Electronic Structure Of Cobalt Phosphates Co1-xmxpo4 Doped With Iron And Nickel Atoms
- Authors: Pecherskaya M.D.1, Galkina O.A.2, Ruzimuradov O.N.3, Mamatkulov S.I.1
-
Affiliations:
- Institute of Materials Science, Uzbekistan Academy of Sciences
- Institute of Chemistry and Physics of Polymers, Uzbekistan Academy of Sciences
- Turin Polytechnic University in Tashkent
- Issue: Vol 69, No 4 (2024)
- Pages: 517-527
- Section: ТЕОРЕТИЧЕСКАЯ НЕОРГАНИЧЕСКАЯ ХИМИЯ
- URL: https://journals.rcsi.science/0044-457X/article/view/266828
- DOI: https://doi.org/10.31857/S0044457X24040071
- EDN: https://elibrary.ru/ZYJKHQ
- ID: 266828
Cite item
Full Text
Abstract
In this research, the electronic states, band structures, and bond properties of the framework compounds of CoPO4, Co1-xFexPO4, and Co1–xNixPO4 were investigated by the density functional theory calculations. The potential capabilities of these systems in the photocatalytic water splitting to produce hydrogen were analyzed. The spin-up electron densities of states for the CoPO4, Co1–xFexPO4, and Co1–xNixPO4 systems have band gaps of 2.7, 3.4, and 3.45 eV, respectively. The band of spin-down electron states has several energy gaps above the Fermi level. The density of states of electron with spin up near the Fermi level is obviously greater than that of electrons with spin down. In this case, localized states of electrons appear in the band gap of doped semiconductors due to impurity atoms. The calculated value of the energy at the lower edge of the conduction band for CoPO4 was –0.7 eV, which is more negative than the energy required for water splitting. Meanwhile, the calculated value of the energy at the upper edge of the valence band was 2.01 eV, which is more positive than the oxygen evolution energy of 1.23 eV.
Full Text
Введение
В последнее время с быстрым развитием водородной энергетики все больше внимания уделяется получению водорода экологически чистым путем с помощью фотолиза воды. Особый интерес представляет разработка дешевых фотокатализаторов для диссоциации воды (на водород и кислород) под воздействием солнечного света.
Широкое применение в качестве фотокатализаторов нашли различные полупроводниковые материалы на основе переходных металлов, такие как оксиды [1–3], гидроксиды [4], сульфиды [5], нитриды [6], селениды [7], бориды [8], халькогениды [9] и фосфиды/фосфаты [10]. Однако, несмотря на высокую химическую инертность, экологичность и малую стоимость при изготовлении, многие из них имеют ряд существенных недостатков. А именно необходимость удовлетворять основным требованиям, предъявляемым к эффективному фотокаталитическому процессу: 1) с точки зрения термодинамики, верхний край валентной зоны полупроводника должен располагаться более положительно, чем окислительно-восстановительный потенциал пары O2/H2O (+1.23 В относительно стандартного водородного электрода (NHE) при pH 0), а нижний край зоны проводимости должен быть позиционирован более отрицательно, чем потенциал восстановления H+/H2 (0 В относительно NHE при pH 0). Следовательно, минимальная энергия фотонов, термодинамически необходимая для возбуждения реакции, составляет 1.23 эВ; 2) ширина запрещенной зоны (Eg) полупроводника определяет спектр действия фотокатализатора – чем меньше значение Eg, тем более длинноволновый свет доступен для поглощения. Например, для поглощения видимого света необходимо Eg < 3 эВ, а наиболее широкозонные фотокатализаторы проявляют активность только при УФ-облучении. Существует ряд и других немаловажных условий для эффективного протекания фотокаталитического процесса разложения воды, что является основополагающим при поиске новых фотокатализаторов для выделения кислорода и водорода [11].
В последнее время интенсивно исследуются новые материалы на основе фосфата/фосфида переходных металлов из-за их наиболее эффективной каталитической активности в реакции выделения водорода, а также их исключительной активности и стабильности. Помимо этого, изучение фосфатов каркасного строения обусловлено высокой химической и радиационной устойчивостью и способностью включать в кристаллическую структуру (легировать) катионы разного заряда и размера. Так, в работах [12, 13] представлены перспективы разработки фосфатов переходных металлов для реакции выделения кислорода (РВК) с высокой производительностью. Возможность включения различных щелочных металлов в труднорастворимую устойчивую структуру является важным достоинством фосфатов каркасного строения. Введение в состав каркасных фосфатов переходных металлов позволяет разрабатывать более дешевые монофазные матрицы и материалы с требуемыми свойствами.
