Кристаллические структуры двух полиморфных модификаций и термодинамические параметры парообразования бис-гептафторметилоктандионата меди
- Авторы: Стабников П.А.1, Беспятов М.А.1, Корольков И.В.1, Сухих А.С.1, Плюснин П.Е.1, Трубин С.В.1, Сартакова А.В.1,2, Сысоев С.В.1
-
Учреждения:
- Институт неорганической химии им. А.В. Николаева СО РАН
- Новосибирский государственный университет
- Выпуск: Том 69, № 7 (2024)
- Страницы: 1006-1014
- Раздел: КООРДИНАЦИОННЫЕ СОЕДИНЕНИЯ
- URL: https://journals.rcsi.science/0044-457X/article/view/274301
- DOI: https://doi.org/10.31857/S0044457X24070088
- EDN: https://elibrary.ru/XNQWQN
- ID: 274301
Цитировать
Полный текст
Аннотация
Испарением растворителя из растворов выращены кристаллы бис-гептафтордиметилоктандионата меди (Cu(fod)2). Из толуола получены кристаллы моноклинной сингонии (I), а из ацетонитрила – кристаллы моноклинной (I) и триклинной (II) сингонии. Кристаллографические данные: P21/c, a = 13.1863(6), b = 9.8118(4), c = 10.6997(6) Å, β = 113.633(2)° для I; , a = 10.7941(12), b = 11.4759(14), c = 12.5263(13) Å, α = 115.350(4)°, β = 102.957(4)°, γ = 100.999(4)° для II. Упаковки I и II имеют одинаковые по строению молекулы. Кристаллические структуры I и II молекулярные и состоят из дискретных молекул Cu(fod)2. Для жидкого и кристаллического (фаза I) Cu(fod)2 методом потока получены температурные зависимости давления насыщенных паров в интервале температур 314–393 K, определена термическая устойчивость соединения, установлены термодинамические параметры сублимации и испарения.
Полный текст
ВВЕДЕНИЕ
Основное практическое применение летучих комплексов металлов – использование этих соединений или их производных в процессах химического осаждения из газовой фазы (MOCVD) для получения пленочных материалов с уникальными электро- и фотолюминесцентными характеристиками [1–12]. Определяющими свойствами для использования исходных соединений (прекурсоров) в указанном методе являются такие характеристики, как летучесть и термостабильность, которые, в свою очередь, зависят от концевых заместителей R1 и R2 в лиганде [R1C(O)C(H)C(O)CR2]– [13, 14]. В ходе многочисленных структурных исследований β-дикетонатов меди(II) показано, что важная роль заместителей R1 и R2 заключается в экранировании атома металла от контактов с атомами соседних молекул [15–18]. Особый интерес представляют соединения, в которых имеются разные по строению и составу заместители. Одним из таких комплексов является бис-гептафтордиметилоктандионат меди (Cu(fod)2), имеющий следующие заместители: R1 = C(CH3)3, R2 = C3F7. Для этого соединения различными методами установлена термическая стабильность от комнатной температуры до температуры плавления [19], получены данные об энтальпии и энтропии сублимации [20], энтальпии образования [20]. Поиск в Кембриджской базе структурных данных показал, что известна структура сольвата Cu(fod)2 · H2O [21], в то время как для безводного комплекса Cu(fod)2 такие данные отсутствуют.
В настоящей работе впервые исследована кристаллическая структура Cu(fod)2, полученного при испарении растворителей из растворов этого соединения в токе сухого азота.
ЭКСПЕРИМЕНТАЛЬНАЯ ЧАСТЬ
Исходным веществом служил порошок бис(6,6,7,7,8,8,8-гептафтор-2,2-диметил-3,5-октандионата меди (Cu(fod)2), полученный и очищенный фирмой Sigma-Aldrich (CAS № 80289-21-0, лот 09205DO). Чистота коммерческого образца составляет 99.99+%. Никаких дополнительных работ по очистке образца не проводили. Образец при комнатной температуре является кристаллическим порошком темного серо-синего цвета. Соединение хорошо растворимо во многих органических растворителях. Выращивание кристаллов проводили при испарении толуольных и ацетонитрильных растворов Cu(fod)2 в токе сухого азота. Полученные кристаллы имели форму крупных пластинок с выраженным дихроизмом (синий–зеленый). Кристаллы устойчивы на воздухе, это позволяет исследовать их различными методами. Но при длительном хранении они гидролизуются с поверхности.
