Структура, спектральные и фотокаталитические свойства пористых нанопорошков ZnO, модифицированных оксидными соединениями марганца
- Авторы: Гаврилова М.А.1, Гаврилова Д.А.1, Евстропьев С.К.1,2,3, Никоноров Н.В.2
-
Учреждения:
- Санкт-Петербургский государственный технологический институт (технический университет)
- Университет ИТМО
- Государственный оптический институт им. С.И. Вавилова
- Выпуск: Том 69, № 3 (2024)
- Страницы: 385-393
- Раздел: СТРУКТУРА, МАГНИТНЫЕ И ОПТИЧЕСКИЕ СВОЙСТВА МАТЕРИАЛОВ
- URL: https://journals.rcsi.science/0044-457X/article/view/262891
- DOI: https://doi.org/10.31857/S0044457X24030128
- EDN: https://elibrary.ru/YDSZAY
- ID: 262891
Цитировать
Полный текст
Аннотация
Синтезированы пористые нанокомпозиты на основе оксидных соединений цинка и марганца и исследованы их структура, морфология, спектральные и фотокаталитические свойства. Показано, что полученные пористые оксидные композиты обладают фотокаталитическими свойствами и состоят из нанокристаллов ZnO, Mn3O4 и ZnMn2O4 размером 20–40 нм. Внедрение ионов Mn2+ в кристаллическую решетку ZnO обусловливает увеличение объема элементарной ячейки кристаллов на 0.9%. Ширина запрещенной зоны композитов составляет 3.26 эВ. Кинетика фотокаталитического разложения в растворе красителя Chicago Blue Sky описывается уравнением псевдопервого порядка. В присутствии пористых нанокомпозитов процессы окисления органических соединений протекают как на поверхности фотокатализаторов, так и в растворе. Синтезированные нанокомпозиты могут быть перспективны для использования в фотокаталитических системах очистки воды и воздуха от органических загрязнений, а также для разложения воды на кислород и водород для водородной энергетики.
Ключевые слова
Полный текст
ВВЕДЕНИЕ
В последние десятилетия во всем мире проводятся интенсивные исследования по разработке и изучению свойств оксидных фотокаталитических материалов. Эти материалы используются для очистки и обеззараживания воды, воздуха, в водородной энергетике при разложении воды на кислород и водород, в качестве антибактериальных покрытий, а также в других практических приложениях.
Механизм фотокаталитического эффекта и антибактериальной активности, которые проявляются в оксидных полупроводниках (TiO2, ZnO, SnO2 и др.), состоит из нескольких стадий [1–3]:
- под действием света в материале происходит генерация электронно-дырочных пар;
- электронно-дырочные пары взаимодействуют на поверхности полупроводника с адсорбированными молекулами воды и кислорода, что приводит к формированию химически активных форм кислорода (Reactive Oxygen Species, ROS) [4–9]: гидроксил- и пероксид-радикалов, синглетного кислорода;
- являясь сильными окислителями, ROS быстро разлагают органические соединения и разрушают болезнетворные микроорганизмы.
Адсорбция красителя на поверхности фотокатализатора является одной из важнейших стадий фотокаталитического процесса, в значительной мере определяющей его кинетику. Также по разложению красителя можно судить об эффективности фотокатализатора. Поэтому изучение кинетики адсорбции органических веществ на поверхности материалов являлось предметом многих исследований, посвященных фотокаталитическим процессам [3, 8–12].
Сильное влияние на фотокаталитическую активность оксидных материалов оказывает их морфология [3, 12–14]. Процессы формирования химически активных форм кислорода и их взаимодействие с адсорбированными органическими соединениями протекают на поверхности фотокатализаторов, и увеличение их удельной поверхности существенно усиливает фотокаталитические свойства материалов. Поэтому перспективным является использование наноразмерных оксидных фотокатализаторов, обладающих высокой удельной поверхностью. Пористые наноразмерные оксидные полупроводники обладают высокой адсорбционной емкостью, хорошими фотокаталическими и бактерицидными свойствами и очень эффективны для очистки водных сред от различных органических загрязнений [3, 9, 10, 14–17].
