Synthesis, Ion-Exchange and Photocatalytic Properties of Layered Perovskite-Like CsBa2Nb3O10 Niobate: Comparative Analysis with Related AA′2Nb3O10 Dion-Jacobson Phases (A = K, Rb, Cs; A′ = Ca, Sr, Pb)
- Authors: Kurnosenko S.A.1, Silyukov O.I.1, Rodionov I.A.1, Biryukov Y.P.2, Burov A.A.1, Zvereva I.A.1
-
Affiliations:
- Saint Petersburg State University
- Institute of Silicate Chemistry of the Russian Academy of Sciences
- Issue: Vol 69, No 3 (2024)
- Pages: 373-384
- Section: STRUCTURE, MAGNETIC AND OPTICAL PROPERTIES OF MATERIALS
- URL: https://journals.rcsi.science/0044-457X/article/view/262890
- DOI: https://doi.org/10.31857/S0044457X24030112
- EDN: https://elibrary.ru/YDTXFT
- ID: 262890
Cite item
Full Text
Abstract
Layered perovskite-like niobate CsBa2Nb3O10 has been synthesized in a pure single-phase state for the first time using both nitrates and carbonates of cesium and barium. Unlike its Ca-, Sr- and Pb-containing analogues, the niobate obtained was shown not to undergo substitution of interlayer alkali cations with protons (protonation) upon acid treatments under various conditions. A potential reason for its chemical inactivity may consist in partial disordering of cesium and barium cations between the interlayer space and perovskite slab, hindering the interlayer ion exchange. Optical bandgap energy of CsBa2Nb3O10, being equal to 2.8 eV, potentially allows using visible light (λ < 443 nm) for driving photocatalytic reactions. However, the photocatalytic potential of this niobate towards hydrogen production remains untapped since the activity of the interlayer space in protonation and hydration reactions, as shown earlier, is a fundamentally important factor determining the photocatalytic performance of ion-exchangeable layered perovskite-like oxides.
Keywords
Full Text
ВВЕДЕНИЕ
Фазы Диона–Якобсона представляют класс ионообменных слоистых перовскитоподобных оксидов с общей формулой A[A′n−1BnO3n+1], где A – межслоевой щелочной катион, A′ – щелочноземельный или переходный катион, B = Nb или Ta, n – толщина перовскитного блока, выраженная числом октаэдров BO6 [1]. Типичными представителями фаз Диона–Якобсона являются трехслойные (n = 3) ниобаты AA′2Nb3O10 (A = K, Rb, Cs; A′ = Ca, Sr, Ba, Pb), структура которых образована двумерными перовскитными блоками, состоящими из октаэдров NbO6 и катионов A′ в 12-координированных позициях между октаэдрами, разделенными межслоевым пространством, заселенным катионами A [2–10]. Наиболее изученным трехслойным ниобатом Диона–Якобсона является KCa2Nb3O10 [11], синтез которого привел к быстрому росту числа публикаций по данному классу слоистых перовскитов.
Фазы Диона–Якобсона проявляют высокую химическую активность межслоевого пространства в реакциях ионного обмена, интеркаляции и графтинга, что имеет большое значение для целенаправленного создания материалов с заданными свойствами [12]. Так, замещение межслоевых щелочных катионов на протоны (протонирование) позволяет получать протонированные формы оксидов HA′2Nb3O10 [3]. Последние, будучи твердыми кислотами, служат прекурсорами для создания гибридных органо-неорганических материалов [13–16], которые уже хорошо зарекомендовали себя как эффективные фотокатализаторы получения водорода [17, 18]. Более того, протонированные формы могут быть использованы для жидкофазного расщепления на отдельные перовскитные нанослои [19–28], представляющие большой интерес для катализа, фотокатализа и наноэлектроники.
Анализ литературы показал, что Ca- и Sr-содержащие трехслойные ниобаты Диона–Якобсона относительно хорошо изучены, в то время как их Ba- и Pb-содержащие аналоги исследованы в значительно меньшей степени. Так, авторами [29] уточнена структура CsBa2Nb3O10 по методу Ритвельда и измерена электропроводность данного соединения, которая оказалась ниже, чем у Ca- и Sr-содержащих аналогов, и включала как электронную, так и ионную составляющие. Авторами [30] выполнено теоретическое исследование электронных и оптических свойств CsBa2Nb3O10 и сделан вывод, что указанный ниобат может функционировать как фотокатализатор для разложения чистой воды на простые вещества и дезактивации органических загрязнителей. В работе [31] CsBa2Nb3O10 был успешно подвергнут азотированию и протестирован в качестве фотокатализатора разложения метиленового голубого, активного под видимым светом. Однако авторы обоих вышеупомянутых экспериментальных исследований проводили синтез CsBa2Nb3O10 в одинаковых условиях, приводящих к образованию целевого продукта с заметными примесными фазами. Протонирование CsBa2Nb3O10 и его последующее расщепление на нанослои были упомянуты только в диссертации [32]. Тем не менее представленные в ней результаты вызывают обоснованные сомнения в их достоверности, поскольку исследуемые образцы имели низкую степень фазовой чистоты, а факт протонирования не подтверждается приведенными данными.