Рентгенофазовый анализ (РФА) поликристаллов проводили на дифрактометре Bruker D8 Advance (CuKα-излучение, линейный детектор LYNXEYE XE-T, диапазон углов 2θ 4°–50°, шаг 0.03°, накопление 1 с в точке). Образцы для исследования готовили следующим образом: поликристаллы истирали в агатовой ступке и запрессовывали в углубление кварцевой кюветы. По данным РФА, в порошковом продукте, приобретенном в фирме Sigma-Aldrich, присутствует смесь моноклинной (I) и триклинной (II) модификаций Cu(fod)2, а также неизвестная примесь. Интенсивность максимального непроиндицированного пика не превышает 17% от самого интенсивного пика на дифрактограмме (рефлекс (010) фазы II). В продуктах, полученных из ацетонитрила, присутствует смесь моноклинной (I) и триклинной (II) модификаций. В продуктах, полученных из гептана, бензола, толуола и при сублимации в вакууме, основной фазой является триклинный Cu(fod)2 с незначительным количеством примеси. Интенсивность максимального непроиндицированного пика составляет не более 1% от самого интенсивного пика на дифрактограмме (рефлекс (010) фазы I). Дифрактограммы продуктов, полученных из различных растворителей, приведены в приложении.
Измерение давления насыщенных паров проводили методом потока (переноса) над твердым (фаза I) и жидким Cu(fod)2 в токе сухого инертного газа-носителя (He). Подробное описание оригинальной установки и методики эксперимента можно найти в работах [22–24]. Квазиравновесные условия подтверждены неизменностью зависимости давления от скорости потока (0.923–3.53 л/ч). Величины парциального давления насыщенных паров находили по формуле:
p = pобщ. × n / (n + NHe),
где pобщ – атмосферное давление, NHe – расход гелия (моль), n – количество вещества комплекса (моль), перешедшего в газовую фазу или конденсированного в холодной зоне. Это количество определяли взвешиванием приемника (конденсация) или источника (парообразование) до и после эксперимента в предположении моноядерного состава комплекса в газовой фазе (M = 653.9 г/моль). Погрешности составили: взвешивания ±0.5 мг, температуры ±0.5 K, расхода гелия ±2%. Ошибка определения давления насыщенных паров не превышала 10%. Сравнение результатов с данными, полученными другим методом [20], позволяет определить состав газовой фазы [25].
Рентгеноструктурный анализ кристаллов Cu(fod)2 проводили на монокристальном дифрактометре Bruker D8 Venture (MoKα-излучение, Incoatec IπS 3.0, трехкружный гониометр, CPAD-детектор Photon III C14). Температуру исследуемых кристаллов поддерживали равной 150(1) K на всем протяжении съемки при помощи потокового азотного криостата Oxford Cryosystems Cryostream 800 plus. Стратегия съемки состояла из нескольких стандартных ω-сканов с шириной кадра 0.5°. Индицирование, расчет стратегии съемки, интегрирование дифракционных данных, введение поправки на поглощение и глобальное уточнение параметров элементарной ячейки были выполнены в пакете программ APEX3 v.2019.1-0 [26]. Полученные hklF-массивы обработаны в программе Olex2 v.1.5 [27] с использованием SHELXT v.2018/2 [28] для расшифровки и SHELXL v.2018/3 [29] для последующего уточнения структурной модели. Тепловые колебания атомов, кроме атомов водорода, уточнены анизотропно. Атомы водорода локализованы из разностной карты электронной плотности и уточнены в модели “наездника”. Полученные CIF-файлы депонированы в Кембриджском банке кристаллографических данных (№ 2254567 и 2254568) и могут быть скачаны по адресу: www.ccdc.cam.ac.uk/structures.
Термогравиметрический анализ с синхронным получением ДТА-сигнала для выявления тепловых эффектов выполнен в интервале температур 300–530 K с помощью термовесов Netzsch TG 209 F1 со скоростью нагрева 10 град/мин в атмосфере гелия со скоростью потока 30 мл/мин. Измерения проводили в открытом алюминиевом тигле, исходная масса образца составляла 8.600 мг.
Масс-спектры получали с использованием масс-спектрометра МИ-1201Б (Украина) с энергией ионизирующих электронов 70 эВ. Предельное разрешение масс-спектрометра MI-1201B в диапазоне массовых чисел 1200 m/z было не менее 1000 на уровне 10% от высоты пика. Источником паров Cu(fod)2 служила эффузионная ячейка Кнудсена, изготовленная из нержавеющей стали, диаметр эффузионного отверстия 0.26 мм, длина канала 0.3 мм. Температура эффузионной ячейки при записи масс-спектра составляла 78°С.
