solutions followed by high-temperature sintering was used. According to the diffuse reflectance spectra, the band gap of the direct electronic transition is 3.36 eV. Mixed electronic-ionic conductivity was determined. The total conductivity of the sample is 2.5 · 10–3 S/cm at 750°C and is comparable to Mg0.8Cu0.2Nb2O6.
Keywords
Full Text
ВВЕДЕНИЕ
В настоящее время вырос интерес к высокоэнтропийной оксидной керамике, обладающей уникальными свойствами (высокой ионной подвижностью Li+ и Na+ [1], высокими термоизоляционными свойствами [2], каталитическими свойствами [3], способностью выполнять роль матрицы для очистки от радиоактивных отходов [4] и др.) благодаря возможности распределения пяти и более типов катионов в соотношениях, близких к эквиатомным [5]. Повышение конфигурационной энтропии Sконфиг, максимум которой достигается при эквиатомном соотношении катионов в одной из катионных позиций структуры, приводит к уменьшению свободной энергии Гиббса и является одним из факторов, обеспечивающих возможность образования высокоэнтропийных сложных оксидов.
К настоящему времени известны высокоэнтропийные оксидные составы со структурой шпинели [3, 6], пирохлора [7, 8], флюорита [9], перовскита [10], однако отсутствуют сведения о получении высокоэнтропийных составов со структурой колумбита. Соединения со структурой колумбита описываются общей формулой A2+Nb2O6 (пр. гр. Pbcn), где A – двухвалентный катион (Ca, Cd, Zn, Mg, Ni, Mn, Co, Fe, Cu) с эффективным ионным радиусом (для КЧ = 6) r (А2+) ≤ 0.10 нм [11]. Исключением являются составы, имеющие две полиморфные модификации: CuNb2O6 (моноклинная (P21/c) и ромбическая (Pbcn) [12, 13]), CoNb2O6 и NiNb2O6 (структура рутила (P42/mnm), структура колумбита (Pbcn) при t > 800°С [14, 15]).
Индивидуальные соединения A2+Nb2O6 характеризуются интересными диэлектрическими свойствами в СВЧ-диапазоне (A = Zn, Mg, Co) [16, 17], некоторые из них обладают антиферромагнитным упорядочением при Т < 2–8 K (A = Co, Ni) [18], люминесцентными свойствами (A = Ca, Mg, Zn, Cd) [19], проявляют относительно высокую проводимость (A = Cu, Mn) [20, 21]. С целью увеличения диэлектрических показателей были исследованы нестехиометрические составы A1+xNb2O6 (A = Zn, Mg, Co; –0.04 ≤ x ≤ 0.04) [17] и твердые растворы Zn1–xMgxNb2O6 [22], Ni1–xZnxNb2O6 [23] и Zn(Nb1–xTax)2O6 [22]. Среди них наилучшие диэлектрические показатели имеет Zn(Nb0.6Ta0.4)2O6. Оптические свойства колумбитов зависят от природы катионов. Соединения проявляют люминесценцию в синей спектральной области длин волн, эффективность которой снижается с уменьшением радиуса катиона от Ca2+ до Mg2+ [24]. Колумбит MnNb2O6 проявляет кислородную проводимость [20] и может быть использован как электрод газового сенсора SO2 на основе YSZ [25], а CuNb2O6 в композиции с графеном может применяться как анодный материал для литий-ионных аккумуляторов [21].
Цель настоящей работы – получение высокоэнтропийного состава (Mg0.2Cu0.2Ni0.2Co0.2Zn0.2)Nb2O6 со структурой колумбита, изучение его оптических и электрических свойств.
