Синтез и термические превращения комплексов вольфрамофосфатометаллатов с гексаметилентетрамином
- Авторы: Лозинский Н.С.1, Лопанов А.Н.2, Мороз Я.А.1, Пехтерева Т.М.1
-
Учреждения:
- Институт физико-органической химии и углехимии им. Л.М. Литвиненко
- Белгородский государственный технологический университет им. В.Г. Шухова
- Выпуск: Том 69, № 7 (2024)
- Страницы: 1029-1038
- Раздел: КООРДИНАЦИОННЫЕ СОЕДИНЕНИЯ
- URL: https://journals.rcsi.science/0044-457X/article/view/274311
- DOI: https://doi.org/10.31857/S0044457X24070118
- EDN: https://elibrary.ru/XNKGJZ
- ID: 274311
Цитировать
Полный текст
Аннотация
Представлены результаты по синтезу и идентификации комплексных соединений гексаметилентетрамина (CH2)6N4 с вольфрамофосфатометаллатами. Методами дифференциальной сканирующей калориметрии, инфракрасной спектроскопии и рентгенофазового анализа исследованы процессы и кристаллические продукты термического разложения соединений с общей формулой: Cat5[PW11O39Z(ГМТА)] · nH2O, Cat = Na+, NH4+; Z = Co2+, Ni2+, Zn2+; n = 10–13 и установлены схемы их термолиза. Показано, что аммонийные соли при термолизе образуют фазы состава ZO ∙ 0.5P2O5 ∙ 11WO3 или Z6/73P6/73W66/73O3 со структурой фосфорвольфрамовой бронзы. Продуктами разложения натриевых солей является смесь фаз со структурами вольфраматов натрия Na2W2O7 и Na2W4O13. Результаты исследований могут быть использованы для прогноза термических превращений и состава продуктов термолиза аналогичных комплексов ГМТА и вольфрамофосфатометаллатов других 3d-элементов.
Полный текст
ВВЕДЕНИЕ
Исследователи в области катализа, новых материалов для возобновляемых источников энергии и медицинских препаратов широко применяют гетерополиоксометаллаты [1–11]. Вольфрамофосфатометаллаты и продукты их термолиза представляют собой перспективные функциональные материалы для получения катализаторов реакций окисления спиртов, алкенов, алканов и других органических соединений [5, 9, 12–17], для эпоксидирования олефинов и гидроксилирования алканов [14], для очистки автомобильного топлива [18, 19], в фото- и электрокаталитических процессах, в том числе для разложения воды и поглощения углекислого газа [20–27], а также для карбонилирования при участии углекислого газа [28, 29], для микроволнового синтеза углеродных наноматериалов [30], для изготовления электродов для различных систем аккумуляторных батарей [7] и композитных электрохимических датчиков [8, 31]. Наиболее высокую активность и селективность в большинстве указанных процессов проявляют комплексы кобальта, никеля, марганца и железа. Высокая биологическая активность гетерополиоксометаллатов и их органических производных позволяет рассматривать их как новый потенциальный лекарственный материал, в том числе для пролонгированной и адресной доставки лекарственных препаратов [32–39].
Известным способом получения металлооксидных наноматериалов является их синтез через промежуточные соединения – прекурсоры – с последующей их термообработкой. В качестве прекурсоров для получения соединений со структурой пирохлора и вольфрамовой бронзы используют гетерополивольфрамометаллаты с 3d-элементами в координационной сфере и их органические производные [40, 41]. Синтезированные таким способом продукты применяют в качестве функциональной части катализаторов, сенсоров, магнитов и других материалов [42–49]. В то же время сведений о комплексах гетерополиоксометаллатов с лигандом гексаметилентетрамином (ГМТА) нами в литературе не найдено.
В данной работе представлены результаты по синтезу и исследованию термического поведения натриевых и аммонийных солей вольфрамофосфатометаллатов с кобальтом, никелем или цинком и ГМТА во внутренней сфере комплексов.
ЭКСПЕРИМЕНТАЛЬНАЯ ЧАСТЬ
Соединения с общей формулой Cat5[PW11O39Z(ГМТА)] ∙ nH2O, где Cat = Na+, NH4+; Z = Co2+, Ni2+, Zn2+; n = 10–13, синтезированы взаимодействием водных растворов при температуре 20°С вольфрамофосфатометаллатов и ГМТА. Синтез натриевых и аммонийных солей вольфрамофосфатометаллатов проводили по методикам [50]. Использованные реактивы производства Реахим (Россия) имели квалификацию “ч.”.
Для синтеза Na5[PW11O39Co(ГМТА)] ∙ 13H2O 3.2 г 11-вольфрамофосфатокобальтата натрия (1.0 ммоль) растворили в 100 мл воды и к полученному раствору добавили 0.14 г ГМТА (1.0 ммоль), растворенного в 10 мл воды. Раствор профильтровали и поместили в чашку Петри для кристаллизации. Образовавшиеся кристаллы отделили от водного раствора, перекристаллизовали из воды и высушили на воздухе. Выход продукта составил 83% от теоретического.
По аналогичной методике синтезировали комплекс (NH4)5[PW11O39Co(ГМТА)] ∙ 10H2O, в котором вольфрамофосфатокобальтат натрия был заменен эквивалентным количеством вольфрамофосфатокобальтата аммония. Комплексы никеля и цинка получены по аналогичным методикам, в которых вольфрамофосфатокобальтаты были заменены вольфрамофосфатоникелатами или вольфрамофосфатоцинкатами.