В работе [14] сообщается о синтезе электрокатализатора (Co, Fe)PO4 на основе фосфатного метода для реакции выделения водорода (РВВ) при щелочном расщеплении морской воды. (Co, Fe)PO4 демонстрирует высокую активность и долговечность РВВ в щелочной природной морской воде (1 М KOH + морская вода), обеспечивая плотность тока 10 мА/см2 при избыточном потенциале 137 мВ. Кроме того, измеренный потенциал электрокатализатора (Co, Fe)PO4 при постоянной плотности тока –100 мА/см2 остается весьма стабильным без заметной деградации в течение 72 ч при непрерывной работе в щелочной природной морской воде, что свидетельствует о его целесообразности для применения в морской воде. Примечательно, что фосфат железа, легированный кобальтом и никелем, обеспечивает наилучшие показатели электрохимического расщепления воды с точки зрения РВВ, РВК и общего расщепления воды. Допирование переходным металлом значительно повышает каталитическую активность, обеспечивая высокую плотность тока и малые избыточные потенциалы за счет улучшения электропроводности и процесса активации частичного переноса заряда с металла на металл. Кроме того, допирование приводит к изменениям в кристаллической структуре и морфологии конечного фотокатализатора. Мезопористость и синергетическое взаимодействие обоих атомов металла приводят к улучшению характеристик по сравнению с чистым фосфатом железа. Соединения, имеющие атомы металлов в более высоком валентном состоянии, приводят к образованию высокоадсорбированных на поверхности промежуточных продуктов. В процессе длительного катализа происходит переход состояний Co2+ и Fe2+ в состояния с более высокой степенью окисления. Результаты спектроскопических исследований указывают на то, что активное состояние катализатора состоит из кластеров со смешанной валентностью Co2+/3+ и Fe2+/3+. Переход от кристаллической к аморфной мезопористой структуре, синергетическое взаимодействие металлов Co и Fe, а также электронный переход в высшие состояния приводят к значительному повышению эффективности общего разложения воды.
Авторами работы [15] исследованы фотоэлектрохимические характеристики гетерогенной системы Co3(PO4)2, модифицированной восстановленным оксидом графена (RGO), в реакции выделения водорода. В частности, показано, что Co3(PO4)2, закрепленный на нанолистах RGO, обладает повышенной фотокаталитической активностью. Было отмечено, что повышение фотоактивности обусловлено, главным образом, ступенчатой системой гетероперехода II типа, в которой фотоиндуцированные электроны из трехмерного каркаса Co3(PO4)2 переходят на двухмерный RGO и приводят к уменьшению рекомбинации зарядов, что подтверждается данными спектроскопии фотолюминесценции. Методом Кубелки–Мунка рассчитано значение запрещенной зоны Co3(PO4)2, равное 2.35 эВ. К сожалению, катализаторы на основе соединений кобальта, в том числе CoPO4, остаются относительно малоизученными с точки зрения фотокаталитического выделения водорода, несмотря на то, что они являются эффективными светоулавливающими материалами и выступают в качестве сильных медиаторов электронов [16–18].
С другой стороны, привлекательность соединений с фосфатными группами обусловлена наличием индуктивного эффекта и обеспечением хорошей ионной проводимости благодаря возникновению каналов между громоздкими группами PO43–. Отсутствие дальнего порядка в аморфных полупроводниках может приводить к образованию в запрещенной зоне in-gap электронных состояний, связанных с дефектами или допированными элементами, которые соответствуют внутреннему свойству неупорядоченного материала [19]. Способность соединений фосфатов переходных металлов осуществлять окислительно-восстановительные реакции на своей поверхности зависит от величины запрещенной зоны относительно свободных энергий интересующих реакций. Реакции термодинамически благоприятны, если их свободные энергии расположены в зоне запрещенной энергии. Поэтому очень важно иметь представления об электронной структуре соединений фосфатов переходных металлов.
В настоящей работе с использованием метода теории функционала плотности (DFT) в рамках локального приближения плотности исследованы электронные состояния, структуры зон, свойства связи наряду с электронной проводимостью каркасных соединений CoPO4, Co1–xFexPO4, и Co1–xNixPO4. Определена ширина запрещенной зоны исследуемых структур, а также проанализированы способности этих соединений осуществлять окислительно-восстановительные реакции. Результаты показывают, что зонные структуры Co1–хМхPO4 анизотропны. Ширина запрещенной зоны для электронных состояний со спином вверх отличается от зоны электронных состояний со спином вниз, которые имеют несколько энергетических щелей над уровнем Ферми. Плотность состояний электронов со спином вверх вблизи уровня Ферми, очевидно, больше, чем у электронов со спином вниз.