Известно, что оксид цинка и неорганические композиты на его основе являются одними из наиболее эффективных фотокатализаторов и обладают бактерицидными свойствами [8, 9, 14, 15, 18–24]. Однако ZnO является широкозонным полупроводником (ширина запрещенной зоны ~3.36–3.37 эВ [25]), что ограничивает его фотокаталитическую активность при облучении видимым светом. Кроме того, в однокомпонентных оксидных фотокатализаторах довольно интенсивно протекают процессы рекомбинации электронно-дырочных пар, что существенно снижает эффективность фотокатализа [26].
Использование фотокаталитических гетероструктур, состоящих из наночастиц различных полупроводниковых оксидов (ZnO–SnO2 [22, 26], ZnO–SnO2–Fe2O3 [8], ZnO–ZnMn2O4 [19]), позволяет уменьшить негативное влияние рекомбинационных процессов.
Оксидные соединения марганца также обладают фотокаталитическими свойствами [7, 19, 27, 28]. Модификация частиц ZnO ионами Mn2+ при золь-гель синтезе позволила авторам [23] существенно повысить их фотокаталитическую активность. Магнитные фотокатализаторы на основе легированного марганцем диоксида титана были описаны в [28].
Для формирования наноразмерных оксидных фотокатализаторов часто используют жидкостные методы синтеза: осаждение из растворов [27], золь-гель синтез [2, 15, 23], полимерно-солевой метод [8, 9, 14, 22] и др. [2, 16, 26].
Полимерно-солевой метод, основанный на использовании растворов солей металлов и растворимого органического полимера, является простым, экономичным и обеспечивает получение однородных дисперсных наноматериалов, обладающих высокими фотокаталитическими свойствами. Исследование возможности применения этого метода для формирования пористых фотокаталитических наноматериалов на основе оксида цинка, модифицированного оксидными соединениями марганца, и изучение особенностей их структуры и свойств являются актуальной задачей.
Цель настоящей работы – полимерно-солевой синтез пористых нанокомпозитов на основе оксидных соединений цинка и марганца и исследование их структуры, морфологии, спектральных и фотокаталитических свойств.
ЭКСПЕРИМЕНТАЛЬНАЯ ЧАСТЬ
В качестве исходных компонентов для полимерно-солевого синтеза материалов использовали водные растворы Zn(NO3)2, Mn(NO3)2 и растворимого органического полимера поливинилпирролидона (ПВП, Mw = 25000–35000). Этот полимер образует в растворах металлополимерные комплексы с ионами металлов [29, 30], что способствует последующему получению однородных материалов [31]. Кроме того, в процессе термообработки ПВП вступает в окислительно-восстановительную реакцию с нитратами металлов, которая сопровождается образованием газообразных продуктов, что способствует формированию пористых оксидных материалов [9, 14].
Растворы смешивали при комнатной температуре в определенных объемах с учетом заданного мольного соотношения Zn : Mn (табл. 1) и затем подвергали сушке при 70°С. Полученные полимерно-солевые композиты термообрабатывали при 550°С в течение 2 ч. Такой температурно-временной режим термообработки обеспечивает полное разложение солей металлов и поливинилпирролидона [32].
Таблица 1. Соотношение Zn : Mn в синтезированных образцах
Образец | Zn : Mn, мол. % |
ZnMn9 | 91 : 9 |
ZnMn17 | 83 : 17 |
ZnMn50 | 50 : 50 |
Кристаллическая структура полученных порошков была изучена методом рентгенофазового анализа с использованием рентгеновского дифрактометра Rigaku SmartLAB 3 (CuKα, 40 кВ, 44 мА, Япония). На основании данных рентгенофазового анализа проводили идентификацию фаз с использованием кристаллографической базы данных COD и расчет среднего размера частиц и величин деформаций кристаллических решеток методами Вильямсона–Холла и Халдер–Вагнера с применением программного обеспечения Rigaku SmartLAB Studio II.
Морфологию и элементный состав полученных композитов исследовали методами сканирующей электронной микроскопии и рентгеноспектрального микроанализа с использованием растрового электронного микроскопа TescanVega 3 SBH (Чехия), оснащенного приставкой рентгеноспектрального микроанализа Oxford INCA x-act (Великобритания).
Спектры диффузного отражения материалов были измерены с помощью спектрофотометра Perkin Elmer 900 UV/VIS/NIR (США).