ЭКСПЕРИМЕНТАЛЬНАЯ ЧАСТЬ
Синтез ниобата состава (Mg0.2Cu0.2Ni0.2Co0.2Zn0.2)Nb2O6 проводили из шихты, полученной модифицированным методом сжигания растворов (метод SCS с пропиткой), с последующим высокотемпературным прокаливанием при 1100°С (10 ч). Для синтеза использовали следующие кристаллогидраты нитратов металлов: Mg(NO3)2 ‧ 6H2O, Cu(NO3)2 ‧ 3H2O, Ni(NO3)2 ‧ 6H2O, Co(NO3)2 ‧ 6H2O, Zn(NO3)2 ‧ 6H2O (чистота 99.9 %), а также оксид ниобия Nb2O5 (чистота 99.99 %, размер агломератов 50–100 нм), в качестве восстановителя и органического топлива применяли лимонную кислоту. Нитраты металлов и оксид ниобия в стехиометрическом соотношении помещали в фарфоровую чашу. После плавления кристаллогидратов (при нагревании и перемешивании) добавляли лимонную кислоту, нагревали до сгорания смеси и получения порошкообразной шихты. Синтез образца соответствует описанию, представленному в работе [26].
Для выполнения фазового и локального анализа образца использовали дифрактометр Shimadzu XRD-6000 (CuKα-излучение, 2θ = 10°–100°, шаг 0.05°, время экспозиции 5 с) и сканирующий электронный микроскоп TESCAN VEGA 3SBU, совмещенный с энергодисперсионным микроанализатором X-act. Микрофотография отполированной поверхности керамики была получена в режиме упругоотраженных электронов (режим BSE). На поверхность таблетки предварительно напыляли углерод. Для полнопрофильного анализа рентгенограммы по методу Ритвельда был применен пакет программ FullProf. Диффузные спектры отражения получали на спектрофотометре Shimadzu UV-2600, оснащенном интегрирующей сферой ISR-2600i.
Электрические свойства керамики исследовали двухконтактным методом импеданс-спектроскопии (анализатор иммитанса широкополосный Е7-28) на воздухе и четырехконтактным методом на постоянном токе 0.25 мА при 25–750°С на воздухе и в среде кислорода (режим охлаждения). При использовании двухконтактного метода для измерений электрических характеристик использовали таблетки, торцы которых покрывали серебром. Для проведения измерений на постоянном токе применяли источник тока МС-1001DC и вольтметр В7-91. Керамический образец имел форму балки с двумя впеченными в него платиновыми проволоками.
РЕЗУЛЬТАТЫ И ОБСУЖДЕНИЕ
Модифицированным методом сжигания растворов (метод SCS с пропиткой) с последующим обжигом полученного порошка и спеканием при 1100°С получен высокоэнтропийный состав (Mg0.2Cu0.2Ni0.2Co0.2Zn0.2)Nb2O6. Получение высокодисперсного порошка шихты позволяет понизить температуру получения высокоэнтропийного колумбита (ВЭК), в то время как для исходных колумбитов из оксидов она варьирует в области 1150–1300°С [27]. Наличие катионов меди в составе ВЭК понижает его температуру плавления и, следовательно, температуру спекания для получения плотной керамики (температура синтеза CuNb2O6 составляет 1000°С [27]).
По данным РФА (рис. 1) и СЭМ (рис. 2), образец является однофазным и имеет структуру колумбита. На микрофотографии отполированной поверхности керамики ВЭК контрастность одинакова по всей поверхности, отчетливо видны поры. Состав фазы колумбита, согласно результатам энергодисперсионного рентгеновского микроанализа, соответствует формуле (Mg0.19Co0.18Ni0.18Cu0.18Zn0.18)Nb2O6, что в пределах погрешности соответствует исходно заданному составу. По методу Ритвельда уточнены структурные параметры соединения (табл. 1). Объем элементарной ячейки Vэл.яч. индивидуальных колумбитов, образованных катионами, входящими в состав ВЭК, нелинейно зависит от ионного радиуса катионов A2+ [28]. Рассчитанный объем элементарной ячейки ВЭК составляет 0.4050 нм3 и близок по величине для колумбитов CoNb2O6 (0.4061 нм3), CuNb2O6 (0.4052 нм3) и MgNb2O6 (0.4071 нм3) [28]. Закрытая пористость спеченной керамики ВЭК, оцененная по СЭМ-микрофотографии, составляет 10%.