Метод расчета
Расчеты электронной структуры фосфата кобальта были выполнены в рамках теории функционала локальной плотности LDA + U [20], учитывающей одноатомные кулоновские корреляции и обмен, с использованием программного пакета Quantum Espresso [21]. Энергии адсорбции и спин-зависимые центры полос рассчитывали в рамках DFT с использованием обменно-корреляционного функционала с параметризацией Пердью–Бурке–Эрнзергофа, основанного на обобщенно-градиентном приближении (GGA LDA). Волновые функции были разложены на плоские волны и ограничены энергией 400 эВ. Для оптимизации геометрии и расчета электронной структуры исследуемых систем использовали суперячейку, состоящую из 48 атомов и Монкхорст–Пак сетки c 8 × 8 × 8 k-точками (рис. 1). В расчете использовали следующие электронные конфигурации: для атомов Co – [Ar]4s24p03d7, для атомов P – [Ne]3s23p3, O – [He]2s2 2p4, Ni – [Ar]4s24p03d8, Fe – [Ar]4s23d6. Электроны в полностью заполненной оболочке [Ar, Ne, He] относили к остову. Влияние валентных электронов учитывали путем использования ультрамягких (ultrasoft Vanderbilt) псевдопотенциалов. Позиции атомов и параметры ячейки чистого CoPO4 были оптимизированы квазиньютоновским методом с использованием алгоритма BFGS (Broyden–Fletcher–Goldfarb–Shanno) до уменьшения сил в пределах 0.01 эВ/Å для атомов, не подвергавшихся ограничениям, и были сравнены с экспериментальными данными. Размеры решетки чистого CoPO4, полученные методом LDA + U, показаны в табл. 1. Расчетные данные а = 9.28, b = 5.11, c = 4.25 Å удовлетворительно совпадают с экспериментальными значениями решетки, полученными в работе [22], где а = 9.58, b = 5.79, c = 4.77 Å. В оптимизированной геометрии CoPO4 атомы кобальта были заменены атомами железа или никеля и также были оптимизированы с использованием алгоритма BFGS.
Таблица 1. Параметры элементарной ячейки для Co(PO4), Co1–xFexPO4 и Co1–xNixPO4 (х = 0.05), рассчитанные с использованием метода LDA + U, и экспериментальные данные для сравнения
Параметр элементарной ячейки, Å | Co(PO4) | Co1–xFexPO4 | Co1–xNixPO4 | Эксперимент [22] |
a | 9.28 | 9.58 | 9.55 | 9.58 |
b | 5.11 | 5.01 | 5.03 | 5.79 |
c | 4.25 | 4.21 | 4.15 | 4.77 |
Рис. 1. Структура кристаллов CoPO4 (а), Co1–xFexPO4 (б) и Co1–xNixPO4 (в), использованная в расчетах. Красным цветом обозначены атомы кислорода, желтым – фосфора, темно-зеленым – кобальта.
Основной погрешностью расчетов полупроводников методом теории функционала электронной плотности является широко известное занижение значения ширины запрещенной зоны. Для компенсации этой погрешности нами был использован метод введения одноцентровых поправок Хаббарда к U-кулоновским и J-обменным взаимодействиям в атомах (LDA + U). Параметр U, используемый в данном методе расчета, представляет собой эмпирически подбираемую величину, а параметр J, характеризующий обменное взаимодействие, был взят равным 2 эВ для всех проведенных расчетов [23, 24]. Путем варьирования комбинаций параметров U и J проведена серия расчетов с целью получения экспериментально наблюдаемого значения ширины запрещенной зоны для чистого CoPO4, которое составило 2.7 эВ. При различных значениях параметра U были найдены значения ширины запрещенной зоны и спинового магнитного момента для атома кобальта. Эти результаты, а также значения, экспериментально полученные авторами работ [27, 28], представлены в табл. 2. Таким образом, для атома кобальта использовали величины U и J, равные 5.0 и 2.0 эВ соответственно.