Адсорбционные свойства полученных образцов исследовали в их суспензиях, полученных добавлением 0.0064 г порошка к 3 мл раствора красителя Chicago Sky Blue (Sigma Aldrich) с концентрацией 0.01 г/л и помещенных в кварцевую кювету. Эксперимент проводили без доступа света. Краситель Chicago Sky Blue (CSB) использовали ранее для оценки фотокаталитических свойств различных материалов [9, 11, 32]. В водных растворах красителя наблюдается интенсивная полоса поглощения с максимумом при λmax = 612 нм. В работе [11] была приведена экспериментально определенная зависимость оптической плотности водных растворов CSB на этой длине волны от концентрации красителя. В настоящей работе эта зависимость была использована для определения концентрации красителя в исследуемых растворах. Изменение концентрации красителя в ходе адсорбции на синтезированных порошках фиксировали с помощью спектрофотометра Perkin Elmer 900 UV/VIS/NIR.
Для оценки фотокаталитической активности полученных композитов аналогичные суспензии порошков подвергали воздействию света. В качестве источника излучения использовали узкополосный светодиод HРR40E (Тайвань) с максимумом длины волны при 405 нм. Расстояние между источником света и облучаемой кюветой составляло 7 см.
РЕЗУЛЬТАТЫ И ОБСУЖДЕНИЕ
Рентгенофазовый анализ
Данные рентгенофазового анализа показали существенное влияние добавок оксидных соединений марганца на кристаллическую структуру полученных порошков. На рис. 1 приведены рентгенограммы образцов композитов с различным содержанием марганца. На всех дифрактограммах хорошо видны пики гексагональных кристаллов оксида цинка (COD #9004181).
Рис. 1. Рентгенограммы порошков Zn (а) [9], ZnMn9 (б), ZnMn17 (в) и ZnMn50 (г).
В Mn-содержащих образцах наблюдаются пики тетрагональных кристаллов Mn3O4 (COD #1514121). Интенсивность пиков этих кристаллов возрастает с увеличением содержания марганца в материалах. Присутствие Mn3O4 в материалах указывает на частичное окисление ионов Mn2+ в процессе синтеза порошков. Аналогичное явление наблюдалось ранее в [33] при золь-гель синтезе Mn-содержащих композитов на основе оксида цинка.
Присутствие тетрагональных кристаллов ZnMn2O4 (COD #9012842) [34] в образцах ZnMn17 и ZnMn50 подтверждается наличием небольших пиков при 18.3°, 29.5°, 33.2° и 36.4°, соответствующих плоскостям (101), (112), (103) и (211). В образце ZnMn50 наблюдаются также слабые пики при 30.2° и 43.5°, соответствующие плоскостям (220) и (400) в кристаллах ZnMn2O4 [34].
В табл. 2 приведены результаты расчетов среднего размера частиц и величин деформаций кристаллических решеток методами Вильямсона–Холла и Халдер–Вагнера. Из этих данных видно, что увеличение содержания марганца в материалах слабо влияет на размер и величину деформаций кристаллов ZnO и Mn3O4 и приводит к росту формирующихся кристаллов ZnMn2O4.
Таблица 2. Расчетные значения среднего размера частиц и величин деформаций кристаллических решеток методами Вильямсона–Холла и Халдер–Вагнера в полученных порошках
Образец | Кристаллические фазы | Методы расчета | |||
Метод Вильямсона–Холла | Метод Халдер–Вагнера | ||||
размер кристаллов, нм | деформация решетки, ٪ | размер кристаллов, нм | деформация решетки, ٪ | ||
Zn [9] | ZnO | 35.5 | 0.066 | – | – |
ZnMn9 | ZnO | 36.0 | 0.147 | 37.4 | 0.230 |
Mn3O4 | 20.0 | 0.025 | 13.1 | 0 | |
ZnMn17 | ZnO | 36.9 | 0.168 | 29.3 | 0.191 |
Mn3O4 | 27.7 | 0.078 | 24.1 | 0.100 | |
ZnMn2O4 | 18.5 | 0.069 | 15.2 | 0 | |
ZnMn50 | ZnO | 36.3 | 0.189 | 33.9 | 0.184 |
Mn3O4 | 23.5 | 0.025 | 22.8 | 0 | |
ZnMn2O4 | 28.9 | 0.143 | 21.8 | 0 | |
В табл. 3 приведены данные о параметрах элементарных ячеек кристаллов ZnO в синтезированных оксидных композитах.