Рис. 1. Экспериментальная, расчетная рентгенограммы и их разностный профиль для (Mg0.2Cu0.2Ni0.2Co0.2Zn0.2)Nb2O6.
Рис. 2. Микрофотография отшлифованной поверхности высокоэнтропийной керамики (Mg0.2Cu0.2Ni0.2Co0.2Zn0.2)Nb2O6 в режиме упруго-отраженных электронов.
Таблица 1. Атомные координаты, изотропные факторы Дебая–Веллера (Biso) и заселенность позиций для (Mg0.2Cu0.2Ni0.2Co0.2Zn0.2)Nb2O6 (пр. гр. Pbcn)
Атом | Позиция | x | y | Z | Biso, Å2 | Заселенность |
Mg/Cu/Ni/Co/Zn | 4c | 0 | 0.1577 | 0.25 | 1.3(1) | 0.2/0.2/0.2/0.2/0.2 |
Nb | 8d | 0.1590 | 0.3177 | 0.7568 | 1.52(7) | 1 |
O1 | 8d | 0.0927 | 0.3985 | 0.4340 | 0.2(5) | 1 |
O2 | 8d | 0.0741 | 0.1285 | 0.9265 | 2.5(7) | 1 |
O3 | 8d | 0.2458 | 0.1110 | 0.5817 | 1.2(5) | 1 |
Примечание. λCuKα = 1.54056 Å, t = 20°C, α = β = γ = 90°, Z = 4, a = 1.41280(5), b = 0.57074(2), c = 0.50227(2) нм, Vяч = 0.4050 нм3.
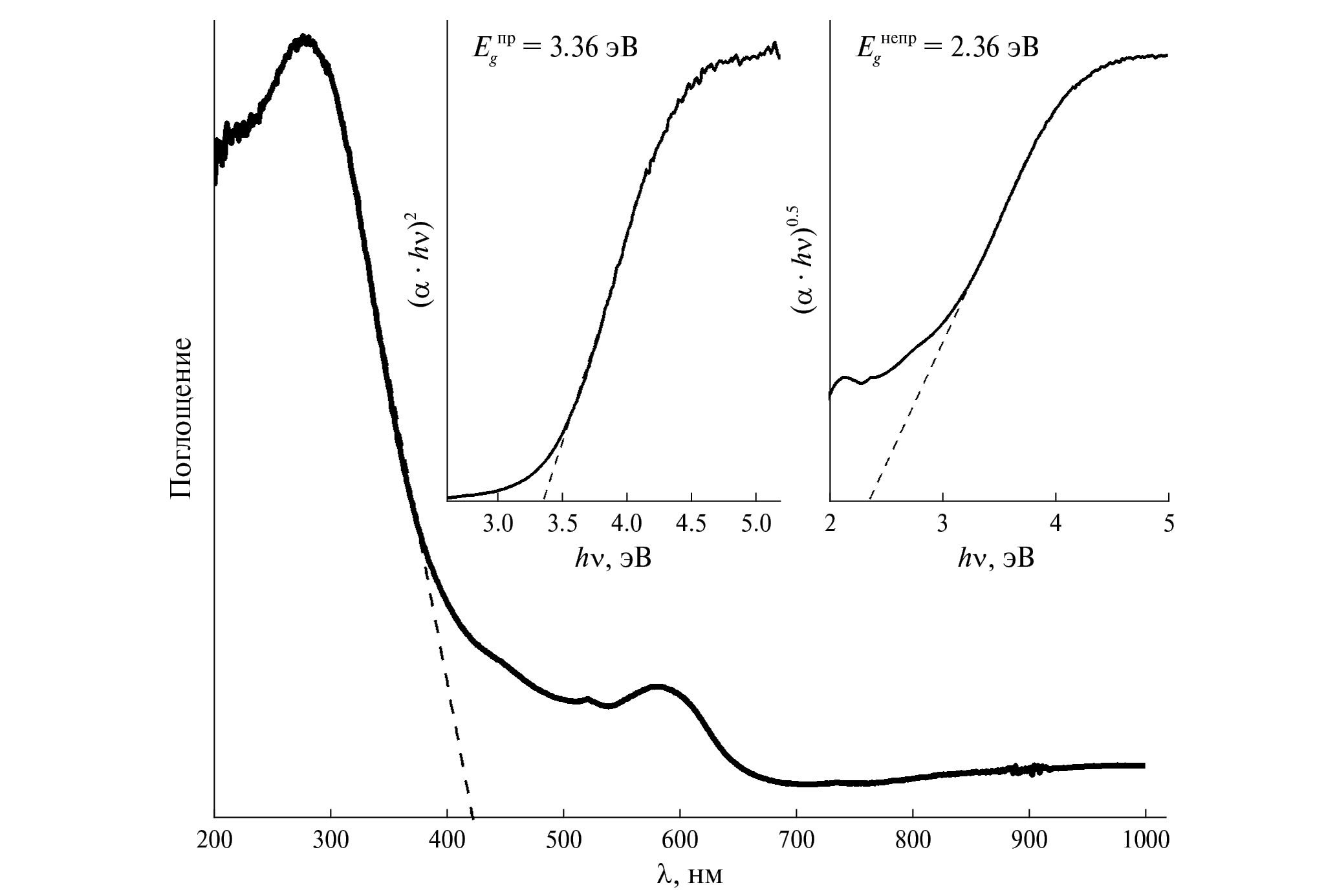
По спектрам абсорбции установлено, что высокоэнтропийный колумбит поглощает в УФ-области спектра с краем полосы основного поглощения λ = 425 нм (рис. 3). Для крупнокристаллических колумбитов ANb2O6 край полосы поглощения находится при 303 (Mg) [29], 312 (Zn) [30] и 430 нм (Mn) [31], для нанодисперсных колумбитов – при 475 (Co) [32] и 