В связи с этим настоящая работа посвящена оптимизации условий синтеза CsBa2Nb3O10 для повышения фазовой чистоты продукта, изучению его химической активности в реакциях межслоевого ионного обмена и гидратации, а также фотокаталитических свойств применительно к процессам получения водорода. Все свойства CsBa2Nb3O10 обсуждаются в сравнении со свойствами родственных Ca-, Sr- и Pb-содержащих ниобатов Диона–Якобсона.
ЭКСПЕРИМЕНТАЛЬНАЯ ЧАСТЬ
Синтез ниобата цезия и бария
Высокотемпературный керамический синтез CsBa2Nb3O10 (CBN3) проводили в атмосфере воздуха по “нитратной” и “карбонатной” методикам. Полученные продукты в дальнейшем обозначены CBN3(н) и CBN3(к) соответственно. В первом случае в качестве реагентов применяли просушенные Nb2O5 (≥99.9%, Вектон), Ba(NO3)2 (≥99.5%, Вектон) и CsNO3 (≥99.99%, Acros Organics), во втором – Nb2O5 (≥99.9%, Вектон), BaCO3 (≥99.99%, Реахим) и Cs2CO3 (≥99.0%, Sigma-Aldrich):
6Nb2O5 + 8Ba(NO3)2 + 4CsNO3 = = 4CsBa2Nb3O10 + 20NO2↑ + 5O2↑;
3Nb2O5 + 4BaCO3 + Cs2CO3 = = 2CsBa2Nb3O10 + 5CO2↑.
Ниобий- и барийсодержащие прекурсоры брали в стехиометрических количествах, цезийсодержащие – с 30%-ным избытком для компенсации потерь при прокаливании. Реагенты смешивали и измельчали в агатовой ступке под слоем н-гептана из расчета 0.5 ч на 1 г смеси. Полученную шихту просушивали и прессовали в таблетки массой ~1 г под давлением 50 бар с использованием гидравлического пресса Omec PI 88.00. Затем таблетки помещали в корундовые тигли с крышками, прокаливали в муфельной печи Nabertherm L-011K2RN и после охлаждения измельчали в ступке. Исходная температурная программа для синтеза CBN3(н) была взята из литературы [29, 31, 32] и включала две стадии прокаливания (6 ч при 600°C и 3 ч при 850°C) с промежуточным измельчением и повторным прессованием таблеток. В последующих экспериментах осуществляли варьирование условий синтеза (температура 600–1300°C, длительность 3 ч–7 сут, избыток цезия 5–50%, одно- и двухстадийное прокаливание) для повышения фазовой чистоты продукта. Возможность синтеза CBN3(к) изучали при температурах 1000 и 1100°C в режиме одно- (24 ч) и двухстадийного (48 ч) прокаливания.
Исследование протонирования и гидратации
Для изучения возможности межслоевого протонирования навески CBN3(н) и CBN3(к) обрабатывали 100-кратным мольным избытком водных растворов кислот при перемешивании. Ожидаемая реакция протонирования имеет вид:
CsBa2Nb3O10 + xH+ + yH2O = = HxCs1−xBa2Nb3O10 · yH2O + xCs+.
В качестве варьируемых условий протонирования выступали: вид кислоты (азотная, соляная), ее концентрация (2–12 М), температура (25, 60, 150°C) и длительность обработки (1–7 сут). В отдельных экспериментах для смещения равновесия в сторону целевого продукта раствор кислоты ежедневно обновляли. Конечные образцы фильтровали, промывали водой для удаления остатков кислот, просушивали при атмосферном давлении и далее обозначали CBN3/HNO3 или CBN3/HCl.
Для изучения возможности межслоевой гидратации навески CBN3(к) диспергировали в 40 мл дистиллированной воды и выдерживали при перемешивании в течение 7 сут или загружали в лабораторные реакторы высокого давления (автоклавы) объемом 50 мл и выдерживали при температуре 150 или 200°C в течение 7 сут. Ожидаемая реакция гидратации имеет вид:
CsBa2Nb3O10 + yH2O = CsBa2Nb3O10 ∙ yH2O.
После охлаждения конечные образцы фильтровали, просушивали при атмосферном давлении и далее обозначали CBN3/H2O, 150°C и CBN3/H2O, 200°C соответственно.
Исследование фотокаталитической активности
Фотокаталитическую активность CBN3(к) и CBN3/HCl изучали в реакции выделения водорода из 1 мол. % водного раствора метанола под ультрафиолетовым (ртутная лампа ДРТ-125, 125 Вт, λ > 220 нм) и чисто видимым излучением (светодиодный источник LED, 100 Вт, λ = 425 нм). Образцы тестировали как в исходном состоянии, так и после модификации поверхности 1% Pt в качестве сокатализатора. Измерения проводили на лабораторной фотокаталитической установке, применявшейся в наших работах [17, 18, 33–37], и включали определение скорости выделения водорода ω и кажущейся квантовой эффективности φ по ранее изложенным методикам. В каждом случае 25 мг образца диспергировали в 50 мл водного метанола, полученную суспензию загружали в реакционную ячейку и продували аргоном для удаления остаточного воздуха. В случае тестирования активности с Pt как сокатализатором в систему предварительно вводили 1 мл 1.28 мМ водного раствора H2PtCl6, после чего суспензию облучали лампой ДРТ-125 для фотовосстановления наночастиц Pt на поверхности образца. После продувки аргоном перемешиваемую реакционную суспензию выдерживали под облучением 2 ч, в течение которых содержание водорода в замкнутом газовом контуре анализировали хроматографически через заданные временные интервалы. Затем источник излучения отключали, чтобы организовать темновую стадию и убедиться, что фотокаталитическая реакция останавливается. После эксперимента по площади хроматографических пиков рассчитывали количества водорода, которые, в свою очередь, использовали для построения кинетических кривых.