РЕЗУЛЬТАТЫ И ОБСУЖДЕНИЕ
Описание кристаллической структуры
Кристаллы триклинной модификации (II) получены при испарении ацетонитрила из раствора комплекса в токе сухого азота. Параметры элементарной ячейки и детали уточнения структур Cu(fod)2 приведены в табл. 1. В элементарной ячейке триклинной модификации Cu(fod)2 (II) содержатся две симметрично-независимые молекулы (Z = 2, Z´ = 1) с практически идентичным строением (рис. 1a, 1б). Обе молекулы являются центросимметричными (атомы Cu лежат в центрах инверсии), поэтому угол между плоскостями хелатных металлоциклов равен 0°. Сами металлоциклы также довольно плоские, отклонение атомов металлоцикла от среднеквадратичной плоскости составляет не более 0.025 Å для первой молекулы и не более 0.028 Å для второй молекулы. Расстояния Cu–O равны 1.900(2) и 1.898(2) Å для первой молекулы и 1.896(2) и 1.906(2) Å для второй молекулы. Хелатные углы OCuO при этом равны 93.19(9)° и 92.83(9)° (табл. 2). Таким образом, атомы меди в обеих молекулах имеют несколько искаженную квадратную координацию. Расстояние между плоскостью металлоцикла и наиболее удаленным атомом фтора составляет 2.911 Å для первой молекулы и 2.377 Å для второй молекулы, т.е. вторая молекула является более плоской. Упаковка молекул показана на рис. 1в. Молекулы II упакованы в изолированные стопки вдоль направления [011]. Внутри каждой молекулярной стопки (рис. 1 г) чередуются молекулы первого и второго типов, причем центральные атомы меди всех молекул в стопке лежат на одной линии. Расстояние между атомами меди соседних молекул составляет 6.433 Å, а угол между плоскостями хелатных металлоциклов – 21.52°. Углы упаковки (угол между нормалью к плоскости металлоцикла и линией, проведенной через центральные атомы меди) при этом равны 36.01° и 56.96° для первой и второй молекул соответственно.
Таблица 1. ПЭЯ и детали уточнения структур Cu(fod)2
Параметр | Соединение | |
I | II | |
Формула | C20H20CuF14O4 | C20H20CuF14O4 |
М | 653.90 | 653.90 |
Т, K | 150 | 150 |
Сингония | Моноклинная | Триклинная |
Пр. гр. | P21/c | P1‾ |
a, Å | 13.1863(6) | 10.7941(12) |
b, Å | 9.8118(4) | 11.4759(14) |
c, Å | 10.6997(6) | 12.5263(13) |
α, град | 90 | 115.350(4) |
β, град | 113.633(2) | 102.957(4) |
γ, град | 90 | 100.999(4) |
V, Å3 | 1268.24(11) | 1292.1(3) |
Z | 2 | 2 |
ρрасч, г/см3 | 1.712 | 1.681 |
μ, мм–1 | 0.989 | 0.971 |
F(000) | 654.0 | 654.0 |
Размер кристалла, мм3 | 0.22 × 0.15 × 0.04 | 0.2 × 0.1 × 0.02 |
Диапазон сбора данных 2θ, град | 5.348–59.172 | 4.544–56.606 |
Nрефл | 12398 | 15269 |
Nнезав | 3556 | 6402 |
Rинтегр | 0.0312 | 0.0472 |
Число уточняемых параметров | 181 | 361 |
S-фактор по F2 | 1.025 | 1.022 |
R1/wR2 [I > 2σ(I)] | 0.0342/0.0767 | 0.0546/0.1238 |
R1/wR2 | 0.0504/0.0828 | 0.1076/0.1443 |
Остаточные пики электронной плотности, e/Å3 | 0.36/–0.30 | 0.54/–0.59 |
CCDC № | 2254568 | 2254567 |
Таблица 2. Углы и длины связей для Cu(fod)2
Параметр | Соединение | |
I | II | |
Cu–O, Å | 1.905–1.908 | 1.896–1.906 |
<Cu–O>, Å | 1.906 | 1.900 |
OCuO, град | 92.61 | 93.19/92.83 |
Рис. 1. Структура молекул (a, б) и диаграмма упаковки (в, г) для триклинной модификации Cu(fod)2 (II).