Таблица 3. Параметры элементарных ячеек кристаллов ZnO в синтезированных оксидных композитах
Образец | Параметры элементарной ячейки кристаллов ZnO | |||
a, Å | c, Å | c/a | V, Å3 | |
ZnO (COD #9004181) | 3.2533 | 5.2073 | 1.6006 | 47.730 |
Zn [9] | 3.2504 | 5.2066 | 1.6018 | 47.639 |
ZnMn9 | 3.2572 | 5.2148 | 1.6010 | 47.912 |
ZnMn17 | 3.2542 | 5.2143 | 1.6023 | 47.821 |
ZnMn50 | 3.2569 | 5.2335 | 1.6069 | 48.077 |
При вхождении ионов Mn2+ в структуру ZnO в [35] на рентгенограммах наблюдался сдвиг пиков этих кристаллов в сторону меньших значений 2θ. Это связано с расширением элементарной ячейки ZnO при замещении ионов Zn2+ (ионный радиус 0.74 Å) на бо`льшие по размеру ионы Mn2+ (ионный радиус 0.83 Å). При внедрении в ZnO меньших по размеру ионов Mn3+ (ионный радиус 0.65 Å) в [35] наблюдался сдвиг пиков ZnO в область бóльших значений 2θ, что отражает уменьшение размеров элементарной ячейки кристаллов.
Результаты, приведенные в [35], и полученные нами данные о параметрах элементарной ячейки кристаллов ZnO (табл. 3) позволяют предположить внедрение ионов Mn2+ в кристаллическую решетку этих кристаллов.
Электронно-микроскопический анализ и химический состав полученных композитов
По данным рентгеноспектрального микроанализа, химический состав всех синтезированных композитов близок к стехиометрическому (табл. 4).
Таблица 4. Химический состав полученных образцов ZnMn9, ZnMn17 и ZnMn50
Образец | Элементный состав, ат. % | |
Zn | Mn | |
ZnMn9 | 91.6 ± 0.1 | 8.4 ± 0.1 |
ZnMn17 | 84.3 ± 0.1 | 15.7 ± 0.1 |
ZnMn50 | 50.3 ± 0.1 | 49.7 ± 0.1 |
На рис. 2 представлены электронно-микроскопические снимки синтезированных порошков ZnMn9, ZnMn17 и ZnMn50. Видно, что полученные материалы являются пористыми, при этом размер пор во всех образцах варьируется от 0.2 до 5 мкм. Такая структура нанокомпозитов обеспечивает эффективное взаимодействие внешней среды (воздуха или водных сред) с поверхностью полупроводникового материала, что является важным для фотокаталитических процессов.
Рис. 2. Электронно-микроскопические снимки синтезированных порошков ZnMn9 (а, г), ZnMn17 (б, д) и ZnMn50 (в, е).
Оптические спектры диффузного отражения и ширина запрещенной зоны
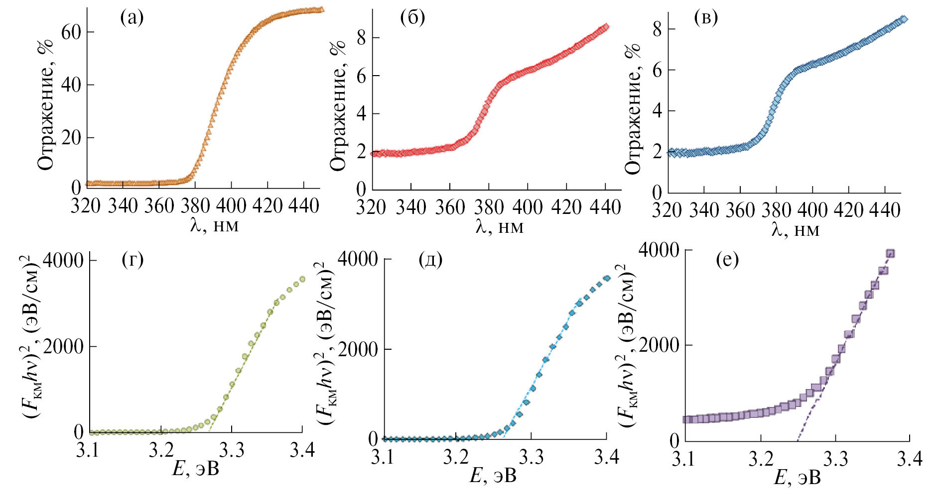
На рис. 3а–3в приведены спектры диффузного отражения от поверхности порошков Zn [9], ZnMn9 и ZnMn17. Видно, что для всех порошков резкое уменьшение отражения наблюдается при λ < 380 нм, что обусловлено поглощением света кристаллами оксида цинка в УФ-области спектра. Сравнение спектров отражения материалов в области 400–440 нм показывает, что композиты ZnMn9 и ZnMn17 характеризуются значительно меньшим отражением, чем порошок Zn. Это объясняется увеличением поглощения света в композитах, содержащих оксидные соединения цинка и марганца, по сравнению с чистым оксидом цинка, что наблюдалось ранее в работе [34].