Таблица 2. Значения запрещенной зоны и магнитных моментов Co(PO4), Co1–xFexPO4 и Co1–xNixPO4 при х = 0.05 в различных значениях коррекции Хаббарда
Метод | UCo3d | JCo3d | Eg | ECB | EVB | µB |
эВ | ||||||
Co(PO4)/LDA | 0 | 0 | 0.4 | – | – | 0.0 |
Co(PO4)/LDA | 4.0 | 2.0 | 2.5 | – | – | 2.7 |
Co(PO4)/LDA | 5.0 | 2.0 | 2.7 | –0.69 | 2.01 | 2.98 |
Co1–xFexPO4/LDA | 5.0 | 2.0 | 3.4 | –0.32 | 3.08 | 2.97 |
Co1–xNixPO4/LDA | 5.0 | 2.0 | 3.45 | –0.32 | 3.13 | 2.95 |
Эксперимент [22] | 2.7 | 3.1 | ||||
В настоящей работе были рассмотрены различные структуры фосфатов кобальта, включая моноклинную и орторомбические симметрии кристаллов. Все исследованные структуры взяты из базы данных The Materials Project [25]. Хотя на веб-сайте Materials project орторомбические структуры CoPO4 с симметрией Рna21 и Pnma обозначены как экспериментально не обнаруженные, тем не менее в работах [22, 26] были исследованы структуры CoPO4 c симметрией Рna21 и Pnma, легированные атомами лития. На рис. 1а–1в показана геометрия как чистого кобальт фосфата, так и Fe- или Ni-легированного кобальт фосфата. Кристаллическая структура CoPO4 описывается элементарной ячейкой, принадлежащей орторомбической симметрии Рna2₁ и содержит 24 базисных атома. Постоянные решетки для исследованных систем приведены в табл. 1. Атомы Co в структуре CoPO4 шестикратно координированы атомами O, причем таким образом, что имеются три ближайших атома O на расстоянии 1.85 Å и три следующих за ближайшими атомами O на расстоянии 1.98 Å, при этом атомы P имеют тетраэдрическую координацию. Моделирование легированного CoPO4 производили путем замещения одного из атомов кобальта атомами никеля и железа суперячейки типа 2 × 1 × 1, состоящей из 48 атомов, полученной двукратной трансляцией элементарной ячейки CoPO4 вдоль x-вектора трансляции. В расчетах использовали кристаллические структуры Co8(PO4)8, Co7Fe(PO4)8, и Co7Ni(PO4)8, которые соответствуют ⁓5%-ному допированию чистого Co8(PO4)8 атомами железа и никеля (рис. 1).
Результаты и обсуждение
Структура энергетических зон CoPO4
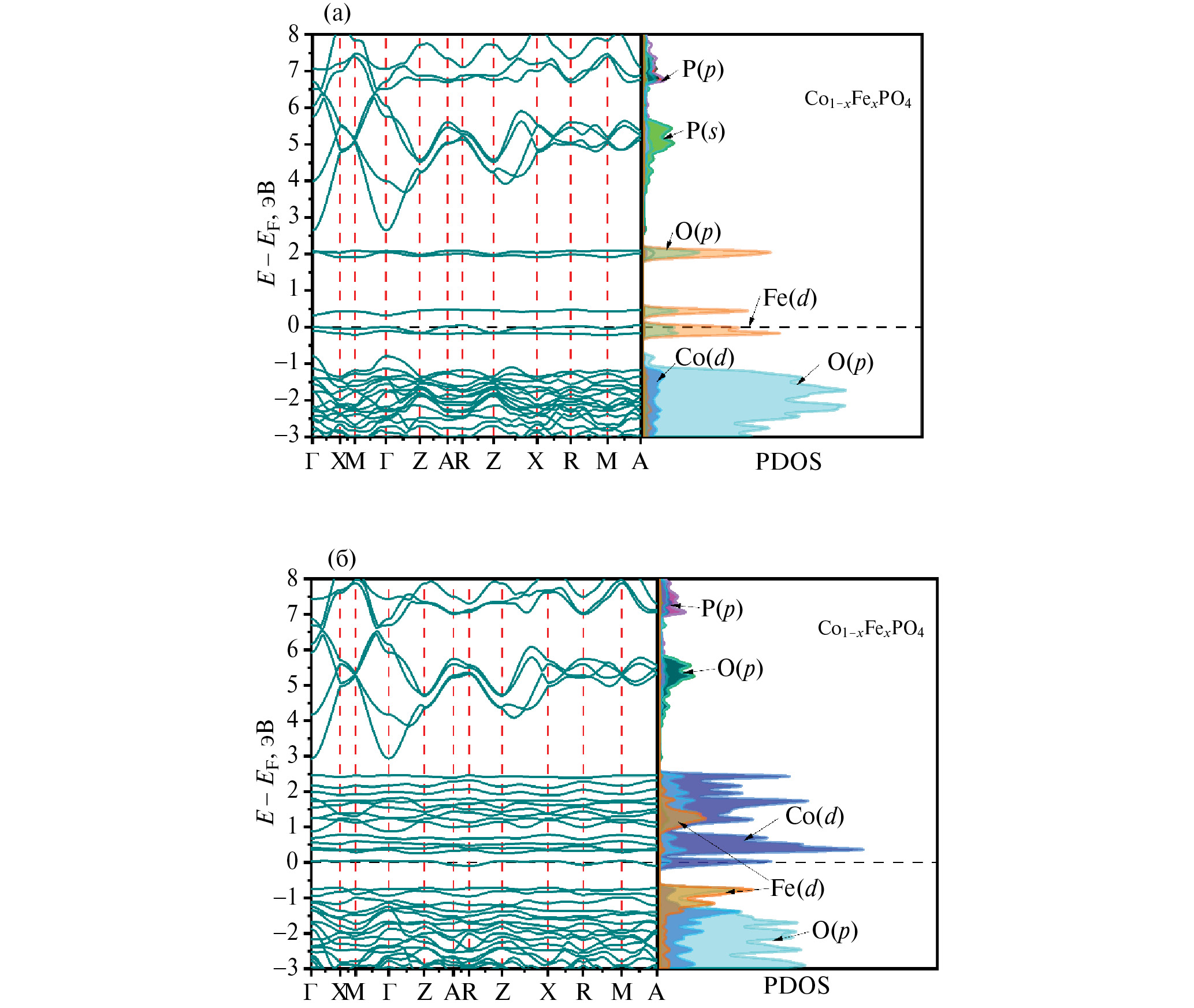
На рис. 2a–2г показано сравнительное исследование парциальных плотностей электронных состояний для электронов со спинами вверх и вниз для Co(PO4) и Fe- и Ni-легированного Co(PO4). Волновые функции O2p и Co3d сильно локализованы, а состояния O2p энергетически очень близки к состояниям Co3d, что свидетельствует о значительно сильном взаимодействии между O2p и Co3d. Верхние уровни валентной зоны Co(PO4) могут быть разложены на три основные