450 нм (Cu) [13]. По зависимостям Тауца была рассчитана ширина запрещенной зоны для прямого и непрямого разрешенных электронных переходов, которая составила Egпр = 3.36 эВ и Egнепр = 2.36 эВ. Значение Egпр ВЭК является промежуточным между величинами Egпр индивидуальных колумбитов, катионы которых входят в его состав [13, 29–32].
Рис. 3. Спектры поглощения и зависимости Тауца для прямого и непрямого разрешенных электронных переходов (вставки) для (Mg0.2Cu0.2Ni0.2Co0.2Zn0.2)Nb2O6.
Импеданс-спектр (Mg0.2Cu0.2Ni0.2Co0.2Zn0.2)Nb2O6 при комнатной температуре имеет вид двух полуокружностей, указывающих на проводимость в объеме образца (высокочастотная часть, С = 10–12 Ф) и по границам зерен (низкочастотная часть, С = 10–9 Ф) (рис. 4а). Эквивалентная схема, которая описывает импеданс-спектры, состоит из двух параллельно соединенных RC–RC звеньев. При 160°С на годографах появляется третья полуокружность, хорошо проявляющаяся при 280°С, которая может указывать на процессы, протекающие на электродах (рис. 4б). Для нивелирования влияния электродных процессов на проводимость были выполнены измерения четырехконтактным методом на постоянном токе.
Рис. 4. Импеданс-спектры (Mg0.2Cu0.2Ni0.2Co0.2Zn0.2)Nb2O6 при 25 (а) и 280°С (б) на воздухе.