Для установления химического состава соединений использовали методы атомно-эмиссионной спектроскопии с индуктивно-связанной плазмой (атомно-эмиссионный спектрометр IRIS Intrepid II XSP Duo Thermo Electron Corporation) и гравиметрического анализа (электронные весы WAA 60/160/X Radwag, муфельная печь Instrumental of Laboratory Mod 550-14 Fisher Scientific). Содержание воды определяли высушиванием образцов при температуре 100°C до постоянной массы аналогично [51]. Количество ГМТА для натриевых солей и суммы NH4+ и ГМТА для аммонийных солей рассчитывали по разности между убылью массы образцов при прокаливании при температуре 700°C и содержанием в них воды. Доверительный интервал (±∆) с доверительной вероятностью 95% рассчитывали по результатам пяти параллельных измерений.
Вольфрамофосфатометаллаты и продукты их термолиза идентифицировали по электронным спектрам поглощения (спектрофотометр Helios Gamma, Thermo Electron Corporation), ИК-спектрам в таблетках с бромидом калия (инфракрасный спектрометр Bruker Vertex 70) и данным рентгенофазового анализа (РФА) (рентгеновский дифрактометр ДРОН-3.0, CuKα-излучение) в диапазоне 10° ≤ 2θ ≤ 60° со скоростью 1 град/мин. Термогравиметрические исследования проводили на анализаторе “STA 449 F1 Jupiter” одновременно с применением синхронного термического анализа (ДСК) при скорости нагрева образцов 10 град/мин на воздухе, навески образцов 15–20 мг. Электрическое сопротивление продуктов термолиза определяли с помощью измерителя LCR DE–5000 при частоте 1 кГц в таблетках диаметром 7 мм и высотой 5 мм, сформованных под давлением 25 МПа без введения связующих. Спектры ЯМР 1Н и 13C регистрировали на спектрометре BRUKER AVANCEII/400 в растворе D2O при 25°С. Дополнительная информация об использованных приборах приведена в табл. S1.
РЕЗУЛЬТАТЫ И ОБСУЖДЕНИЕ
Комплексы Cat5[PW11O39Co(ГМТА)] ∙ nH2O. Химический состав синтезированных комплексов вольфрамофосфатометаллатов с ГМТА приведен в табл. 1. ИК-спектры соединений Cat5[PW11O39Co(ГМТА)] ∙ nH2O аналогичны спектрам других вольфрамофосфатометаллатов 3d-элементов со структурой аниона Кеггина, в которых один атом вольфрама в октаэдре WO6 замещен на атом 3d-металла, в данном случае кобальта, а также содержат характерные полосы поглощения групп аммония и ГМТА (рис. 1, табл. 1, 2) [40, 41, 52–54]. Электронные спектры поглощения их водных растворов свидетельствуют об октаэдрическом окружении катионов кобальта, входящих в координационную сферу комплексов, что согласуется со структурой аниона Кеггина (рис. 2а), и аналогичны для натриевых и аммонийных солей. В спектрах поглощения растворов вольфрамофосфатокобальтатов присутствуют характерные для октаэдрических комплексов кобальта полосы поглощения с максимумом 538 нм [55]. При этом наблюдается сдвиг максимума полосы поглощения комплексов при переходе от аквакомплекса [Co(H2O)6]2+ к вольфрамофосфатометаллатному комплексу [PW11O39Co(H2O)]5– в длинноволновую область спектра [40, 41]. При добавлении к раствору вольфрамофосфатокобальтата раствора ГМТА происходит изменение электронного спектра поглощения: образуются два максимума поглощения 505 и 527 нм (рис. 2а), что свидетельствует о протекании реакции комплексообразования в данной системе с изменением силы поля лигандов в окружении катионов кобальта. Наиболее вероятным таким процессом может быть присоединение ГМТА к кобальту, входящему во внутреннюю сферу комплекса. Расщепление пиков в ИК-спектрах синтезированных соединений в области колебаний CH2- и CN-групп 1460–1235 см–1, принадлежащих ГМТА (рис. 1), в сравнении с ИК-спектром индивидуального ГМТА подтверждает его участие в процессе комплексообразования [49, 53]. Вольфрамофосфатометаллатные комплексы с ГМТА аналогичного состава не были известны ранее. Предполагаемая структурная формула комплексов представлена на рис. S1.
Рис. 1. ИК-спектры вольфрамофосфатометаллатов: 1 – (NH4)5[PW11O39Co(ГМТА)] ∙ 10H2O; 2 – Na5[PW11O39Co(ГМТА)] ∙ 13H2O; 3 – (NH4)5[PW11O39Ni(ГМТА)] ∙ 10H2O; 4 – Na5[PW11O39Ni(ГМТА)] ∙ 13H2O; 5 – (NH4)5[PW11O39Zn(ГМТА)] ∙ 10H2O; 6 – Na5[PW11O39Zn(ГМТА)] ∙ 13H2O; 7 – Na5[PW11O39Co(H2O)] ∙ 14H2O; 8 – ГМТА.