области, а миноритарных спиновых состояний – пять: связывающие состояния σ, формируемые связями Op; в средней – связующие состояния t1u; и в верхней – антисвязующие Opπ*-состояния, где гибридизация с t2g-электронами Co незначительна. Плотность электронных уровней со спинами вверх в валентной зоне Co(PO4) DOS отсутствует примерно с –18.14 до –13 эВ и однородно распределяется от –13 до 0 эВ. Уровни в зоне проводимости равномерно распределяется до 8 эВ. Ширина запрещенной зоны для электронов со спинами вверх Еgu = 2.7 эВ. Распределение DOS для электронов со спинами вниз в валентной зоне значительно меньше вблизи уровня Ферми и распространяется приблизительно от –12.5 до –1.0 эВ, и имеется небольшое незаполненное состояние вблизи уровня Ферми от –1.1 эВ. В случае электронов со спинами вниз ширина запрещенной зоны имеет значения Еgd = 2.31 эВ, и в середине запрещенной зоны появляются локальные вакантные электронные состояния в основном за счет d-уровней атома кобальта.
Рис. 2. Плотность электронных состояний (DOS) со спином вверх и вниз для чистого CoPO4 (а, б), а также CoPO4, легированного железом (в, г) и никелем (д, е). Нулевая энергия берется на уровне Ферми, левая половина рисунков отображает состояние со спином вверх, а правая – состояние со спином вниз.
На рис. 2в, 2г представлены плотности электронных состояний для Co1–xFexPO4. При допировании фосфата кобальта атомами железа ширина запрещенной зоны немного увеличивается по сравнению с чистым CoPO4 и достигает до 3.4 эВ для электронов с доминирующим направлением спина. Уровни электронной зоны Co1–xFexPO4 состоят из пяти основных областей, где миноритарных спиновых состояний четыре. В спектре плотности электронных состояний со спином вверх и вниз в запрещенной зоне образуются вакантные d-орбитальные состояния атома Fe.
На рис. 2г, 2д показаны плотности электронных состояний для Co1–xNixPO4. При допировании фосфата кобальта атомами никеля ширина запрещенной зоны немного увеличивается, как и в случае легирования атомами Fe, и составляет 3.45 эВ для электронов с доминирующим направлением спина. В запрещенной зоне наблюдаются несколько локализованных электронных уровней, где атомы Ni участвуют в локализации дефектного состояния. Образование локальных электронных уровней может быть связано с тем, что большая часть легирующей примеси индуцирует состояния “ловушки” (“trap states”) в середине запрещенной зоны исследуемой системы, которые ответственны за более высокую электронно-дырочную рекомбинацию, тем самым снижая эффективность [27].