Установлено, что температурная зависимость проводимости ВЭК имеет нелинейный характер, можно выделить только два линейных участка: в низкотемпературной области до 280°С и в высокотемпературной области выше 500°С (рис. 5, зеленая кривая). В интервале температур 280–500°С нелинейность связана с началом активации кислородного транспорта, и с ростом температуры доля ионов, участвующих в переносе заряда, будет увеличиваться. Энергия активации проводимости в этих областях составляет 0.50(2) и 0.24(2) эВ соответственно. На основании эксперимента двухконтактным методом было выявлено, что проводимость ВЭК незначительно превышает проводимость Cu-содержащего твердого раствора колумбита состава Mg0.8Cu0.2Nb2O6 [29] (рис. 5). Ширина запрещенной зоны прямого электронного перехода ВЭК меньше (Egпр = 3.36 эВ), чем для Mg0.8Cu0.2Nb2O6 (Egпр = 3.80 эВ), вследствие влияния других катионов. Можно ожидать, что присутствие катионов d-элементов (Cu2+, Co2+, Ni2+) будет приводить к уменьшению ширины запрещенной зоны и увеличению проводимости, что неоднократно отмечалось при допировании 3d-элементами [30]. Исходя из теоретических расчетов для индивидуальных колумбитов ANb2O6 (A = Mg [29], Zn [30]), валентная зона и зона проводимости сформированы перекрыванием Nb(d)- и O(p)-состояний, орбитали Mg и Zn незначительно влияют на электронную структуру. В случае составов ANb2O6 (A = Cu, Co, Ni) появляются дополнительные уровни, сформированные в одинаковой степени Nb(d)-, A(d)-, O(p)-орбиталями [33, 34], что приводит к уменьшению ширины запрещенной зоны.
Рис. 5. Зависимость проводимости от обратной температуры на постоянном токе на воздухе (закрашенные значки) и в среде кислорода (пустые значки) для (Mg0.2Cu0.2Ni0.2Co0.2Zn0.2)Nb2O6 в сравнении с замещенными колумбитами Mg1–xCuxNb2O6 [29].
Для определения типа проводимости проводимость ВЭК была исследована в среде кислорода. Проводимость образца (Mg0.2Cu0.2Ni0.2Co0.2Zn0.2)Nb2O6 в атмосфере кислорода ниже, чем на воздухе до 500°С, что может указывать на n-тип электронного транспорта, как и в случае твердых растворов Mg1–xCuxNb2O6 [29]. В области низких парциальных давлений кислорода протекает процесс, приводящий к появлению электронных дефектов, который можно описать уравнением (обозначения по Крегеру–Винку):
,
где – анионы кислорода в регулярных позициях кислорода, – дважды ионизированная кислородная вакансия, 2eʹ – два электронных дефекта.
Общая проводимость при температуре >500°С не зависит от парциального давления кислорода, что указывает на превалирование ионной проводимости в образце. В индивидуальных колумбитах ионная проводимость характерна для MgNb2O6 [29] и MnNb2O6 [20], смешанная проводимость – для ZnNb2O6 [30]. Проводимость ВЭК выше проводимости MgNb2O6 на 2.5 порядка [29], ZnNb2O6 – на 3.5 порядка [30], MnNb2O6 – на 1.5 порядка при 750°С [20].
ЗАКЛЮЧЕНИЕ
Впервые получен высокоэнтропийный колумбит (Mg0.2Cu0.2Ni0.2Co0.2Zn0.2)Nb2O6 со свойствами широкозонного полупроводника (Egпр = 3.36 эВ и Egнепр = 2.36 эВ), обладающий смешанной проводимостью с электронной составляющей, наиболее вероятно, n-типа и реализацией кислородного транспорта при температурах >500°С. Показано, что присутствие катионов 3d-элементов приводит к уменьшению ширины запрещенной зоны и повышению проводимости. Структурный тип колумбита и радиусы катионов A2+ определяют размеры пустот, которые обеспечивают энергетически выгодный транспорт кислорода.