Кристаллы моноклинной модификации (I) получены при испарении толуола из раствора комплекса в токе сухого азота. Структура молекулы и диаграмма упаковки для моноклинной модификации Cu(fod)2 (I) показаны на рис. 2. Моноклинная модификация Cu(fod)2 кристаллизуется с двумя молекулами на элементарную ячейку (Z = 2, Z´ = 0.5), поэтому в кристаллической структуре содержится только одна симметрично-независимая центросимметричная молекула. Плотность упаковки моноклинной модификации заметно больше – одна молекула занимает на 12 Å3 (1.85%) меньший объем по сравнению с триклинной модификацией. В случае моноклинной модификации хелатные металлоциклы в молекуле Cu(fod)2 менее плоские, отклонение атомов металлоцикла от среднеквадратичной плоскости достигает 0.072 Å, что почти в 3 раза больше, чем в триклинной модификации. Расстояния Cu–O равны 1.908(1) и 1.905(1) Å, а хелатный угол OCuO – 92.61(5)°. Расстояние между плоскостью металлоцикла и наиболее удаленным атомом фтора составляет 2.439 Å. Мотив упаковки молекул в моноклинной модификации заметно отличается от триклинной. Вместо изолированных стопок молекулы Cu(fod)2 в моноклинной модификации выстроены в продольные цепочки вдоль оси a, которые, в свою очередь, образуют паркетный мотив упаковки. Молекулы в соседних рядах (вдоль оси с) наклонены по отношению друг к другу – угол между плоскостями металлоциклов соседних молекул равен 24.48°.
Рис. 2. Структура молекулы (a) и диаграмма упаковки (б) для моноклинной модификации Cu(fod)2 (I).
Анализ поверхностей Хиршвельда (ПХ) был проведен в программе CrystalExplorer 21.5 [30]. На рис. 3 показаны поверхности Хиршвельда для молекул обеих полиморфных модификаций, раскрашенные с использованием параметра dnorm (нормализованное контактное расстояние) в диапазоне –0.1…–1.4. На ПХ первой молекулы (рис. 3a) триклинной модификации наблюдаются три красных пятна, которые указывают на наличие близких межмолекулярных контактов. Самое большое пятно в центре соответствует близкому контакту между центральным атомом меди одной молекулы и атомом фтора другой молекулы с расстоянием между атомами 2.761 Å. Расположенное рядом более мелкое красное пятно соответствует близкому контакту O…F (2.956 Å) между тем же атомом фтора и одним из атомов кислорода. Слабовыраженное красное пятно в верхнем правом углу ПХ соответствует близкому контакту F…F (2.908 Å). На ПХ второй молекулы триклинной модификации (рис. 3б) наблюдаются ответные части близких контактов. Таким образом, все близкие контакты в триклинной модификации Cu(fod)2 происходят только между молекулами первого и второго типов, т.е. только внутри молекулярной стопки. ПХ молекулы моноклинной модификации практически не содержит близких контактов, за исключением слабовыраженной пары контактов F…F 2.895 Å. CrystalExplorer также позволяет рассчитать теоретическою величину энергии решетки для выбранного соединения [31]. Для этого вокруг выбранной молекулы в заданном радиусе (10 Å в нашем случае) генерируется кластер молекул. Затем с использованием базисного набора B3LYP/6-31G(d, p) рассчитывают полную энергию взаимодействия между центральной молекулой и каждой из молекул в сгенерированном кластере. Энергию решетки вычисляют как полусумму энергии взаимодействия всех таких молекулярных пар в кластере. Так как в структуре триклинной модификации содержатся две симметрично-независимые молекулы, расчет проводили для каждой из молекул, при этом энергию решетки брали как среднее значение между результатами двух расчетов. Полученные значения равны –154.1 кДж/моль для триклинной модификации и –163 кДж/моль для моноклинной модификации. Разница в почти 9 кДж/моль в абсолютном значении указывает на то, что моноклинная модификация (I) является для молекул Cu(fod)2 термодинамически значительно более выгодной. Этот результат хорошо согласуется с меньшим количеством близких межмолекулярных контактов и более плотной упаковкой молекул в моноклинной модификации.
Рис. 3. Поверхности Хиршфельда для молекул Cu(FOD)2 триклинной (a, б) и моноклинной (в) модификаций, раскрашенные с использованием параметра dnorm (нормализованное контактное расстояние) в диапазоне –0.1…–1.4.