Структурные характеристики
Систематические исследования показали, что экспериментально наблюдаемую величину запрещенной зоны для CoPO4 можно получить при поправке для атома Co3d: U = 5.0, J = 2.0. В табл. 2 представлены результаты для величин запрещенной зоны и магнитных моментов фосфата кобальта при различных значениях параметров коррекции Хаббарда U и J. Значения U и J были выбраны для воспроизведения экспериментально наблюдаемого магнитного момента и энергии запрещенной зоны. При U = 5.0 и J = 2.0 рассчитанное значение Eg = 2.7 эВ и эффективный магнитный момент системы CoPO4 получен как 2.98µ, что вполне совпадает с результатом работы [22].
Методом DFT зафиксировано изменение запрещенной зоны при легировании атомами Fe и Ni. В качестве примера на рис. 3–5 приведены зонные структуры CoPO4 и Fe- и Ni-легированного Co(PO4) соответственно. Общий вид рассчитанной зонной структуры CoPO4 (рис. 3) хорошо согласуется с зонными структурами CoPO4, полученными ранее другими расчетными методами [28, 29]. CoPO4 является прямозонным полупроводником с вершиной валентной зоны и дном зоны проводимости в центре зоны Бриллюэна Г-точки. Ширина запрещенной зоны составляет Eg = 2.7 эВ. Спиновая поляризация вблизи уровня Ферми усиливается в случае допирования атомами никеля (рис. 4). Экспериментальные значения Eg для кристаллического CoPO4 лежат в интервале 2.35–2.8 эВ [30, 31]. В соответствии с экспериментом валентная зона CoPO4 состоит из двух подзон, разделенных ионной щелью. В стандартной интерпретации нижняя валентная зона сформирована 2s-орбиталями Co с примесью 3s-, 3p-состояний P. Верхняя валентная зона сформирована 3d-орбиталями Co и 3s- и 3p-орбиталями O. В соответствии с дипольными правилами отбора на P2p-уровень разрешены переходы с P3s-состояний (одноцентровые локальные переходы).
Рис. 3. Структура энергетических зон и парциальные плотности состояний системы CoPO4 для электронов со спинами вверх (а) и для электронов со спинами вниз (б). Для этого кристалла зонные структуры для электронов с различным направлением спина отличаются друг от друга, что приводит к неодинаковым по величине запрещенным зонам и составляют Еgu = 2.7 эВ и Еgd = 1.1 эВ.
Рис. 4. Структура энергетических зон и парциальные плотности состояний системы Co1–xFexPO4 для электронов со спинами вверх (а) и для электронов со спинами вниз (б).
Рис. 5. Структура энергетических зон и парциальные плотности состояний системы Co1–xNixPO4 для электронов со спинами вверх (а) и для электронов со спинами вниз (б).
Допирование CoPO4 атомами никеля и железа приводит к появлению в энергетическом спектре кристалла набора уровней энергии. Значение запрещенной зоны для Co1–xNixPO4 равно 3.45 эВ, а для Co1–xFexPO4 – 3.4 эВ. В частности, появляются дополнительные уровни в запрещенной зоне, которые заполнены d-электронами Fe и р-электронами О (рис. 4а). Незаполненные уровни, связанные с наличием дефекта, появляются ниже дна зоны проводимости. Эти локальные уровни расположены в среднем на 0.5 эВ ниже дна полосы проводимости и соответствуют незанятым состояниям.
Способность электронов переходить на поверхность адсорбированных молекул связана со значением окислительно-восстановительного потенциала и положением краев полос [32]. Положения краев полос были определены по абсолютной электроотрицательности и величине запрещенной зоны относительно каталитических свойств фотокатализаторов, используя формулы (1) и (2) [13]:
EVB = ECB + Eg, (1)
ECB = –[χ(A)a χ(B)b χ(C)c]1/(a+b+c) + EН + 1/2Eg, (2)
где EVB и ECB означают верхний край валентной зоны и нижний край зоны проводимости соответственно; χ – среднегеометрическое значение электроотрицательности атомов по Малликену, свободная энергия электрона EН равна 4.5 эВ по водородной шкале [33] и Eg – величина запрещенной зоны, полученная методом LDA + U (табл. 2). Формула (2) предоставляет возможность оценить края валентной зоны и зоны проводимости через электроотрицательность атомов в системе и значения запрещенной зоны полупроводника. Исследования, представленные в работе [34], показывают, что сумма такой величины и ширины запрещенной зоны (∆Е) может предcтавлять значение энергии крайней границы фотоэффекта, как описано уравнением (2). Иными словами, значение сродства к электрону и электроотрицательность в этих случаях характеризуют валентную зону структуры. Абсолютная электроотрицательность определена ⁓6.52 эВ для всех рассматриваемых систем. Значение энергии нижнего края зоны проводимости ECB для CoPO4, Co1–xFexPO4, и Co1–xNixPO4 составляет –0.69, –0.32 и –0.32 эВ соответственно (табл. 2). Это подтверждает, что зона проводимости расположена более отрицательно, чем энергия выделения водорода. Значение энергии верхнего края валентной зоны EVB для этих систем составляет 2.01, 3.13 и 3.08 эВ соответственно. Исходя из положения валентной зоны и зоны проводимости, а также ширины запрещенной зоны, можно рассматривать исследуемые системы как подходящие для фотоэлектрокаталитического разложения воды в спектре видимого и УФ-света.