Рис. 2. Электронные спектры поглощения растворов комплексов кобальта (а): 1 – CoCl2 ∙ 6H2O 0.1 моль/л; 2 – Na5[PW11O39Co(H2O)] ∙ 14H2O 0.03 моль/л; 3 – Na5[PW11O39Co(ГМТА)] ∙ 13H2O 0.03 моль/л и комплексов никеля (б): 1 – Ni(NO3)2 ∙ 6H2O 0.1 моль/л; 2 – Na5[PW11O39Ni(H2O)] ∙ 14H2O 0.03 моль/л; 3 – Na5[PW11O39Ni(ГМТА)] ∙ 13H2O 0.03 моль/л.
Таблица 1. Химический состав синтезированных комплексных соединений вольфрамофосфатометаллатов кобальта, никеля и цинка с ГМТА
Формула соединения – номер соединения римской цифрой | Найдено ±∆/вычислено, мас. % | ||||||
Na | NH4+ | ГМТА | P | W | H2O | 3d-эле-мент | |
Na5[PW11O39Co(ГМТА)] ∙ 13H2O – I | 3.40 ± ± 0.18/3.56 | – | 4.51 ± ± 0.22/ 4.35 | 0.98 ± ± 0.04/0.96 | 63.01 ± ± 0.32/62.70 | 7.15 ± ± 0.21/7.26 | 1.88 ± ± 0.10/1.83 |
Na5[PW11O39Ni(ГМТА)] ∙ 13H2O – II | 3.51 ± ± 0.09/3.56 | – | 4.47 ± ± 0.17/4.35 | 0.94 ± ± 0.05/0.96 | 62.51 ± ± 0.26/62.70 | 7.38 ± ± 0.13/7.26 | 1.80 ± ± 0.12/1.82 |
Na5[PW11O39Zn(ГМТА)] ∙ 13H2O – III | 3.50 ± ± 0.32/3.56 | – | 4.41 ± ± 0.11/ 4.34 | 0.95 ± ± 0.04 /0.96 | 62.23 ± ± 0.43/62.57 | 7.42 ± ± 0.24/7.25 | 2.00 ± ± 0.07/2.02 |
(NH4)5[PW11O39Co(ГМТА)] ∙ 10H2O – IV | – | 7.21 ± 0.33/7.32* | 1.00 ± ± 0.03/0.98 | 64.69 ± ± 0.506/4.27 | 5.34 ± ± 0.50/5.72 | 1.81 ± ± 0.18/1.87 | |
(NH4)5[PW11O39Ni(ГМТА)] ∙ 10H2O – V | – | 7.50 ± 0.46/7.32* | 0.97 ± ± 0.04/0.98 | 64.82 ± ± 0.52/64.27 | 5.90 ± ± 0.28/5.73 | 1.97 ± ± 0.17/1.87 | |
(NH4)5[PW11O39Zn(ГМТА)] ∙ 10H2O – VI | – | 7.62 ± 0.49/7.31* | 0.96 ± ± 0.05/0.98 | 64.31 ± ± 0.21/64.14 | 5.45 ± ± 0.33/5.71 | 2.01 ± ± 0.15/2.07 | |
* Сумма NH4+ и ГМТА
Таблица 2. Отнесение частот колебаний и их относительная интенсивность* в ИК-спектрах вольфрамофосфатометаллатов c ГМТА
Номер соединения | Частоты колебаний, см–1 | ||||||
δ(H2O) | δ(NH4+) | δ(CH2) | ν(CN) | ν(P–O) | ν(W=O) | ν(W–O–W) ν(W–O–Z) | |
I | 1620 ср | – | 1464 сл; 1403 сл; 1361 сл | 1260 ср; 1239 сл; 1023 сл | 1080 ср; 1057 ср | 955 с | 892 ср; 819 с; 756 ср; 722 ср; 593 сл; 508 сл |
II | 1624 ср | – | 1465 сл; 1403 сл; 1360 сл | 1261 ср; 1240 сл; 1023 сл | 1082 ср; 1058 ср | 955 с | 893 ср; 820 с; 757 ср; 721 ср; 592 сл; 510 сл |
III | 1625 ср | – | 1464 сл; 1400 сл; 1360 сл | 1263 ср; 1240 сл; 1024 сл | 1080 ср; 1058 ср | 956 с | 895 ср; 820 с; 756 ср; 723 ср; 593 сл; 510 сл |
IV | 1619 ср | 1403 с | 1456 сл; 1364 сл; 1312 сл | 1260 ср; 1270 сл; 1013 сл | 1077 ср; 1055 ср | 954 с | 885 ср; 820 с; 751 ср; 710 ср; 592 сл; 509 сл |