БЛАГОДАРНОСТЬ
Работа выполнена с использованием оборудования ЦКП “Химия” Института химии ФИЦ Коми НЦ УрО РАН.
ФИНАНСИРОВАНИЕ РАБОТЫ
Работа выполнена при финансовой поддержке Минобрнауки России в рамках государственного задания Института химии ФИЦ Коми НЦ УрО РАН, проект № 122040100040-0.
КОНФЛИКТ ИНТЕРЕСОВ
Авторы заявляют об отсутствии конфликта интересов.
About the authors
M. S. Koroleva
Institute of Chemistry of the Komi Science Center of the Ural Branch of the Russian Academy of Sciences
Author for correspondence.
Email: marikorolevas@gmail.com
Russian Federation, Syktyvkar, 167000
V. S. Maksimov
Institute of Chemistry of the Komi Science Center of the Ural Branch of the Russian Academy of Sciences; Pitirim Sorokin Syktyvkar State University
Email: marikorolevas@gmail.com
Russian Federation, Syktyvkar, 167000; Syktyvkar, 167005
I. V. Piir
Institute of Chemistry of the Komi Science Center of the Ural Branch of the Russian Academy of Sciences
Email: marikorolevas@gmail.com
Russian Federation, Syktyvkar, 167000
References
- Bérardan D., Franger S., Meena A.K. et al. // J. Mater. Chem. A. 2016. V. 4. P. 9536. https://doi.org/10.1039/c6ta03249d
- Li F., Zhou L., Liu J.X. et al. // J. Adv. Ceram. 2019. V. 8. P. 576. https://doi.org/10.1007/s40145-019-0342-4
- Feng C., Zhou Y., Chen M. et al. // Appl. Catal., B: Environ. Energy. 2024. V. 349. P. 123875. https://doi.org/10.1016/j.apcatb.2024.123875
- Zhou L., Li F., Liu J.X. et al. // J. Hazard. Mater. 2021. V. 415. P. 125596. https://doi.org/10.1016/j.jhazmat.2021.125596
- Sarkar A., Wang Q., Schiele A. et al. // Adv. Mater. 2019. V. 31. P. 1806236. https://doi.org/10.1002/adma.201806236
- Xu Y., Xu X., Bi L. // J. Adv. Ceram. 2022. V. 11. P. 794. https://doi.org/10.1007/s40145-022-0573-7
- Koroleva M.S., Krasnov A.G., Piir I.V. // Ceram. Int. 2023. V. 49. P. 28764. https://doi.org/10.1016/j.ceramint.2023.06.136
- Wang Z., Zhou L., Liu C. et al. // Nucl. Instrum. Methods Phys. Res., Sect. B: Beam Interact. with Mater. Atoms. 2024. V. 549. P. 165285. https://doi.org/10.1016/j.nimb.2024.165285
- Xu L., Niu M., Su L. et al. // Corros. Sci. 2024. V. 227. P. 111682. https://doi.org/10.1016/j.corsci.2023.111682
- Li Z., Ge Y., Xiao Y. et al. // J. Alloys Compd. 2024. V. 989. P. 174357. https://doi.org/10.1016/j.jallcom.2024.174357
- Shannon R.D. // Acta Crystallogr., Sect. А. 1976. V. 32. P. 751. https://doi.org/10.1107/S0567739476001551
- Priyadarshani N., Vinitha G., Sabari Girisun T.C. // Opt. Laser Technol. 2018. V. 108. P. 287. https://doi.org/10.1016/j.optlastec.2018.06.040
- Kamimura S., Abe S., Tsubota T. et al. // J. Photochem. Photobiol., A: Chem. 2018. V. 356. P. 263. https://doi.org/10.1016/j.jphotochem.2017.12.039