На рис. 4 представлена дериватограмма Cu(fod)2 (I), полученного при испарении толуола из раствора комплекса в токе сухого азота. Выделенный продукт соответствует безводному комплексу Cu(fod)2 (I) [19]. Поскольку температура плавления Cu(fod)2 составляет 334.7 K, дериватограммы обоих фаз и смеси совпадают. До 480 K наблюдается практически полное испарение исследуемого образца, что свидетельствует о хорошей летучести комплекса. В интервале 330–350 K наблюдается эндотермический пик, связанный с плавлением вещества. Температура начала плавления Тнач = 334.0 ± 3.0 K. Температура плавления, установленная на столике Кефлера (hotplate microscope), Tпл = 335.0 ± 1.0 K.
Рис. 4. ДТА/ТГ для Cu(FOD)2 фазы I.
Результаты исследования методом потока
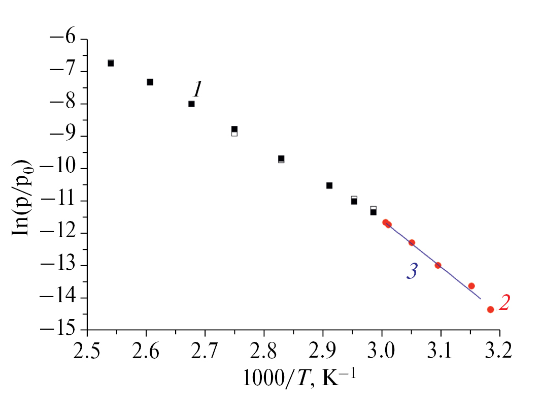
Первичные экспериментальные данные при переходе вещества в газовую фазу в источнике (сублимация или испарение) и конденсации в холодной зоне приемника, а также результаты расчетов приведены в табл. 3. Близость значений давлений, рассчитанных из разницы масс в источнике и приемнике для процесса испарения, указывает на термическую стабильность комплекса. Существенно бόльшая погрешность в случае сублимации связана с предельно низкими для данного метода значениями давления и узким температурным интервалом. Проведена статистическая обработка полученных результатов в соответствии с уравнением Клаузиуса–Клапейрона. Рассчитаны термодинамические характеристики (изменение энтальпии и энтропии) для средних температур экспериментального интервала (Δисп H°361 = 87.0 ± 1.0 кДж/моль, Δисп S°361 = 166 ± 3 Дж/(моль K)) и твердой полиморфной модификации I (Δсубл H°323 = 122 ± 5 кДж/моль, Δсубл S°323 = 270 ± 15 Дж/(моль K)). Погрешности приведены для 95%-ного доверительного интервала. По данным РФА сублимата, полученного в процессе определения давления пара над твердым соединением, единственной фазой в приемнике является модификация I. Поэтому данные для сублимации отнесены к равновесию в системе фаза I–газ. Графическое представление логарифмических зависимостей давления насыщенных паров от температуры представлено на рис. 5 и в табл. 3. Результаты, представленные на рис. 5, прекрасно согласуются с данными [20] (ΔсублH°324 = 121.5 ± 0.7 кДж/моль), полученными эффузионным методом. Согласие двух разных косвенных методов свидетельствует о том, что вещество переходит в пар в виде формульной единицы комплекса.