Инструментальные методы
Порошковые рентгеновские дифрактограммы образцов записывали на настольном дифрактометре Rigaku Miniflex II (излучение CuKα, диапазон углов 2θ = 3°–60°, скорость сканирования 10 град/мин). Фазовый состав определяли с использованием программного обеспечения Rigaku PDXL 2. Индексирование дифрактограмм и расчет параметров решетки в тетрагональной сингонии проводили с учетом всех наблюдаемых дифракционных максимумов целевой фазы с использованием программного пакета DiffracPlus Topas. Элементный состав образцов определяли методом энергодисперсионного рентгеновского микроанализа на электронном микроскопе Zeiss Merlin, оснащенном микроанализатором Oxford Instruments INCAx-act. Рамановские спектры регистрировали на спектрометре Horiba LabRam HR800 (диапазон 50–4000 см−1, гелий-неоновый газовый лазер 632.8 нм, мощность 0.6 мВт, время накопления спектра 60 с, 10 повторов). Термогравиметрический (ТГ) анализ выполняли на термовесах Netzsch TG 209 F1 Libra в атмосфере синтетического воздуха (температурный диапазон 30–800°C, скорость нагрева 10 град/мин). Степень протонирования x и количество воды y на формульную единицу рассчитывали на основании наблюдаемых массопотерь по аналогии с методикой, описанной ранее в работе [38]. Спектры диффузного отражения записывали на спектрофотометре Shimadzu UV-2550 с интегрирующей сферой ISR-2200 в оптическом диапазоне 220–800 нм с использованием сульфата бария в качестве стандарта. Спектры отражения преобразовывали в координаты (F ⋅ hí)1/2 = f (hí), где F = (1 − R)2/2R – функция Кубелки–Мунка от коэффициента отражения R. Линейные участки каждого графика экстраполировали для нахождения оптической ширины запрещенной зоны Eg, соответствующей абсциссе точки пересечения. Значения pH фотокаталитических суспензий контролировали с использованием лабораторного pH-метра Toledo SevenCompact, оснащенного электродом InLab Expert Pro-ISM.
РЕЗУЛЬТАТЫ И ОБСУЖДЕНИЕ
Оптимизация методики синтеза
В доступной литературе синтез CBN3 описан только в рамках “нитратной” методики, использующей Nb2O5, Ba(NO3)2 и CsNO3 в качестве реагентов и включающей две стадии прокаливания (6 ч при 600°C и 3 ч при 850°C) [29, 31, 32]. Однако данная методика не позволяет получить целевой ниобат в однофазном виде, что было подтверждено экспериментально. На рентгеновской дифрактограмме образца, синтезированного в соответствии с литературной методикой (рис. 1), имеются заметные рефлексы примесной фазы, идентифицированной в одной из ранее опубликованных работ как ниобат бария Ba5Nb4O15 [29]. В связи с этим было решено провести варьирование условий синтеза (температуры, длительности, избытка цезия) для достижения большей фазовой чистоты конечного продукта. К сожалению, оптимизация “нитратной” методики не привела к желаемому результату: все синтезированные образцы по-прежнему содержали наряду с целевой фазой незначительное количество вышеупомянутого неслоистого ниобата. Тем не менее проведенные эксперименты позволили установить некоторые значимые факты. Во-первых, была показана возможность “нитратного” синтеза CBN3 в относительно широком температурном диапазоне 600–1050°C с получением конечных образцов одинакового фазового состава. При температуре ~1100°C целевой ниобат начинает плавиться с частичным разложением по аналогии с Pb-содержащими соединениями APb2Nb3O10 (A = Rb, Cs) [39]. Таким образом, как CBN3, так и APb2Nb3O10 демонстрируют меньшую термическую устойчивость по сравнению с Ca- и Sr-содержащими аналогами, которые могут быть успешно синтезированы при 1100–1300°C [2–7]. Во-вторых, было установлено, что процесс образования CBN3 протекает достаточно быстро. В частности, прокаливание длительностью 3 ч оказывается достаточным для получения целевого ниобата по “нитратной” методике, и дальнейшее увеличение продолжительности синтеза до 7 сут не влияет на вид рентгеновской дифрактограммы. При этом описанное в литературе разделение программы прокаливания на две стадии не оказывает заметного влияния на фазовую чистоту продукта. В-третьих, было замечено, что приблизительное содержание примесной фазы в конечных образцах практически не зависит от взятого избытка цезия (5–50% от стехиометрического количества). Более того, во всех протестированных условиях конечный образец содержал только две фазы – CBN3 и Ba5Nb4O15, какие-либо другие кристаллические фазы не наблюдались, что может указывать на повышенную термодинамическую устойчивость этих соединений по сравнению с другими возможными в данной системе.