Рис. 3. Спектры диффузного отражения (а, б, в) и рассчитанные на основании их зависимости (FKM hí)2 = f(hí) для образцов Zn (а, г), ZnMn9 (б, д) и ZnMn17 (в, е).
Для анализа спектров была использована функция Кубелки–Мунка, FKM:
(1)
где R – величина диффузного отражения материала, измеренная относительно абсолютно белого тела.
Значения ширины запрещенной зоны в синтезированных материалах были рассчитаны на основании полученных значений FKM с использованием уравнения Таука [36]:
(FKM · hí)2 = A ∙ (hí – Eg), (2)
где hν – энергия фотонов, Eg – величина ширины запрещенной зоны, A – постоянная. Построение графиков (FKM ∙ hí)2 = f(hí) использовалось для определения значений Eg.
Зависимости (FKM ∙ hí)2 = f(hí) для образцов Zn, ZnMn9 и ZnMn17 приведены на рис. 3г–3е. Для всех материалов значения Eg составляют 3.25–3.26 эВ, что близко к значению ширины запрещенной зоны ZnO (3.27 эВ) [25].
Адсорбция и фоторазложение красителя на поверхности нанокомпозитов
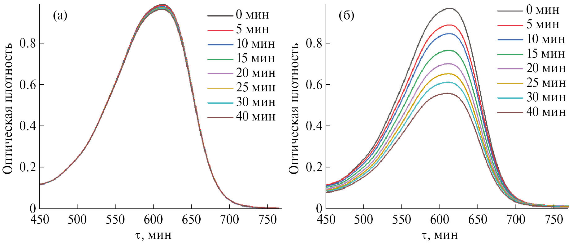
Рис. 4 иллюстрирует изменения спектров поглощения красителя в растворах в процессе их облучения синим светом (λ = 405 нм). Облучение слабо изменяет спектр поглощения раствора, не содержащего фотокатализатора (рис. 4а). Добавка композита ZnMn9 в раствор существенно ускоряет разложение красителя при облучении (рис. 4б).
Рис. 4. Влияние облучения синим светом на спектры поглощения растворов красителя Chicago Sky Blue без добавок фотокатализатора (а), с добавкой композита ZnMn9 (б).
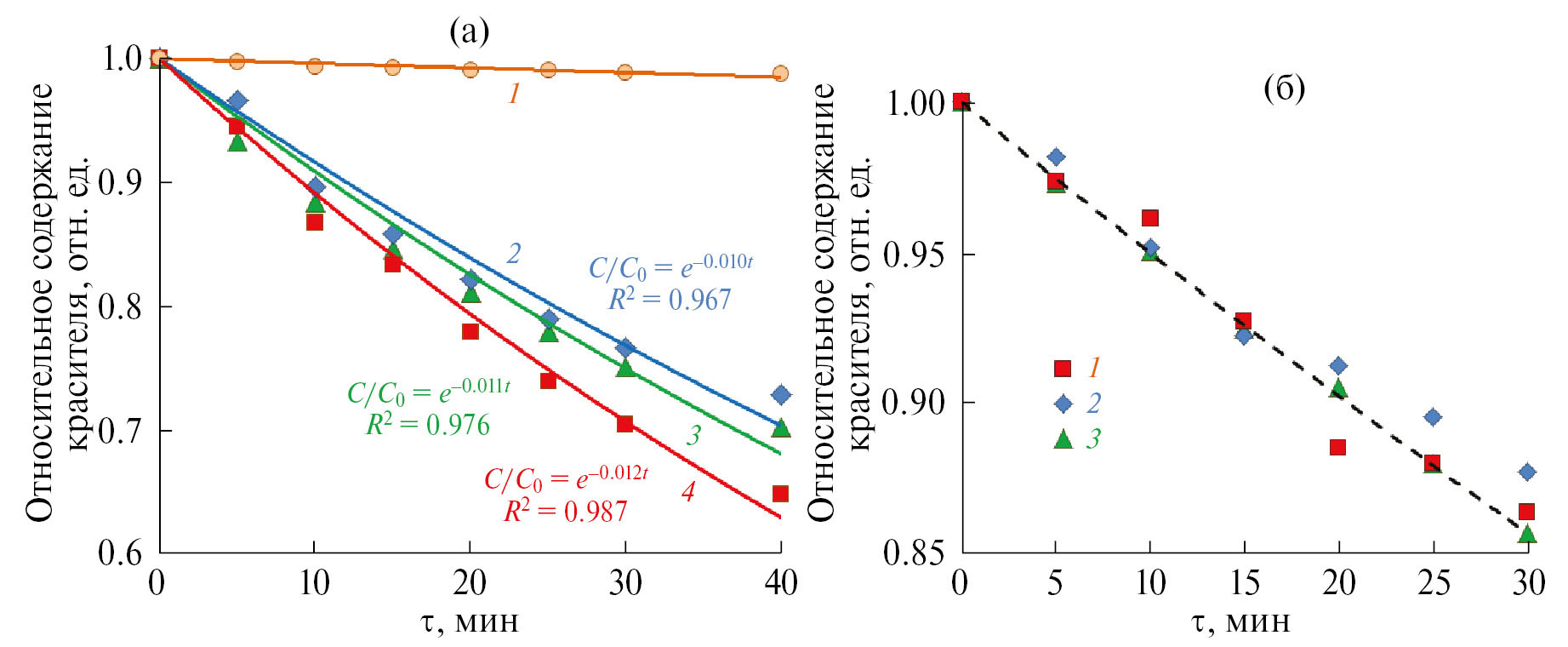
Кинетические зависимости фоторазложения красителя в растворе без добавок фотокатализаторов (кривая 1), а также в растворах, содержащих синтезированные нами композиты (кривые 2–4), показаны на рис. 5а. Из рисунка видно, что после 40 мин облучения концентрация красителя в растворах, содержащих добавки синтезированных композитов, снижается на 30–35%.