Таблица 3. Результаты определения давления насыщенных паров над жидким и твердым (фаза I) Cu(fod)2 методом потока: экспериментальное давление вычислено из экспериментальных данных по переносу вещества в потоке He, рассчитанное давление определено из соответствующих уравнений, p° = 101325 Па
Температура, K | Масса, г | Скорость потока He, л/ч | Время эксперимента, ч | Давление, Па | |||||||
испарение | конденсация | эксперимент испарение | эксперимент конденсация | расчет | |||||||
Испарение | |||||||||||
ln(p/p°) ± tσ = A – B/T = 19.92 – 10462/T σ2 = 9086/T 2 – 50.56/T + 0.071 | |||||||||||
334.9 | 0.0153 | 0.0140 | 2.015 | 20.00 | 1.30 | 1.19 | 1.24 | ||||
338.7 | 0.0097 | 0.0090 | 0.923 | 20.20 | 1.79 | 1.65 | 1.74 | ||||
343.6 | 0.0141 | 0.0140 | 0.923 | 19.25 | 2.72 | 2.69 | 2.71 | ||||
353.5 | 0.0053 | 0.0055 | 2.015 | 1.50 | 6.03 | 6.25 | 6.36 | ||||
363.6 | 0.0080 | 0.0091 | 2.015 | 1.00 | 13.60 | 15.47 | 14.47 | ||||
373.5 | 0.0073 | 0.0073 | 0.923 | 0.80 | 33.86 | 33.86 | 31.04 | ||||
383.5 | 0.0180 | 0.0179 | 0.923 | 1.00 | 66.79 | 66.39 | 64.43 | ||||
393.5 | 0.1102 | 0.1080 | 2.015 | 1.55 | 120.66 | 118.26 | 128.90 | ||||
Температура, K | Масса конденсация, г | Скорость потока He, л/ч | Время эксперимента, ч | Давление, Па | |||||||
эксперимент | расчет | ||||||||||
Сублимация ln(p/p°) ± tσ = A – B/T = 32.42 – 14663/T σ2 = 336540/T 2 – 2075/T + 3.20 | |||||||||||
314.2 | 0.0032 | 2.015 | 93.00 | 0.0585 | 0.0651 | ||||||
317.4 | 0.0050 | 2.015 | 71.00 | 0.121 | 0.104 | ||||||
323.2 | 0.0028 | 2.015 | 21.00 | 0.229 | 0.239 | ||||||
327.9 | 0.0049 | 2.015 | 18.00 | 0.464 | 0.458 | ||||||
332.2 | 0.0025 | 3.53 | 3.00 | 0.809 | 0.817 | ||||||
332.7 | 0.0100 | 2.015 | 19.60 | 0.867 | 0.873 | ||||||
Рис. 5. Температурные зависимости давления насыщенных паров для 1 – испарения, 2 – сублимации модификации I (метод потока), 3 – данные [20] для сублимации (эффузионный метод). Сплошные квадраты – расчет давления на основании данных по количеству вещества, конденсированного в холодной зоне, пустые квадраты – на основании данных по количеству вещества, испарившегося в источнике.
С использованием найденных характеристик парообразования также были оценены термодинамические параметры плавления: Tпл = 334.7 ± 1.5 K (найдена на пересечении зависимостей p(T) при сублимации и испарении), Δпр H°Tпл = 35 ± 5 кДж/моль, ΔпрS°Tпл = 105 ± 16 Дж/(моль K) (определены как разность энтальпии и энтропии сублимации и испарения соответственно). Рассчитанная из тензиметрических данных температура плавления совпадает с результатами, полученными другими методами.
Результаты масс-спектрометрического исследования
Состав ионов в фрагментах спектра определяли по массовому числу и изотопному составу [11, 12]. Основными металлсодержащими пиками в масс-спектре комплекса Cu(fod)2 являются пик молекулярного иона (653 а.е.м.) и продукты его фрагментации под действием электронного удара (табл. 4). В масс-спектрах не обнаружено ионов с массой, превышающей молекулярную. Это указывает на переход веществ в газовую фазу в виде мономеров и отсутствие процессов олигомеризации.
Таблица 4. Основные металлсодержащие пики в газовой фазе комплекса Cu(fod)2. Интенсивность пиков приведена для ионов, содержащих Cu63+
Ион | M/z | Iотн, % |
[Cu(fod)2–C(CH3)3–fod]+ | 301 | 100 |
[Cu(fod)2–CH3–C(CH3)3–CF3–C3F7]+ | 343 | 7.6 |
[Cu(fod)2–C(CH3)3–CF3–C3F7]+ | 358 | 31.4 |
[Cu(fod)2–CH3–C(CH3)3–C3F7]+ | 412 | 10.3 |
[Cu(fod)2–C(CH3)3]+ | 539 | 78.7 |
[Cu(fod)2–3CH3]+ | 596 | 79.4 |
[Cu(fod)2–F]+ | 634 | 3.5 |
[Cu(fod)2–CH3]+ | 638 | 3.1 |
Cu(fod)2+ | 653 | 59.2 |
ЗАКЛЮЧЕНИЕ
Проведено исследование двух полиморфных модификаций Cu(fod)2 (моноклинной (I) и триклинной (II)). Показано, что в триклинной модификации молекулы Cu(fod)2 упаковываются стопками, в то время как в моноклинной модификации наблюдается более плотный (одна молекула занимает на 12 Å3 или 1.85% меньший объем) паркетный мотив упаковки. Анализ поверхностей Хиршвельда показал, что межмолекулярные контакты более выражены в триклинной модификации. Этот результат также согласуется с расчетами энергии кристаллической решетки, которые показывают, что энергия кристаллической решетки для триклинной модификации на ~9 кДж/моль меньше, чем для моноклинной (–154.1 и –163 кДж/моль соответственно).