Заключение
В заключение отметим, что в данной работе систематически исследованы электронные состояния, зонная структура и свойства связи кристаллических структур CoPO4, Co1–xFexPO4 и Co1–xNixPO4. Плотность электронных состояний спином вверх и спином вниз имеет разные энергетические щели. Установлено, что введение атомов Fe и Ni в фосфатный каркас приводит к увеличению значения ширины запрещенной зоны электронных состояний со спином вверх с 2.7 эВ для чистого СоРО4 к 3.4 и 3.45 эВ для Co1–xFexPO4 и Co1–xNixPO4. При этом в запрещенной зоне легированных полупроводников появляются локализованные состояния электронов из-за примесных атомов. Вычисленная энергия края зоны проводимости расположена более отрицательно, чем энергия выделения водорода, а вычисленная энергия верхнего края валентной зоны позиционирована более положительно, чем энергия выделения кислорода, которая составляет 1.23 эВ.
Финансирование работы
Исследование выполнено при финансовой поддержке фонда Государственных программ фундаментальных исследований Республики Узбекистан.
Конфликт интересов
Авторы заявляют, что у них нет конфликта интересов.
About the authors
M. D. Pecherskaya
Institute of Materials Science, Uzbekistan Academy of Sciences
Author for correspondence.
Email: mariya.pecherskaya@yahoo.com
Uzbekistan, Tashkent, 100084
O. A. Galkina
Institute of Chemistry and Physics of Polymers, Uzbekistan Academy of Sciences
Email: mariya.pecherskaya@yahoo.com
Uzbekistan, Tashkent, 100128
O. N. Ruzimuradov
Turin Polytechnic University in Tashkent
Email: mariya.pecherskaya@yahoo.com
Uzbekistan, Tashkent, 100095
Sh. I. Mamatkulov
Institute of Materials Science, Uzbekistan Academy of Sciences
Email: mariya.pecherskaya@yahoo.com
Uzbekistan, Tashkent, 100084
References
- Raj D., Scaglione F., Fiore G. et al. // Nanomaterials. 2021. V. 11. № 5. P. 1313. https://doi.org/10.3390/nano11051313
- Pecherskaya M.D., Butanov K.T., Ruzimuradov O.N. et al. // Glass Phys.Chem. 2022. V. 48. № 4. P. 327. https://doi.org/10.1134/S1087659622040101
- Saidov K., Shrawan R., Razzokov J. et al. // E3S Web of Conferences. 2023. V. 402. № 14038. https://doi.org/10.1051/e3sconf/202340214038
- Gicha B.B., Tufa L.T., Kang S. et al. // Nanomaterials. 2021. V. 11. № 6. P. 1388. https://doi.org/10.3390/nano11061388
- D’yachkov E.P., D’yachkov P.N. // Russ. J. Inorg. Chem. 2019. V. 64. № 9. P. 1152. https://doi.org/10.1134/S0036023619090080
- Peng X., Pi C., Zhang X. et al. // Sustain. Energy Fuels. 2019. V. 3. № 2. P. 366. https://doi.org/10.1039/c8se00525g
- Liu B., Zhao Y.F., Peng H.Q. et al. // Adv. Mater. 2017. V. 29. № 19. P. 1606521. https://doi.org/10.1002/adma.201606521
- Jiang Y., Lu Y. // Nanoscale. 2020. V. 12. № 17. P. 9327. https://doi.org/10.1039/d0nr01279c
- Sumesh C.K., Peter S.C. // Dalton Trans. 2019. V. 48. № 34. P. 12772. https://doi.org/10.1039/c9dt01581g
- Geng Z., Yang M., Qi X. et al. // J. Chem. Technol. Biotechnol. 2019. V. 94. № 5. P. 1660. https://doi.org/10.1002/jctb.5937