Рис. 5. а) Кинетические зависимости фоторазложения красителя в растворе без добавок фотокатализаторов (1), а также в растворах, содержащих композиты ZnMn9 (2), ZnMn17 (3) и ZnMn50 (4); б) Кинетические зависимости адсорбции красителя на поверхности композитов ZnMn9 (1); ZnMn17 (2); ZnMn50 (3).
Кинетика фотокаталитического разложения красителей в растворах часто описывается моделью Ленгмюра–Хиншелвуда [8, 9, 37] и при низкой концентрации красителей (C << 10–3 моль/л) аппроксимируется уравнением псевдопервого порядка:
–ln(C/C0) = kô, (3)
где С и С0 – текущая и начальная концентрация красителя, τ – время (мин), k – константа скорости фоторазложения. Из данных, приведенных на рис. 5а, видно, что уравнение (4) удовлетворительно (коэффициент детерминации R2 > 0.9) описывает кинетику разложения красителя при использовании всех синтезированных нами композитов.
Из данных, представленных на рис. 5а, видно, что скорость фотокаталитического разложения красителя несколько уменьшается при увеличении содержания в композите соединений марганца. Так, константа скорости фоторазложения k составляет 0.012 мин–1 для композита ZnMn9 и уменьшается до 0.010 мин–1 для композита ZnMn50. Это небольшое уменьшение может быть связано как с меньшей скоростью адсорбции красителя на поверхности композитов с высоким содержанием соединений марганца, так и с меньшей интенсивностью фотогенерации ими химически активных форм кислорода.
На рис. 5б приведены кинетические зависимости адсорбции красителя в течение 40 мин на поверхности синтезированных нанокомпозитов. Видно, что экспериментальные данные по кинетике адсорбции, полученные для различных композитов, близки и могут быть представлены одной кинетической кривой. Это может объясняться тем, что композиты имеют близкий химический состав и морфологию (рис. 2). Поэтому некоторое различие в кинетике фотокаталитического разложения красителя (рис. 5а) следует связывать с различием в процессах фотогенерации активных форм кислорода.