V | 1621 ср | 1400 с | 1455 сл; 1361 сл; 1310 сл | 1262 ср; 1271 сл; 1015 сл | 1079 ср; 1060 ср | 958 с | 887 ср; 812 с; 751 ср; 702 ср; 592 сл; 509 сл |
VI | 1623 ср | 1402 с | 1457 сл; 1364 сл; 1314 сл | 1263 ср; 1270 сл; 1013 сл | 1077 ср; 1060 ср | 960 с | 888 ср; 811 с; 750 ср; 701 ср; 591 сл; 510 сл |
VII** | 1620 ср | – | – | – | 1078 ср; 1057 ср | 962 с | 891 ср; 816 с; 754 ср; 714 ср; 592 сл; 509 сл |
VIII*** | – | – | 1487 ср; 1457 ср; 1371 ср; 811 с | 1238 с; 1006 с; 671 с | – | – | – |
* с – пик сильной интенсивности, ср – средней, сл – слабой
VII** – Na5[PW11O39Co(H2O)] ∙ 14H2O
VIII*** – ГМТА
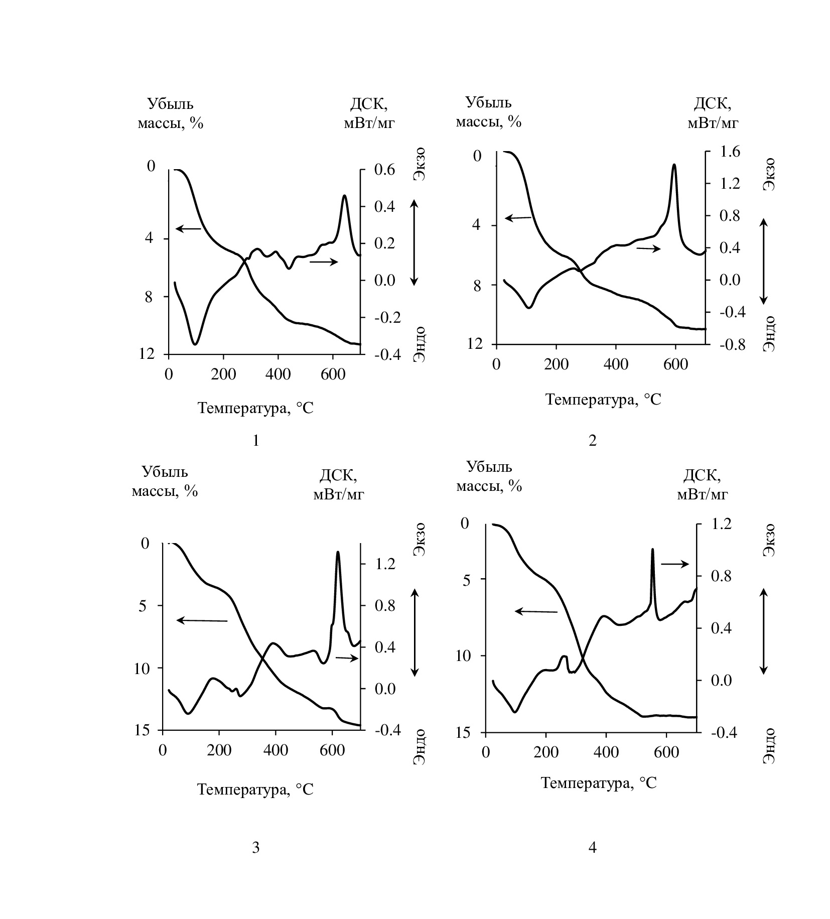
Воздушно-сухие образцы синтезированных комплексов Cat5[PW11O39Co(ГМТА)] ∙ nH2O имеют плохо сформированную кристаллическую структуру и термически не устойчивы. При нагревании (NH4)5[PW11O39Co(ГМТА)] ∙ 10H2O на воздухе происходит его дегидратация, эндотермический эффект с минимумом при температуре 95°C обусловлен удалением молекул воды, аналогично комплексу (NH4)5[PW11O39Co(H2O)] ∙ 9H2O [50]. В интервале температур 200–600°C происходит удаление групп аммония и разложение органических компонентов комплекса. Разделить эти процессы на отдельные стадии не удалось. По данным термогравиметрического анализа (рис. 3), ИК-спектров и РФА образцов, прокаленных при различных температурах (рис. S3), в интервале 200–450°C происходит частичное удаление групп аммония и ГМТА с образованием соединения (NH4)3[PW12O40] со структурой аниона Кеггина. Переход дефектной структуры аниона Кеггина [PW11O39Co]5– в завершенную структуру [PW12O40]3– при термолизе установлен ранее и для других солей вольфрамофосфатометаллатов с 3d-элементами [40, 41, 56]. Повышение температуры нагревания вольфрамофосфатокобальтата до 550–600°C сопровождается дальнейшим удалением групп аммония и разрушением структуры аниона Кеггина. Экзотермический эффект с максимумом при 590°C связан с кристаллизацией конечных продуктов термолиза – фаз состава CoO ∙ 0.5P2O5 ∙ 11WO3 (рис. 3, табл. 3). По данным РФА, они изоструктурны с соединением PW12O38.5 (ICDD® PDF® № 00-041-0369) и фосфорвольфрамовой бронзой PW8O26 (ICDD® PDF® № 00-050-0660). Состав фазы CoO ∙ 0.5P2O5 ∙ 11WO3 можно представить в виде CoPW11O36.5 или Co6/73P6/73W66/73O3 по аналогии с вольфрамовыми бронзами CatxWO3.
Рис. 3. Кривые термического анализа вольфрамофосфатокобальтатов: а – Na5[PW11O39Co(ГМТА)] ∙ 13H2O; б – (NH4)5[PW11O39Co(ГМТА)] ∙ 10H2O.