Согласно данным, полученным методами потока и ДTA, комплекс Cu(fod)2 термически стабилен как в твердом, так и в жидком состоянии и имеет достаточно высокое давление насыщенного пара. Это позволяет рассматривать его как перспективный прекурсор для получения медьсодержащих покрытий методом химического осаждения из газовой фазы. Полученные термодинамические характеристики процессов парообразования дают возможность количественно контролировать CVD-процессы.
ФИНАНСИРОВАНИЕ РАБОТЫ
Работа поддержана Министерством науки и высшего образования Российской Федерации.
КОНФЛИКТ ИНТЕРЕСОВ
Авторы заявляют об отсутствии конфликта интересов.
ДОПОЛНИТЕЛЬНАЯ ИНФОРМАЦИЯ
Онлайн-версия содержит дополнительные материалы, доступные по адресу: https://doi.org/10.31857/S0044457X24070088.
Об авторах
П. А. Стабников
Институт неорганической химии им. А.В. Николаева СО РАН
Автор, ответственный за переписку.
Email: stabnik@niic.nsc.ru
Россия, пр-т Академика Лаврентьева, 3, Новосибирск, 630090
М. А. Беспятов
Институт неорганической химии им. А.В. Николаева СО РАН
Email: stabnik@niic.nsc.ru
Россия, пр-т Академика Лаврентьева, 3, Новосибирск, 630090
И. В. Корольков
Институт неорганической химии им. А.В. Николаева СО РАН
Email: stabnik@niic.nsc.ru
Россия, пр-т Академика Лаврентьева, 3, Новосибирск, 630090
А. С. Сухих
Институт неорганической химии им. А.В. Николаева СО РАН
Email: stabnik@niic.nsc.ru
Россия, пр-т Академика Лаврентьева, 3, Новосибирск, 630090
П. Е. Плюснин
Институт неорганической химии им. А.В. Николаева СО РАН
Email: stabnik@niic.nsc.ru
Россия, пр-т Академика Лаврентьева, 3, Новосибирск, 630090
С. В. Трубин
Институт неорганической химии им. А.В. Николаева СО РАН
Email: stabnik@niic.nsc.ru
Россия, пр-т Академика Лаврентьева, 3, Новосибирск, 630090
А. В. Сартакова
Институт неорганической химии им. А.В. Николаева СО РАН; Новосибирский государственный университет
Email: stabnik@niic.nsc.ru
Россия, пр-т Академика Лаврентьева, 3, Новосибирск, 630090; ул. Пирогова, 2, Новосибирск, 630090
С. В. Сысоев
Институт неорганической химии им. А.В. Николаева СО РАН
Email: stabnik@niic.nsc.ru
Россия, пр-т Академика Лаврентьева, 3, Новосибирск, 630090
Список литературы
- Jones A.C., Hitchman M.L. Chemical Vapor Deposition: Precursors, Processes and Applications. RSC Publishing, 2009. https://doi.org/10.1039/9781847558794
- Kodas T., Hampden-Smith M. The Chemistry of Metal CVD. Weinhem: VCH, 1994.
- Новикова Г.Я., Моргалюк В.П., Янович Е.А. и др. // Журн. неорган. химии. 2021. Т. 66. № 8. С. 1054.
- Каткова М.А., Витухновский А.Г., Бочкарев М.Н. // Успехи химии. 2005. Т. 74. № 12. С. 1054.
- Бочкарев М.Н., Витухновски А.Г., Каткова М.А. Органические светоизлучающие диоды (OLED). Н. Новгород: ДЕКОМ, 2011.
- Кошенскова К.А., Луценко И.А., Нелюбина Ю.В. и др. // Журн. неорган. химии. 2022. Т. 67. № 10. С. 1398.
- Трошанин Н.В., Бычкова Т.И., Неклюдов В.В. и др. // Журн. неорган. химии. 2020. Т. 65. № 1. С. 56.
- Мирочник А.Г., Федоренко Е.В., Герасименко Ф.В. // Журн. неорган. химии. 2023. Т. 68. № 6. С. 808.