- Wichmann Von R., Müller-Buschbaum Hk. // Z. Anorg. Allg. Chem. 1983. V. 503. P. 101. https://doi.org/10.1002/zaac.19835030810
- Ma R., Cao F., Wang J. et al. // Mater. Lett. 2011. V. 65. P. 2880. https://doi.org/10.1016/j.matlet.2011.06.084
- Lee H.J., Hong K.S., Kim S.J. et al. // Mater. Res. Bull. 1997. V. 32. P. 847. https://doi.org/10.1016/S0025-5408(97)00034-2
- Belous A., Ovchar O., Jancar B. et al. // J. Electrochem. Soc. 2009. V. 156. P. G206. https://doi.org/10.1149/1.3236661
- Prabhakaran D., Wondre F.R., Boothroyd A.T. // J. Cryst. Growth. 2003. V. 250. P. 72. https://doi.org/10.1016/S0022-0248(02)02229-7
- Yamamura H., Nishino H., Kakinuma K. et al. // J. Ceram. Soc. Jpn. 2003. V. 111. P. 902. https://doi.org/10.2109/jcersj.111.902
- Orera A., García-Alvarado F., Irvine J.T.S. // Chem. Mater. 2007. V. 19. P. 2310. https://doi.org/10.1021/cm062856u
- Zhang H., Zhang X., Li H. et al. // J. Colloid Interface Sci. 2021. V. 583. P. 652. https://doi.org/10.1016/j.jcis.2020.09.076
- Zhang Y.C., Wang J., Yue Z.X. et al. // Ceram. Int. 2004. V. 30. P. 87. https://doi.org/10.1016/S0272-8842(03)00068-3
- Butee S., Kulkarni A., Prakash O. et al. // J. Am. Ceram. Soc. 2009. V. 92. P. 1047. https://doi.org/10.1111/j.1551-2916.2009.02955.x
- Wachtel A. // J. Electrochem. Soc. 1964. V. 111. P. 534. https://doi.org/10.1149/1.2426176
- Liu F., Wang Y., Wang B. // Sens. Actuators, B: Chem. 2017. V. 238. P. 1024. https://doi.org/10.1016/j.snb.2016.07.145
- Sheng N., Han C.-G., Zhu C., Akiyama T. // Ceram. Int. 2018. V. 44. P. 18279. https://doi.org/10.1016/j.ceramint.2018.07.039
- Pullar R.C., Breeze J.D., Alford N.M.N. // J. Am. Ceram. Soc. 2005. V. 88. P. 2466. https://doi.org/10.1111/j.1551-2916.2005.00458.x
- Pullar R.C. // J. Am. Ceram. Soc. 2009. V. 92. P. 563. https://doi.org/10.1111/j.1551-2916.2008.02919.x
- Morkhova Y.A., Koroleva M.S., Egorova A.V. et al. // J. Phys. Chem. С. 2023. V. 127. P. 52. https://doi.org/10.1021/acs.jpcc.2c06631
- Morkhova Y.A., Koroleva M.S., Egorova A.V. et al. // ECS Adv. 2024. V. 3. P. 024504. http://iopscience.iop.org/article/10.1149/2754-2734/ad3f31
- Huang X., Jing Y., Yang J. et al. // Mater. Res. Bull. 2014. V. 51. P. 271. https://doi.org/10.1016/j.materresbull.2013.12.033
- Balamurugan C., Maheswari A.R., Lee D.W. // Sens. Actuators, B: Chem. 2014. V. 205. P. 289. https://doi.org/10.1016/j.snb.2014.08.076
- Naveed-Ul-Haq M., Gul-e-Ali // Mater. Today Commun. 2023. V. 37. P. 107075. https://doi.org/10.1016/j.mtcomm.2023.107075
- Kormányos A., Thomas A., Huda M.N. // J. Phys. Chem. С. 2016. V. 120. P. 16024. https://doi.org/10.1021/acs.jpcc.5b12738
Supplementary files