Рис. 1. Рентгеновские дифрактограммы образцов CBN3 до и после их обработки 12 М HCl и водой. Звездочкой отмечены примесные фазы.
В то же время целевой ниобат CBN3 удалось успешно синтезировать в чистом виде с использованием “карбонатной” методики (реагенты Nb2O5, BaCO3 и Cs2CO3), которая широко применяется для получения родственных Ca-, Sr- и Pb-содержащих ниобатов [2–10], однако до настоящего момента не была описана в литературе для CBN3. Хорошо видно, что рентгеновская дифрактограмма образца CBN3(к), полученного при 1000°C в течение 24 ч, не содержит рефлексов каких-либо примесных кристаллических фаз (рис. 1), однако повышение температуры синтеза до 1100°C приводит к образованию примесей в ходе частичного разложения CBN3.
Рентгеновские дифрактограммы образцов CBN3(н) и CBN3(к) были успешно проиндексированы (рис. 1). Рассчитанные параметры решетки в тетрагональной сингонии (табл. 1) хорошо согласуются с литературными значениями [29, 31, 32]. Количественные составы обоих образцов, определенные методом энергодисперсионного рентгеновского микроанализа (табл. 1), полностью соответствуют ожидаемой теоретической формуле.
Установлено, что образцы CBN3 претерпевают частичное разупорядочение структуры (аморфизацию) при хранении в эксикаторе в течение 3 мес., что видно по сильному уширению дифракционных максимумов (рис. 1). Для родственных фаз Диона–Якобсона о подобных трансформациях в литературе не сообщалось.
Реакции протонирования и гидратации
Ионообменные свойства CBN3 практически не описаны в литературе по сравнению со свойствами Ca-, Sr- и Pb-содержащих ниобатов [2–9]. Чтобы изучить замещение межслоевых катионов цезия на протоны, образцы CBN3(н) и CBN3(к) были обработаны избытком HNO3 или HCl различной концентрации. В результате использование HCl привело к очищению CBN3(н) от примесной фазы Ba5Nb4O15 (рис. 1), в то время как обработка HNO3 не позволила полностью растворить данную примесь. Таким образом, “нитратная” методика синтеза с последующей обработкой образца HCl позволила получить целевой ниобат в однофазном виде.
Однако на рентгеновских дифрактограммах образцов CBN3 не обнаружено заметных изменений даже после 7 сут перемешивания в 12 М растворах кислот (рис. 1). Параметр решетки c, характеризующий межслоевое расстояние, остался неизменным и увеличился лишь на 0.03 Å после обработки HNO3 и HCl соответственно (табл. 1). Такое поведение образцов CBN3 оказалось неожиданным, поскольку родственные ниобаты Диона–Якобсона проявляют видимые признаки протонирования даже после контакта с разбавленными кислотами [40] и их протонированные формы обычно отличаются по структуре и параметрам решетки от щелочных прекурсоров [3, 5]. Несмотря на то, что протоны значительно меньше щелочных катионов, межслоевое расстояние протонированных образцов может быть как меньше, так и больше, чем у щелочного прекурсора, в зависимости от количества интеркалированных молекул воды [3, 39]. Для более глубокого понимания процессов, происходящих при кислотной обработке, полученные соединения были исследованы методом рамановской спектроскопии (рис. 2). В спектрах образцов CBN3/HNO3 и CBN3/HCl наблюдается появление новых полос, соответствующих деформационным колебаниям молекул воды (~1625 см−1) и валентным колебаниям гидроксильных групп (3000–3600 см−1), которые отсутствуют в случае CBN3 и могут относиться как к адсорбированной, так и к интеркалированной воде. В то же время кислотная обработка не сопровождается какими-либо сдвигами колебательных мод кристаллической решетки ниобата (50–1000 см−1), отдельные из которых чувствительны к изменению состава межслоевого пространства. В частности, протонирование обычно приводит к повышению частоты колебаний аксиальных связей Nb–O в терминальных перовскитных октаэдрах на 25–30 см−1 [41] и в отдельных случаях к расщеплению спектральных полос [39]. Таким образом, данные рентгенофазового анализа и рамановской спектроскопии свидетельствуют о том, что образцы CBN3 либо очень слабо подвергаются межслоевому протонированию, либо не претерпевают ионный обмен вообще. Для оценки степени протонирования x и количества воды y на формульную единицу полученные образцы были исследованы методом ТГ (рис. 3). ТГ-кривая исходного CBN3 не демонстрирует какой-либо массопотери, поскольку данный образец устойчив во всем температурном диапазоне ТГ-анализа. Обработанные кислотами образцы, напротив, показывают некоторую массопотерю в области 30–150°C, которая, вероятно, может быть отнесена к улетучиванию адсорбированной и интеркалированной воды. Рассчитанные количества молекул воды (y) на формульную единицу указывают на то, что образец CBN3/HCl является более гидратированным, чем CBN3/HNO3 (табл. 1), это согласуется с незначительно большим параметром решетки c и более высокой интенсивностью колебательных полос воды (рис. 2) в случае первого образца. Однако обработанные кислотами ниобаты не претерпевают массопотери в области более высоких температур (200–450°C), которая имеет место при термическом разложении протонированных Ca-, Sr- и Pb-содержащих соединений [39, 40, 42]. Соответственно, по данным ТГ, ниобаты CBN3 не подвергаются протонированию под действием растворов кислот. Указанный результат полностью согласуется с данными энергодисперсионного рентгеновского микроанализа, согласно которым содержание цезия в образцах действительно остается практически неизменным после процедуры протонирования (табл. 1). Соотношение катионов Ba : Nb также не изменяется, указывая на устойчивость CBN3 к кислотному разложению при комнатной температуре. Попытки протонирования были также предприняты при повышенных температурах (60 и 150°C) с использованием лабораторных гидротермальных реакторов. Тем не менее использование HNO3 не привело к желаемому замещению цезия на протоны, а обработка HCl при 150°C вызвала частичное растворение образца.