- Журавлев В.Д., Ермакова Л.В., Халиулин Ш.М. и др. // Журн. неорган. химии. 2022. Т. 67. № 6. С. 717.
- Виноградов А.С., Павленко В.А., Фрицкий И.О. и др. // Журн. неорган. химии. 2020. Т. 65. № 10. С. 1299.
- Трофимова О.Ю., Пашанова К.И., Ершова И.В. и др. // Журн. неорган. химии. 2023. Т. 68. № 9. С. 1154.
- Малинина У.А., Авдеева В.В., Короленко С.Е. и др. // Журн. неорган. химии. 2020. Т. 65. № 9. С. 1208.
- Игуменов И.К., Чумаченко Ю.В., Земсков С.В. // Problemy Khimii i Primeneniya -diketonatov Metallov. М.: Наука, 1982.
- Стабников П.А. // Журн. общ. химии. 2013. Т. 83. № 10. С. 1713.
- Крисюк В.В., Тургамбаева А.Е., Стабников П.А. и др. // Журн. прикл. химии. 2018. Т. 91. № 7. С. 925.
- Громилов С.А., Байдина И.А. // Журн. структур. химии. Т. 45. № 6. С. 1076.
- Patnaik S., Guru Row T.N., Raghunathan L. et al. // Acta Crystallogr. 1996. V. 52. P. 891. https://doi.org/10.1107/S0108270195012157
- DelaRosa M.J., Banger K.K., Higashiya S. et. al. // J. Fluorine Chem. 2003. V. 123. № 1. P. 109. https://doi.org/10.1016/S0022-1139(03)00141-6
- Sievers R.E., Connolly J.W., Ross W.D. // J. Cromatorg. Sci. I967. V. 1967. № 5. P. 241. https://doi.org/10.1093/chromsci/5.5.241
- Ribeiro da Silva M.A.V., Goncalves J.M. // J. Chem. Thermodyn. 1998. V. 30. № 12. P. 1465. https://doi.org/10.1006/jcht.1998.0412
- Vogelson C.T., Edwards C.L., Kobylivker A.N. et al. // J. Chem. Crystallogr. 1998. V. 28. P. 815. https://doi.org/10.1023/A:1021827720374
- Суворов А.В. Термодинамическая химия парообразного состояния. Л.: Химия, 1970.
- Krisyuk V., Aloui L., Prud’homme N. et al. // Electrochem. Solid-State Lett. 2010. V. 14. № 3. P. D26. https://doi.org/10.1149/1.3526142
- Vikulova E.S., Sysoev S.V., Sartakova A.V. et al. // Russ. J. Inorg. Chem. 2023. V. 68. № 2. P. 133. https://doi.org/10.1134/S003602362260232X
- Викулова Е.С., Сысоев С.В., Сартакова А.В. и др. // Журн. неорган. химии. 2023. Т. 68. № 2. С. 167.
- Sysoev S.V., Sulyaeva V.S., Kosinova M.L. // Russ. J. Inorg. Chem. 2023. V. 68. № 2. https://doi.org/10.1134/S0036023622602173.
- Сысоев С.В., Суляева В.С., Косинова М.Л. // Журн. неорган. химии. 2023. Т. 68. № 2. С. 241.
- APEX3 (v.2019.1-0), Bruker AXS Inc., Madison, Wisconsin, USA, 2019.
- Dolomanov O.V., Bourhis L.J., Gildea R.J. et al. // J. Appl. Crystallogr. 2009. V. 42. P. 339. https://doi.org/10.1107/S0021889808042726
- Sheldrick G.M. // Acta Crystallogr., Sect. A: Found. Crystallogr. 2015. V. 71. P. 3. https://doi.org/10.1107/S2053273314026370
- Sheldrick G.M. Crystal Structure Refinement with SHELXL // Acta Crystallogr., Sect. C: Cryst. Struct. Commun. 2015. V. 71. P. 3. https://doi.org/10.1107/S2053229614024218
- Spackman P.R., Turner M.J., McKinnon J.J. et al. // J. Appl. Crystallogr. 2021. V. 54. P. 1006. https://doi.org/10.1107/S1600576721002910
- Mackenzie C.F., Spackman P.R., Jayatilaka D. et al. // IUCrJ. 2017. V. 4. № 4. P. 575. https://doi.org/10.1107/S205225251700848X
Дополнительные файлы