Таблица 3. Результаты термического и рентгенофазового анализа вольфрамофосфатометаллатов с ГМТА
Соединение | Дегидратация | Фазовый состав продуктов термолиза | ||
t, °C | молей Н2О | t, °C | состав продуктов термолиза | |
Na5[PW11O39Co(ГМТА)] ∙ 13H2O | 200 | 13 | 600 | Na2W2O7; Na2W4O13 |
Na5[PW11O39Ni(ГМТА)] ∙ 13H2O | 200 | 13 | 650 | Na2W2O7; Na2W4O13 |
Na5[PW11O39Zn(ГМТА)] ∙ 13H2O | 200 | 13 | 600 | Na2W2O7; Na2W4O13 |
(NH4)5[PW11O39Co(ГМТА)] ∙ 10H2O | 200 | 10 | 450 600 | (NH4)3[PW12O40] CoO ∙ 0.5P2O5∙11WO3 фосфорвольфрамовая бронза |
(NH4)5[PW11O39Ni(ГМТА)] ∙ 10H2O | 200 | 10 | 450 600 | (NH4)3[PW12O40] NiO ∙ 0.5P2O5∙11WO3 фосфорвольфрамовая бронза |
(NH4)5[PW11O39Zn(ГМТА)] ∙ 10H2O | 200 | 10 | 450 600 | (NH4)3[PW12O40] ZnO ∙ 0.5P2O5∙11WO3 фосфорвольфрамовая бронза |
Процессы удаления групп аммония и органических компонентов из вольфрамофосфатометаллатов при прокаливании в муфельной печи в среде аргона сопровождаются восстановлением продуктов термолиза до вольфрамовой бронзы аналогично тетраметил- и тетраэтиламмониевым солям [41]. Удельное электрическое сопротивление продукта термолиза аммонийной соли (NH4)5[PW11O39Co(ГМТА)] ∙ 10H2O, полученного прокаливанием в муфельной печи при 600°C в среде аргона, составляет 1 × 104 Ом ∙ м, а полученного при 600°C на воздухе – 1 × 1010 Ом ∙ м, что подтверждает образование в инертной атмосфере относительно хорошо проводящих электрический ток вольфрамовых бронз. Удельное электрическое сопротивление вольфрамовых бронз щелочных металлов Na(K)xWO3 составляет 0.04–3 × 103 Ом ∙ м [57].
По данным РФА, продуктами термолиза натриевой соли Na5[PW11O39Co(ГМТА)] ∙ 13H2O на воздухе является смесь фаз со структурами ди- и тетравольфраматов натрия (рис. S3, табл. 3).
Комплексы Cat5[PW11O39Ni(ГМТА)] ∙ nH2O. В спектрах поглощения растворов вольфрамофосфатоникелата и его комплекса с ГМТА в области 400–900 нм присутствуют характерные для октаэдрических комплексов никеля полосы поглощения с максимумами 420, 708, 779 нм и 416, 704, 813 (плечо) нм соответственно (рис. 2б) [58]. При этом, как и для комплексов кобальта, наблюдается сдвиг максимумов полос поглощения в длинноволновую область спектра при переходе от аквакомплкса [Ni(H2O)6]2+ к вольфрамофосфатометаллатным комплексам [PW11O39Ni(H2O)]5– и [PW11O39Ni(ГМТА)]5– (рис. 2б). Аналогия их ИК-спектров с комплексами кобальта Cat5[PW11O39Co(ГМТА)] ∙ nH2O указывает на одинаковое их строение (рис. 1, табл. 2).
Термические превращения комплексных соединений никеля (NH4)5[PW11O39Ni(ГМТА)] ∙ ∙ 10H2O и Na5[PW11O39Ni(ГМТА)] ∙ 13H2O протекают аналогично комплексам кобальта с образованием фазы со структурой фосфорвольфрамовой бронзы состава Ni6/73P6/73W66/73O3 при термолизе аммонийной соли и ди- и тетравольфрамата натрия при термолизе натриевой соли (табл. 3, рис. S2).
Комплексы Cat5[PW11O39Zn(ГМТА)] ∙ nH2O. Комплексы ГМТА с вольфрамофосфатоцинкатом, в отличие от комплексов кобальта и никеля, не имеют полос поглощения в видимой области спектра. Катион цинка Zn2+ с электронной конфигурацией 3d10 не имеет неспаренных электронов, т.е. диамагнитный, что позволяет использовать ЯМР-спектроскопию для изучения процессов комплексообразования. Так, в спектре ЯМР 1H в D2O соединения Na5[PW11O39Zn(ГМТА)] ∙ 13H2O наблюдается сигнал с химическим сдвигом 4.67 м. д., принадлежащий CH2-группам, и интенсивный пик при 4.70 м. д., обусловленный остаточным содержанием изотопа 1H в растворителе D2O и внесенным навеской кристаллогидрата исследуемого комплекса. Его спектр ЯМР 13C имеет один синглет при 71.2 м. д. В спектре ЯМР 1H ГМТА в D2O, зарегистрированного в таких же условиях, кроме пика растворителя при 4.70 м. д. присутствует синглет при 4.56 м. д., принадлежащий CH2-группам, а в спектре ЯМР 13C наблюдается синглет при 71.1 м. д. (рис. S4). Изменение величин химических сдвигов в спектрах ЯМР синтезированного комплекса цинка в сравнении со спектрами чистого ГМТА может указывать на протекание реакции комплексообразования между вольфрамофосфатоцинкатом и ГМТА с образованием комплекса [PW11O39Zn(ГМТА)]5–. Аналогия их ИК-спектров с комплексами кобальта Na5[PW11O39Co(ГМТА)] ∙ 13H2O и никеля Na5[PW11O39Ni(ГМТА)] ∙ 13H2O свидетельствует об их одинаковом строении (рис. 1, табл. 2).