Таблица 1. Параметры решетки в тетрагональной сингонии и количественные составы образцов в виде HxCs1−xBa2Nb3O10 ∙ yH2O (степень протонирования x, количество интеркалированной воды y, соотношение Cs : Ba : Nb)
Образец | a, Å | с, Å | ТГ-анализ | Энергодисперсионный анализ | |||
x | y | Cs | Ba | Nb | |||
CBN3(н) | 3.97 | 15.56 | − | − | 1.00 | 1.98 | 3.00 |
CBN3(к) | 3.97 | 15.56 | − | − | 0.99 | 2.01 | 3.00 |
CBN3/HNO3 | 3.97 | 15.56 | 0 | 0.10 | 0.98 | 1.96 | 3.00 |
CBN3/HCl | 3.97 | 15.59 | 0 | 0.35 | 0.97 | 2.00 | 3.00 |
CBN3/H2O, 150°C | − | − | − | − | 0.99 | 1.90 | 3.00 |
CBN3/H2O, 200°C | − | − | − | − | 0.98 | 1.85 | 3.00 |
Рис. 2. Рамановские спектры CBN3 до и после обработки 12 М HCl и водой. Диапазон 1500–4000 см−1 увеличен в 20 раз.
Рис. 3. ТГ-кривые CBN3 до и после обработки 12 М HCl и водой.
Возможность межслоевой гидратации CBN3 была изучена путем обработки ниобата избытком дистиллированной воды при различных температурах в течение 7 сут. В случае образцов, полученных без дополнительного нагрева, не обнаружено каких-либо изменений на рентгеновских дифрактограммах, рамановских спектрах и ТГ-кривых, которые могли бы свидетельствовать об интеркаляции молекул воды. В связи с этим были предприняты попытки гидратации образцов при 150 и 200°C. Обработка водой при 150°C привела к значительному уширению дифракционных максимумов и образованию слоистой примесной фазы с рефлексом (001), смещенным в область больших углов дифракции относительно соответствующего рефлекса исходного ниобата (рис. 1). Появление данного рефлекса может с некоторой вероятностью указывать на частичное протонирование межслоевого пространства, однако сделать точные выводы в данном случае не представляется возможным, поскольку новая фаза не была получена в индивидуальном виде. Обработка водой при 200°C привела не только к образованию значительного количества неидентифицированных фаз, но и к почти полному исчезновению рефлексов (001), (010), (020) ниобата CBN3 (рис. 1), что указывает на возможное разложение слоистой перовскитной структуры в гидротермальных условиях. Данные результаты подтверждаются рамановским спектром конечного образца, низкочастотная область которого (50–1000 см−1) принципиально отличается от наблюдаемой в случае CBN3 и не содержит некоторых колебательных мод Nb–O вообще (рис. 2), указывая на вероятную деградацию перовскитных октаэдров. На ТГ-кривых обработанных водой образцов имеют место две основные стадии массопотери (рис. 3), похожие в некоторой степени на наблюдаемые при термолизе протонированных Ca- и Sr-содержащих ниобатов [40, 42]. Первая из них (30–150°C), по всей видимости, соответствует улетучиванию слабосвязанных молекул воды, а вторая (250–500°C) может относиться к разложению смешанных оксо-гидроксоформ бария и ниобия. В то же время энергодисперсионный рентгеновский микроанализ (табл. 1) показывает сохранение соотношения катионов Cs : Nb после гидротермальной водной обработки, в то время как содержание бария в образцах понижается ввиду потенциального вымывания в раствор.
Таким образом, CBN3 сильно отличается по своим химическим свойствам от родственных ниобатов Диона–Якобсона AA′2Nb3O10 (A = K, Rb, Cs; A′ = Ca, Sr, Pb), которые, как известно, подвергаются межслоевому ионному обмену при контакте с кислотами [2–9]. Возможная причина химической инертности CBN3 заключается в частичном разупорядочении цезия и бария между межслоевым пространством и блоком перовскита. Такой тип разупорядочения характерен для слоистых перовскитоподобных оксидов, содержащих катионы, мало различающиеся по заряду и размеру и распределенные по неэквивалентным структурным позициям [43, 44]. Если подобное разупорядочение действительно имеет место, часть катионов бария заселяют межслоевое пространство CBN3 вместо катионов цезия и, будучи более сильно связанными с перовскитными блоками, препятствуют межслоевому протонированию. Данное предположение косвенно подтверждается преимущественным вымыванием бария из образцов при гидротермальной обработке водой (табл. 1).