Сопоставление кинетических данных по фотокаталитическому разложению красителя (рис. 5а) и его адсорбции на поверхности композитов (рис. 5б) показывает, что процессы фотокатализа протекают быстрее, чем адсорбция. Это явление наблюдалось ранее в работах [8, 9, 11, 12, 38] и связано с тем, что молекулы красителя подвергаются окислению не только на поверхности фотокатализатора, но и в растворе. Полученные экспериментальные данные по фотокаталитическому разложению красителя CSB свидетельствуют о перспективности синтезированных композитов в системах очистки воды от органических загрязнений.
ЗАКЛЮЧЕНИЕ
Полимерно-солевым методом синтезированы пористые композиты, состоящие из нанокристаллов оксида цинка и оксидных соединений марганца. Исследована их структура, морфология, спектральные и фотокаталитические свойства. Показано, что полученные пористые оксидные композиты состоят из нанокристаллов ZnO, Mn3O4 и ZnMn2O4, имеющих размер 20–40 нм. Ширина запрещенной зоны этих материалов близка к величине запрещенной зоны ZnO и составляет ~3.26 эВ. На примере фоторазложения красителя Chicago Blue Sky продемонстрировано, что полученные нанокомпозиты обладают фотокаталитическими свойствами. Это свидетельствует о том, что синтезированные нанопорошки системы ZnO–ZnMn2O4 перспективны для применения в медицине в качестве антибактериальных материалов, в фотокаталитических системах очистки воды и воздуха от органических загрязнений, а также в процессах разложения воды на кислород и водород для водородной энергетики.
ФИНАНСИРОВАНИЕ РАБОТЫ
Настоящая работа поддержана грантом РНФ № 20-19-00559.
КОНФЛИКТ ИНТЕРЕСОВ
Авторы заявляют об отсутствии конфликта интересов.
Об авторах
М. А. Гаврилова
Санкт-Петербургский государственный технологический институт (технический университет)
Автор, ответственный за переписку.
Email: amonrud@yandex.ru
Россия, Санкт-Петербург
Д. А. Гаврилова
Санкт-Петербургский государственный технологический институт (технический университет)
Email: amonrud@yandex.ru
Россия, Санкт-Петербург
С. К. Евстропьев
Санкт-Петербургский государственный технологический институт (технический университет); Университет ИТМО; Государственный оптический институт им. С.И. Вавилова
Email: amonrud@yandex.ru
Россия, Санкт-Петербург; Санкт-Петербург; Санкт-Петербург
Н. В. Никоноров
Университет ИТМО
Email: amonrud@yandex.ru
Россия, Санкт-Петербург
Список литературы
- Byrne C., Subramanian G., Pillai S.C. // J. Environ. Chem. Eng. 2018. V. 6. P. 3531. https://dx.doi.org/10.1016/j.jece.2017.07.080
- Ge J., Zhang Y., Heo Y.-J. et al. // Catalysts. 2019. V. 9. P. 122. https://doi.org/10.3390/catal9020122
- Haleem A., Shafiq A., Chen S.-Q. et al. // Molecules. 2023. V. 28. P. 1081. https://doi.org/10.3390/molecules28031081
- Li Y., Zhang W., Niu J. et al. // ACS Nano. 2012. V. 6. P. 5164. https://doi.org/10.1021/nn300934k
- Turchi C.S., Ollis D.F. // J. Catal. 1990. V. 122. P. 178.
- Hayyan M., Hashim M.A., Al Nashef I.M. // Chem. Rev. 2016. V. 116. P. 3029.
- Belousov A.S., Suleimanov E.V., Parkhacheva A.A. et al. // Solid State Sci. 2022. V. 132. P. 106997. https://doi.org/10.1016/j.solidstatesciences.2022.106997
- Khomutinnikova L., Evstropiev S., Meshkovskii I. et al. // Ceramics. 2023. V. 6. P. 886. https://doi.org/10.3390/ceramics6020051
- Gavrilova M., Gavrilova D., Evstropiev S. et al. // Ceramics. 2023. V. 6. P. 1667. https://doi.org/10.3390/ceramics6030103
- Lin Y.-H., Weng C.-H., Tseng J.-H. et al. // Int. J. Photoenergy. 2016. V. 2016. P. 3058429. https://doi.org/10.1155/2016/3058429
- Саратовский А.С., Булыга Д.В., Евстропьев С.К. и др. // Физика и химия стекла. 2022. Т. 48. № 1. С. 16.