- Rodionov I.A., Zvereva I.A. // Russ. Chem. Rev. 2016. V. 85. № 3. P. 248. https://doi.org/10.1070/rcr4547
- Kim C., Lee S., Kim S.H. et al. // Nanomaterials. 2021. V. 11. № 11. P. 2989. https://doi.org/10.3390/nano11112989
- Samal A., Swain S., Satpati B. et al. // ChemSusChem. 2016. V. 9. № 22. P. 3150. https://doi.org/10.1002/cssc.201601214
- Liu X., Lai H., Li J. et al. // Photochem. Photobiol. Sciences. 2022. V. 21. № 1. P. 49. https://doi.org/10.1007/s43630-021-00139-2
- Lutterman D.A., Surendranath Y., Nocera D.G. // J. Am. Chem. Soc. 2009. V. 131. № 11. P. 3838. https://doi.org/10.1021/ja900023k
- Barroso M., Cowan A.J., Pendlebury S.R. et al. // J. Am. Chem. Soc. 2011. V. 133. № 38. P. 14868. https://doi.org/10.1021/ja205325v
- Ejsmont A., Jankowska A., Goscianska J. // Catalysts. 2022. V. 12. № 2. P. 110. https://doi.org/10.3390/catal12020
- Zhang J., Sun W., Ding X. et al. // Nanomaterials. 2023. V. 13. № 3. P. 526. https://doi.org/10.3390/nano13030526
- Surendranath Y., Kanan M.W., Nocera D.G. // J. Am. Chem. Soc. 2010. V. 132. № 46. P. 16501. https://doi.org/10.1021/ja106102b
- Lutfalla S., Shapovalov V., Bell A.T. // J. Chem. Theory. Comput. 2011. V. 7. № 7. P. 2218. https://doi.org/10.1021/ct200202g
- Giannozzi P., Baroni S., Bonini N. et al. // J. Phys.: Condens. Matter. 2009. V. 21. № 39. P. 5502. https://doi.org/10.1088/0953-8984/21/39/395502
- Ehrenberg H., Bramnik N.N., Senyshyn A. et al. // Solid State Sci. 2009. V. 11. № 1. P. 18. https://doi.org/10.1016/j.solidstatesciences.2008.04.017
- de la Peña O’Shea V.A., Moreira I. de P.R., Roldán A. et al. // J. Chem. Phys. 2010. V. 133. № 2. P. 4701. https://doi.org/10.1063/1.3458691
- Emmeline Yeo P.S., Ng M.F. // J. Mater. Chem. A. 2017. V. 5. № 19. P. 9287. https://doi.org/10.1039/c6ta10674a
- Jain A., Ong S.P., Hautier G. et al. // APL Mater. 2013. V. 1. № 1. P. 011002. https://doi.org/10.1063/1.4812323
- Ludwig J., Nilges T. // J. Power Sources. 2018. V. 382. P. 101. https://doi.org/10.1016/j.jpowsour.2018.02.038
- Gahlawat S., Singh J., Yadav A.K. et al. // Phys. Chem. Chem. Phys. 2019. V. 21. № 36. P. 20463. https://doi.org/10.1039/c9cp04132j
- Gerken J.B., McAlpin J.G., Chen J.Y.C. et al. // J. Am. Chem. Soc. 2011. V. 133. № 36. P. 14431. https://doi.org/10.1021/ja205647m
- Lyons M.E.G., Brandon M.P. // Int. J. Electrochem. Sci. 2008. V. 3. № 12. P. 1386. https://doi.org/10.1016/S1452-3981(23)15533-7
- Artero V., Chavarot-Kerlidou M., Fontecave M. // Angewandte Chemie – International Edition. 2011. V. 50. № 32. P. 7238. https://doi.org/10.1002/anie.201007987
- Delmas C., Cherkaoui F., Nadiri A. et al. // Mater. Res. Bull. 1987. V. 22. № 5. P. 631. https://doi.org/10.1016/0025-5408(87)90112-7
- Zhu Y.P., Ren T.Z., Yuan Z.Y. // Catal. Sci. Technol. 2015. V. 5. № 9. P. 4258. https://doi.org/10.1039/c5cy00107b
- Pearson R.G. // Inorg. Chem. 1988. V. 27. № 4. P. 734. https://doi.org/10.1021/ic00277a030
- Соммер А. Фотоэмиссионные материалы / Пер. с англ. под ред. Мусатова А.Л. М.: Энергия, 1973.
Supplementary files