Фотокаталитическая активность
Область светопоглощения ниобатов CBN3 и CBN3/HCl, выбранных для дальнейших фотокаталитических измерений, была исследована методом спектроскопии диффузного отражения (рис. 4). Оптическая ширина запрещенной зоны Eg, определенная после преобразования спектров по методу Кубелки–Мунка, оказалась равной 2.8 эВ для обоих образцов, что соответствует длинноволновому краю поглощения 443 нм (табл. 1). Таким образом, ширина запрещенной зоны уменьшается в линейке Ca- (3.5 эВ) [17], Sr- (3.26 эВ) [37] и Ba-содержащих ниобатов (2.8 эВ). Подобное сужение запрещенной зоны ранее отмечалось и для других соединений при увеличении катионного радиуса [45]. Более широкий диапазон светопоглощения объясняет то, что CBN3 имеет цвет слоновой кости, а Ca- и Sr-содержащие образцы белого цвета. Вследствие этого CBN3 потенциально способен использовать видимый свет для осуществления фотокаталитических реакций наряду с Pb-содержащим аналогом (2.7 эВ) [8]. Потенциалы потолка валентной зоны и дна зоны проводимости CBN3, рассчитанные ранее [30], позволяют данному соединению обеспечивать фотокаталитическое разложение чистой воды на простые вещества.
Рис. 4. Спектры диффузного отражения (а) и соответствующие графики Кубелки–Мунка (б) для CBN3 до и после обработки 12 М HCl.
Фотокаталитическая активность CBN3 и CBN3/HCl была изучена в реакции генерации водорода из 1 мол. % водного метанола, применявшегося в наших предшествующих исследованиях [17, 18, 33–37]. Полученные кинетические кривые представлены на рис. 5, скорости реакций и кажущиеся квантовые эффективности приведены в табл. 2. CBN3 демонстрирует приблизительно такую же активность в реакции выделения водорода (ω = 1.0 мкмоль/ч, φ = 0.010%), как и KCa2Nb3O10 в тех же условиях (ω = 0.9 мкмоль/ч, φ = 0.012%), хотя последний образец обладает на 0.7 эВ большей шириной запрещенной зоны [17]. Однако после кислотной обработки фотокаталитическая активность CBN3/HCl возрастает лишь в 1.3 раза (ω = 1.3 мкмоль/ч, φ = 0.013%), тогда как в случае HCa2Nb3O10 она увеличивается в 13 раз (ω = 12 мкмоль/ч, φ = 0.16%) [17]. Предполагается, что значительное возрастание активности после протонирования связано с высокой гидратируемостью протонированных ниобатов Диона–Якобсона: межслоевые молекулы воды могут служить источником высокоактивных гидроксильных радикалов, участвующих в окислении метанола наряду с фотогенерированными дырками и тем самым повышающих скорость выделения водорода [46, 47]. Более того, протонированное межслоевое пространство может функционировать как дополнительная реакционная зона в фотокатализе, в которую потенциально способны проникать молекулы реагентов (метанола и воды) [48]. В отличие от Ca-, Sr- и Pb-содержащих аналогов, CBN3 не подвергается протонированию, что ограничивает его фотокаталитический потенциал.
Таблица 2. Область светопоглощения и фотокаталитическая активность образцов в реакции получения водорода
Образец | Eg, эВ | λmax, нм | ДРТ-125 (λ > 220 нм) | LED (λ = 425 нм) | |||
ω(H2), мкмоль/ч | ω(H2), мкмоль/(ч г) | φ, ٪ | ω(H2), мкмоль/ч | ω(H2), мкмоль/(ч г) | |||
CBN3 | 2.8 | 443 | 1.0 | 40 | 0.010 | 0 | 0 |
CBN3/HCl | 2.8 | 443 | 1.3 | 52 | 0.013 | 0 | 0 |
CBN3/Pt | − | − | 6.7 | 270 | 0.069 | 0.01 | 0.4 |
CBN3/HCl/Pt | − | − | 10 | 400 | 0.103 | 0.02 | 0.8 |
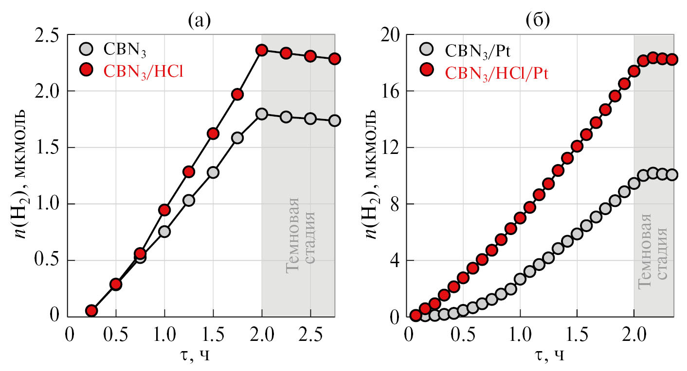
Рис. 5. Кинетические кривые фотокаталитического выделения водорода из 1 мол. % водного метанола под излучением лампы ДРТ-125 с использованием исходных и обработанных кислотой образцов CBN3 без дополнительной модификации (а) и с 1% Pt в качестве сокатализатора (б).