Термические превращения соединений (NH4)5[PW11O39Zn(ГМТА)] ∙ 10H2O и Na5[PW11O39Zn(ГМТА)] ∙ 13H2O протекают подобно комплексам кобальта и никеля с образованием фазы со структурой фосфорвольфрамовой бронзы состава Zn6/73P6/73W66/73O3 при термолизе аммонийной соли и ди- и тетравольфрамата натрия при термолизе натриевой соли (табл. 3, рис. S2).
Процессы, протекающие при нагревании на воздухе аммонийных и натриевых солей вольфрамофосфатометаллатов с кобальтом, никелем, цинком и ГМТА в координационной сфере, представлены на рис. 4.
Рис. 4. Схемы термолиза аммонийных и натриевых солей вольфрамофосфатометаллатов с кобальтом, никелем, цинком и ГМТА в координационной сфере.
В отличие от рубидиевых и цезиевых солей вольфрамофосфатометаллатов, при термолизе которых образуются соединения со структурой пирохлора и гексагональной вольфрамовой бронзы, натриевые соли образуют фазы со структурой поливольфраматов натрия. Установленные схемы термолиза могут быть использованы для прогноза термических превращений комплексов ГМТА и вольфрамофосфатометаллатов с другими 3d-элементами.
ЗАКЛЮЧЕНИЕ
Синтезированы соединения со структурой анионов Кеггина Cat5[PW11O39Z(ГМТА)] ∙ nH2O, где Cat = Na+, NH4+; Z = Co2+, Ni2+, Zn2+; n = 10–13. Вольфрамофосфатометаллатные комплексы с ГМТА аналогичного состава ранее не были известны. Изучены процессы, протекающие при нагревании этих соединений, идентифицированы кристаллические продукты и установлены общие схемы их термолиза. Продуктами термического разложения аммонийных солей вольфрамофосфатометаллатов с кобальтом, никелем, цинком и гексаметилентетрамином при 600°C являются фазы состава ZO ∙ 0.5P2O5 ∙ 11WO3 или Z6/73P6/73W66/73O3 (Z = Co2+, Ni2+, Zn2+) со структурой фосфорвольфрамовой бронзы, а продуктами разложения натриевых солей является смесь фаз со структурами вольфраматов натрия Na2W2O7 и Na2W4O13. Полученные результаты исследований могут быть использованы для прогнозирования процессов и фазового состава продуктов термолиза аналогичных вольфрамофосфатометаллатов 3d-элементов с ГМТА в координационной сфере комплексов.
БЛАГОДАРНОСТЬ
Авторы выражают благодарность руководству БГТУ им. В.Г. Шухова за оказанную помощь в использовании оборудования Центра высоких технологий БГТУ им. В.Г. Шухова, с применением которого выполнена эта работа.
ФИНАНСИРОВАНИЕ РАБОТЫ
Работа выполнена при поддержке Министерства науки и высшего образования Российской Федерации, бюджетная тема “Углеродные наночастицы с заданной морфологией: синтез, структура и физико-химические свойства, FRES-2023-0006”.
КОНФЛИКТ ИНТЕРЕСОВ
Авторы заявляют, что у них нет конфликта интересов.
ДОПОЛНИТЕЛЬНЫЕ МАТЕРИАЛЫ
Дополнительные материалы размещены в электронном виде по DOI статьи: https://doi.org/10.31857/S0044457X24070118.
Об авторах
Н. С. Лозинский
Институт физико-органической химии и углехимии им. Л.М. Литвиненко
Email: jaroslavchem@mail.ru
Россия, ул. Розы Люксембург, 70, Донецк, 283048
А. Н. Лопанов
Белгородский государственный технологический университет им. В.Г. Шухова
Email: jaroslavchem@mail.ru
Россия, ул. Костюкова, 46, Белгород, 308012
Я. А. Мороз
Институт физико-органической химии и углехимии им. Л.М. Литвиненко
Автор, ответственный за переписку.