- Wang T., Tian B., Han B. et al. // Energy & Environ. Mater. 2022. V. 5. P. 711. https://doi.org/10.1002/eem2.12229
- Sun Y., Chen L., Bao Y. et al. // Catalysts. 2016. V. 6. P. 188. https://doi.org/10.3390/catal6120188
- Shelemanov A.A., Evstropiev S.K., Karavaeva A.V. et al. // Mater. Chem. Phys. 2022. V. 276. P. 125204. https://doi.org/10.1016/j.matchemphys.2021.125204
- Pall B., Sharon M. // Mater. Chem. Phys. 2002. V. 76. P. 82. https://doi.org/10.1016/S0254-0584(01)00514-4
- Ferreira S.H., Morais M., Nunes D. et al. // Materials. 2021. V. 14. № 9. P. 2385. https://doi.org/10.3890/ma14092385
- Liu D., Lv Y., Zhang M. et al. // J. Mater. Chem. A. 2014. V. 2. P. 15377.
- Deng H., Fei X., Yang Y. et al. // Chem. Eng. J. 2021. V. 409. P. 127377. https://doi.org/10.1016/j.cej.2020.127377
- Alhaddad M., Mohamed R.M. // Appl. Nanosci. 2020. V. 10. P. 2269. https://doi.org/10.1007/s13204-020-01359-1
- Титов В.В., Лисаченко А.А., Акопян И.Х. и др. // Физика тв. тела. 2019. Т. 61. № 11. С. 2158.
- Das A., Malakar P., Nair R.G. // Mater. Lett. 2018. V. 219. P. 76.
- Evstropiev S.K., Lesnykh L.V., Karavaeva A.V. et al. // Chem. Eng. Process. 2019. V. 142. P. 107587.
- Ullah R., Dutta J. // J. Hazard. Mater. 2008. V. 156. P. 194. https://doi.org/10.1016/j.jhazmat.2007.12.033
- Бакина О.В., Чжоу В.Р., Иванова Л.Ю. и др. // Журн. неорган. химии. 2023. Т. 68. № 3. С. 401. https://doi.org/10.31857/S0044457X22601249
- Morkoş H., Ozgür Ü. Zinc oxide: Fundamentals, Materials and Device Technology. Weinheim: Wiley-VCH, 2009. ISBN: 978-3-527-40813-9
- Zhu L., Hong M., Ho G.W. // Sci. Rep. 2015. V. 5. P. 11609. https://doi.org/10.1038/srep11609
- Qiu M., Chen Z., Yang Z. et al. // Catal. Sci. Technol. 2018. V. 8. № 10. P. 2557. https://doi.org/10.1039/C8CY00436F
- Железнов В.В., Ткаченко И.А., Зиатдинов А.М. и др. // Журн. неорган. химии. 2023. Т. 68. № 1. С. 105. https://doi.org/10.31857/S0044457X22100518
- Волкова Н.А., Евстропьев С.К., Никоноров Н.В. и др. // Опт. и спектр. 2019. Т. 127. Вып. 4. С. 687.
- Naseri M., Dehzangi A., Kamari H.M. et al. // Metals. 2016. V. 6. № 8. P. 181.
- Koczkur K.M., Mourdikoudis S., Polavarapu L. // Dalton Trans. 2015. V. 44. № 41. P. 17883.
- Evstropiev S.K., Karavaeva A.V., Dukelskii K.V. // Ceram. Int. 2018. V. 44. P. 9091. https://doi.org/10.1016/j.ceramint.2018.02.116
- Deraz N.M. // Acta Phys. Pol. 2019. V. 136. № 1. P. 1460.
- Sambandam B., Michael R.J.V., Manoharan P.T. // Nanoscale. 2015. V. 7. P. 13935. https://doi.org/10.1039/CSNR02666K
- Sebayang K., Aryanto D., Simbolon S. // IOP Conf. Series: Mater. Sci. Eng. 2018. V. 309. P. 012119. https://doi.org/10.1088/1757-899X/309/1/012119
- Tauc J., Grigorovici R., Vancu A. // Phys. Status Solidi. 1966. V. 15. P. 627.
- Агафонов А.В., Редозубов А.А., Козик В.В. и др. // Журн. неорган. химии. 2015. Т. 60. № 8. С. 1001.
- El Mouchtari E.M., Bahsis L., El Mersly L. et al. // Int. J. Environ. Res. 2021. V. 15. P. 135. https://doi.org/10.1007/s41742-020-00300-2
Дополнительные файлы