После платинирования поверхности активность CBN3 и CBN3/HCl возрастает в ~7 раз, достигая значений ω = 6.7 мкмоль/ч, φ = 0.069% и ω = 10 мкмоль/ч, φ = 0.103% соответственно. Наночастицы Pt, нанесенные на поверхность фотокатализатора, служат для улучшения поверхностного разделения заряда и являются активными центрами выделения водорода, что объясняет повышенную эффективность платинированных образцов [49]. Так, платинирование протонированного ниобата HCa2Nb3O10 позволяет увеличить активность до 60 раз (ω = 620 мкмоль/ч, φ = 8.3%) [17] по причинам, описанным выше.
Несмотря на длинноволновой край поглощения 443 нм, образцы CBN3 и CBN3/HCl практически не проявляют фотокаталитической активности под чисто видимым светом с λ = 425 нм: даже после платинирования водород выделяется лишь в следовых количествах ~0.01–0.02 мкмоль/ч (табл. 2). Данный результат согласуется с низкими коэффициентами поглощения CBN3 в видимом диапазоне, предсказанными теоретически в работе [30].
Таким образом, ниобат CBN3 представляет собой менее перспективный фотокаталитический материал для получения водорода, чем его Ca-, Sr- и Pb-содержащие аналоги, несмотря на свою способность поглощать видимый свет. Фотокаталитический потенциал CBN3 остается нераскрытым ввиду невозможности его межслоевого протонирования. Последнее благотворно сказывается на фотокаталитической активности фаз Диона–Якобсона в реакциях выделения водорода и является важным промежуточным шагом для применения дальнейших подходов к получению высокоэффективных фотокатализаторов, таких как расщепление на нанослои [19–28]и модификация межслоевого пространства органическими компонентами [17, 18]. В то же время фотокаталитическая активность CBN3 может быть улучшена с применением других подходов, таких как ионное замещение в перовскитной подрешетке, в частности азотирование [31], и нанесение на поверхность сокатализаторов и других функциональных частиц.
Ключевые аспекты сравнения CBN3 с родственными ниобатами Диона–Якобсона кратко представлены в табл. 3.
Таблица 3. Сравнительный анализ CBN3 с родственными ниобатами Диона–Якобсона AA2′Nb3O10 (A = K, Rb, Cs; A′ = Ca, Sr, Pb)
Критерий | CBN3 | APb2Nb3O10 (A = Rb, Cs) | AA′2Nb3O10 (A = K, Rb, Cs; A′ = Ca, Sr) |
Свойства щелочной формы | |||
Термическая устойчивость | Устойчива до 1050°C, при ~1100°C плавится с частичным разложением | Устойчива до ~1050°C | Устойчива как минимум до 1300°C (A = K) |
Долговременная устойчивость | Претерпевает частичное разупорядочение (аморфизацию) через ~3 мес. хранения в эксикаторе | Разупорядочение (аморфизация) при хранении не описано | |
Протонируемость | Химически неактивное межслоевое пространство, ионный обмен не протекает | Химически активное (ионообменное) межслоевое пространство, подвергающееся протонированию (0.1–12 М HNO3 или HCl), степень протонирования может достигать 95–100% | |
Гидратируемость | Низкая гидратируемость межслоевого пространства в мягких условиях, разложение образца при длительной гидротермальной обработке водой при 150–200°C | Низкая гидратируемость межслоевого пространства в мягких условиях, разложение образцов при гидротермальной обработке водой не описано | |
Оптический диапазон работы в фотокатализе | Eg = 2.8 эВ, цвет слоновой кости, поглощает видимый свет до 443 нм | Eg ~ 2.7 эВ, рыжий цвет, поглощают видимый свет до ~459 нм | Eg = 3.2–3.5 эВ, белые (неокрашенные), поглощают только ультрафиолет |
Фотокаталитическая активность в реакциях получения водорода | Относительно низкая и близкая к активности AA′2Nb3O10 (A = K, Rb, Cs; A′ = Ca, Sr) под ультрафиолетовым излучением, практически отсутствует под видимым излучением | Относительно низкая по сравнению с активностью протонированных форм (A = H), только под ультрафиолетовым излучением | |
Изменения при кислотной обработке | |||
Рентгеновская дифрактограмма и параметры решетки | Остаются практически неизменными (нет сужения или расширения межслоевого пространства) | Сдвиг рефлексов (00x) и соответствующее изменение параметра решетки c (сужение или расширение межслоевого пространства) | |
Частоты колебаний в рамановском спектре | Колебательные моды NbO без изменений | í(NbOаткесрм) расщепляется на несколько полос и смещается на ~30 см−1 в высокочастотную область | í(NbOаткесрм) смещается на 25–30 см−1 в высокочастотную область |