Email: jaroslavchem@mail.ru
Россия, ул. Розы Люксембург, 70, Донецк, 283048
Т. М. Пехтерева
Институт физико-органической химии и углехимии им. Л.М. Литвиненко
Email: jaroslavchem@mail.ru
Россия, ул. Розы Люксембург, 70, Донецк, 283048
Список литературы
- Roy S., Crans D.C., Parac-Vogt T.N. et al. Polyoxometalates in Catalysis, Biology, Energy and Materials Science. Lausanne: Frontiers Media SA, 2019. 224 p. https://doi.org/10.3389/978-2-88963-233-6
- Cameron J.M., Guillemot G., Galambos Th. et al. // Chem. Soc. Rev. 2022. V. 51. P. 293. https://doi.org/10.1039/d1cs00832c
- Wang W., Chamoreau L.-M., Izzet G. et al. // J.Am. Chem. Soc. 2023. V. 145. № 22. P. 12136. https://doi.org/10.1021/jacs.3c01716
- Iijima J., Naruke H., Suzuki R.X. // ACS Omega. 2023. V. 8. P. 9673. https://doi.org/10.1021/acsomega.3c00711
- Zhao H., Zhao Ch., Liu Zh. et al. // Angew. Chem. Int. Ed. 2023. V. 62. № 32. P. e202303989. https://doi.org/10.1002/anie.202303989
- Savić N.D., Salazar Marcano D.E., Quanten T. et al. // Inorganics 2021. V. 9. P. 22. https://doi.org/10.3390/inorganics9040022
- Wang J., Wang L., Yang Y. et al. // Batteries Supercaps. 2023. V. 6. № 5. P. e202200510. https://doi.org/10.1002/batt.202200510
- Chen Y., Li F., Li Sh. et al. // Inorg. Chem. Commun. 2022. V. 135. P. 109084. https://doi.org/10.1016/j.inoche.2021.109084
- Churipard S.R., Kanakikodi K.S., Choudhuric J.R. et al. // RSC Adv. 2020. V. 10. P. 35988. https://doi.org/10.1039/d0ra07178a
- Zhang Y.M., An Ch.W., Zhang D.F. et al. // Russ. J. Inorg. Chem. 2021. V. 66. № 5. P. 679. https://doi.org/10.1134/s0036023621050223
- Lentink S., Marcano D.E.S., Moussawi M.A. et al. // Angew. Chem. Int. Ed. 2023. V. 62. № 31. P. e202303817. https://doi.org/10.1002/anie.202303817
- Kozhevnikov I.V. Catalysis by Polyoxometalates. Chichester: John Wiley, 2002. 202 p.
- Vilanculo C.B., Da Silva M.J., Teixeira M.G. et al. // RSC Adv. 2020. V. 10. P. 7691. https://doi.org/10.1039/d0ra00047g
- Nam W., Yang S., Kim H. // Bull. Korean Chem. Soc. 1997. V. 17. P. 625.
- Da Silva M.J., Da Silva Andrade P.H., Ferreira S.O. et al. // Catal. Lett. 2018. V. 148. P. 2516. https://doi.org/10.1007/s10562-018-2434-0
- Castelo B. Vilanculo, Márcio J. et al. // New J. Chem. 2020. V. 44. P. 2813. https://doi.org/10.1039/C9NJ04725E
- Muñoz M., Greber M., Tayeb K.B. et al. // Green Process. Synt. 2023. V. 12. https://doi.org/10.1515/gps-2023-0026
- Fernandes S., Mirante F., Castro B.D. et al. // Catalysts. 2022. V. 12. P. 581. https://doi.org/10.3390/catal12060581
- Есева Е.А., Акопян А.В., Анисимов А.В. и др. // Нефтехимия. 2020. Т. 60. № 5. С. 586. https://doi.org/10.31857/S0028242120050093
- [Eseva E.A., Akopyan A.V., Anisimov A.V. et al. // Pet. Chem. 2020. V. 60. № 9. P. 979. https://doi.org/10.1134/S0965544120090091]
- Li J., Triana C.A., Wan W. et al. // Chem. Soc. Rev. 2021.V. 50. P. 2444. https://doi.org/10.1039/d0cs00978d
- Allmen K., Moré R., Müller R. et al. // Chem. Plus. Chem. 2015. V. 80. P. 1389. https://doi.org/10.1002/cplu. 201500074
- Abhik Paul, Subhasis Das Adhikary, Sandhya Kapurwana et al. // J. Mater. Chem. A. 2022. V. 10. P. 13152. https://doi.org/10.1039/d2ta02243e
- Gu J., Chen W., Shan G.G. et al. // Mater. Today Energy. 2021. V. 21. P. 100760. https://doi.org/10.1016/j.mtener.2021.100760
- Zhu X.H., Liu J.H., Zhao L.L. et al. // Adv. Mater. Res. 2012. V. 476–478. P. 2005. https://doi.org/10.4028/www.scientific.net/AMR.476-478.2005
- Arens J.T., Blasco-Ahicart M., Azmani K et al. // J. Catalys. 2020. V. 389. P. 345. https://doi.org/10.1016/j.jcat.2020.06.006
- Yingjie H., Chongtai W., Duan Hui D. et al. // Electrochim. Acta. 2011. V. 58. P. 99. https://doi.org/10.1016/j.electacta.2O11.08.099
- Hamidi H., Shams E., Yadollahi B. et al. // Electrochim. Acta. 2009. V. 54. P. 3495. https://doi.org/ 10.1016/j.electacta.2008.12.063
- Cao Y., Chen Q., Shen C. et al. // Molecules. 2019. V. 24. P. 26. https://doi.org/10.3390/molecules24112069
- Zang D., Wang H. // Polyoxometalates. 2022. V. 1. P. 9140006. https://doi.org/10.26599/pom.2022.9140006
- Мороз Я.А., Лозинский Н.С., Заритовский А.Н. и др. // Журн. общ. химии. 2023. Т. 93. № 7. С. 1139. https://doi.org/10.31857/S0044460X23070193
- Veríssimo M.I.S., Evtuguin D.V., Gomes M.T.S.R. // Front. Chem. 2022. V. 10. P. 840657. https://doi.org/10.3389/fchem.2022.840657
- Pope M.T., Müller A. et al. Polyoxometalates: from Platonic Solids to Anti-retroviral Activity. Dordrecht: Kluwer Academic Publishers, 1994. 412 p.
- Prudent R., Moucadel V., Laudet B. et al. // Chem. Biol. 2008. V. 15. № 7. P. 683. https://doi.org/10.1016/j.chembiol.2008.05.018
- Ostroushko A.A., Gagarin I.D., Danilova I.G. et al. // Nanosyst.-Phys. Chem. Math. 2019. V. 10. № 3. P. 318. https://doi.org/10.17586/2220-8054-2019-10-3-318-349
- Ostroushko A.A., Grzhegorzhevskii K.V., Medvedeva S.Yu. et al. // Nanosyst.-Phys. Chem. Math. 2021. V. 12. № 1. P. 81. https://doi.org/10.17586/2220-8054-2021-12-1-81-112
- Bijelic A., Aureliano M., Rompel A. // Angew. Chem. Int. Ed. 2019. V. 58. P. 2980. https://doi.org/0.1002/anie.20180386
- Ostroushko A.A., Gagarin I.D., Grzhegorzhevskii K.V. et al. // J. Mol. Liq. 2020. V. 301. P. 110910. https://doi.org/10.1016/j.molliq.2019.110910
- Grzhegorzhevskii K.V., Shevtsev N.S., Abushaeva A.R. et al. // Russ. Chem. Bull. 2020. V. 69. № 4. P. 804. https://doi.org/10.1007/s11172-020-2836-1
- Ostroushko A.A., Gette I.F., Brilliant S.A. et al. // Nanotechnol. Russ. 2019. V. 14. № 3–4. P. 159. https://doi.org/10.1134/S1995078019020101
- Мороз Я.А., Лозинский Н.С., Лопанов А.Н. и др. // Неорган. материалы. 2021. Т. 57. № 8. С. 878. https://doi.org/ 10.31857/S0002337X21080224 [Moroz Ya.A., Lozinskii N.S., Lopanov A.N. et al. // Inorg. Mater. 2021. V. 57. № 8. P. 835. https://doi.org/ 10.1134/S0020168521080069]
- Мороз Я.А., Лозинский Н.С., Лопанов А.Н. // Журн. неорган. химии. 2022. Т. 67. № 2. С. 185. https://doi.org/ 10.31857/S0044457X22020106
- Семенов С.А., Мусатова В.Ю., Дробот Д.В. и др. // Журн. неорган. химии. 2020. Т. 65. № 1. С. 65. https://doi.org/10.31857/S0044457X20010146
- Пронин А.С., Семенов С А., Дробот Д.В. и др. // Журн. неорган. химии. 2020. Т. 65. № 8. С. 1061. https://doi.org/10.31857/S0044457X20080139
- Asif H.M., Bi R.B., Tariq M. et al. // Russ. J. Inorg. Chem. 2021. V. 66. P. 340. https://doi.org/10.1134/S0036023621030025
- Fesik E.V., Buslaeva T.M., Tarasova L.S. et al. // Russ. J. Inorg. Chem. 2020. V. 65. № 10. P. 1558. https://doi.org/10.1134/S0036023620100058
- Tan R.X., Wang Q.H., Xiao T.X. et al. // Russ. J. Inorg. Chem. 2020. V. 65. № 8. P. 1276. https://doi.org/10.1134/S0036023620080161
- Vilanculo C.B., Da Silva M.J. // New J. Chem. 2020. V. 44. P. 2813. https://doi.org/10.1039/c9nj04725e
- Wu D.-F., Takahashi K., Fujibayashi M. et al. // RSC Adv. 2022. V. 12. P. 21280. https://doi.org/10.1039/d2ra04119g
- Голубев Д.В., Савинкина Е.В., Аль-Хазраджи А.С.Х. и др. // Тонкие химические технологии. 2017. Т. 12. № 2. С. 34.
- Мороз Я.А., Лозинский Н.С., Алемасова Н.В. // Вестн. ДонНУ. Сер. А. Естественные науки. 2023. № 3. С. 54.
- Коренев В.С., Абрамов П.А., Соколов М.Н. // Журн. неорган. химии. 2022. Т. 67. № 11. С. 1575. https://doi.org/ 10.31857/S0044457X22100324
- Gholamrezaei S., Salavati-Niasari M., Hadadzadeh H. et al. // High Temp. Mater. Proc. 2016. V. 35. P. 723. https://doi.org/ 10.1515/htmp-2015-0078
- Кокунов Ю.В., Горбунова Ю.Е., Разгоняева Г.А. и др. // Коорд. химия. 2012. Т. 38. № 10. С. 683.
- Saravanakumar M., Chandrasekaran J., Krishnakumar M. et al. // J. Mol. Struct. 2022. V. 1265. P. 133406. https://doi.org/10.1016/j.molstruc.2022.133406
- Barros Á., Artetxe B. Eletxigerra U. et al. // Materials. 2023. V. 16. P. 5054. https://doi.org/10.3390/ma16145054
- Gamelas J.A., Couto F.A., Trovgo M.C. et al. // Thermochim. Acta. 1999. V. 326. P. 165. https://doi.org/10.1016/S0040-6031(98)00597-8
- Дробашева Т.И., Расторопов С.Б. // Инженерный вестник Дона. 2016. № 2. С. 13.
- ivdon.ru/ru/magazine/archive/n2y2016/3576
- Mossotti G., Catania F., Perrucci F. et al. // Chem. Eng. Trans. 2023. V. 99. P. 127. https://doi.org/10.3303/cet2399022.2
Дополнительные файлы