ТГ-кривые | Одна стадия массопотери при <150°C (улетучивание адсорбированной и интеркалированной воды) | Две перекрывающиеся стадии массопотери при <150°C (улетучивание адсорбированной и интеркалированной воды) и 150–400°C (разложение протонированного ниобата) | Две хорошо разделяемые стадии массопотери при <250°C (улетучивание адсорбированной и интеркалированной воды) и 250–450°C (разложение протонированного ниобата) |
pH водных суспензий | 6–7 | 5–6 | 4–5 |
Ширина запрещенной зоны | Остается практически без изменений | Изменяется ≤0.1 эВ | Остается практически без изменений |
Фотокаталитическая активность в реакциях получения водорода | Возрастает в 1.3–1.5 раза | Возрастает в 1.5–2 раза | Возрастает в несколько десятков раз |
Окончание табл. 3
Критерий | CBN3 | APb2Nb3O10 (A = Rb, Cs) | AA′2Nb3O10 (A = K, Rb, Cs; A′ = Ca, Sr) |
Подходы к дальнейшему увеличению фотокаталитической активности | |||
Допирование в перовскитной подрешетке | Применимо | ||
Создание композитов | Применимо | ||
Межслоевая модификация | Неприменимо | Применимо | |
Жидкофазное расщепление на нанослои | Неприменимо | Применимо | |
ЗАКЛЮЧЕНИЕ
Впервые ниобат Диона–Якобсона CsBa2Nb3O10 синтезирован в однофазном виде. Возможность его высокотемпературного синтеза была продемонстрирована с использованием цезия и бария как в форме нитратов, так и карбонатов. Установлено, что CsBa2Nb3O10 не подвергается межслоевому протонированию в широком диапазоне протестированных условий, что отличает данный ниобат от родственных ионообменных соединений AA′2Nb3O10 (A = K, Rb, Cs; A′ = Ca, Sr, Pb). Полученный ниобат также практически не претерпевает межслоевую гидратацию при выдерживании в воде при комнатной температуре и разлагается в ходе продолжительной гидротермальной обработки водой при 150–200°C. Химическая инертность CsBa2Nb3O10 может быть вызвана частичным разупорядочением катионов цезия и бария между межслоевым пространством и блоком перовскита, что, в свою очередь, может препятствовать межслоевому протонированию. В то же время ширина запрещенной зоны CBN3 (2.8 эВ) потенциально позволяет ниобату CsBa2Nb3O10 задействовать видимый свет в фотокаталитических превращениях, в отличие от Ca- и Sr-содержащих аналогов. Тем не менее невозможность протонирования сильно лимитирует фотокаталитический потенциал CsBa2Nb3O10, препятствуя улучшению его активности путем модификации межслоевого пространства и жидкофазного расщепления на нанослои.
БЛАГОДАРНОСТЬ
Исследование проведено с использованием оборудования ресурсных центров Научного парка СПбГУ: Рентгенодифракционные методы исследования, Нанотехнологии, Оптические и лазерные методы исследования вещества, Методы анализа состава вещества, Термогравиметрические и калориметрические методы исследования.
ФИНАНСИРОВАНИЕ РАБОТЫ
Исследование выполнено при финансовой поддержке Российского научного фонда (грант № 19-13-00184).
КОНФЛИКТ ИНТЕРЕСОВ
Авторы заявляют об отсутствии конфликта интересов.
About the authors
S. A. Kurnosenko
Saint Petersburg State University
Email: irina.zvereva@spbu.ru
Russian Federation, Saint Petersburg
O. I. Silyukov
Saint Petersburg State University
Email: irina.zvereva@spbu.ru
Russian Federation, Saint Petersburg
I. A. Rodionov
Saint Petersburg State University
Email: irina.zvereva@spbu.ru
Russian Federation, Saint Petersburg
Ya. P. Biryukov
Institute of Silicate Chemistry of the Russian Academy of Sciences
Email: irina.zvereva@spbu.ru
Russian Federation, Saint Petersburg
A. A. Burov
Saint Petersburg State University
Email: irina.zvereva@spbu.ru
Russian Federation, Saint Petersburg
I. A. Zvereva
Saint Petersburg State University
Author for correspondence.
Email: irina.zvereva@spbu.ru
Russian Federation, Saint Petersburg
References
- Dion M., Ganne M., Tournoux M. // Mater. Res. Bull. 1981. V. 16. № 11. P. 1429. https://doi.org/10.1016/0025-5408(81)90063-5
- Domen K., Ebina Y., Sekine T. et al. // Catal. Today. 1993. V. 16. № 3–4. P. 479. https://doi.org/10.1016/0920-5861(93)80088-I
- Jacobson A.J., Lewandowski J.T., Johnson J.W. // J. Less Common Met. 1986. V. 116. № 1. P. 137. https://doi.org/10.1016/0022-5088(86)90224-9
- Kawaguchi T., Horigane K., Itoh Y. et al. // Phys. B: Condens. Matter. 2018. V. 536. P. 830. https://doi.org/10.1016/j.physb.2017.09.060
- Fang L., Zhang H., Yuan R. // J. Wuhan University of Technology-Mater. Sci. Ed. 2002. V. 17. № 2. P. 3. https://doi.org/10.1007/BF02832614
- Mahler C.H., Cushing B.L., Lalena J.N. et al. // Mater. Res. Bull. 1998. V. 33. P. 1581. https://doi.org/10.1016/S0025-5408(98)00166-4
- Fang M., Kim C.H., Mallouk T.E. // Chem. Mater. 1999. V. 11. P. 1519. https://doi.org/10.1021/cm981065s
- Yoshimura J., Ebina Y., Kondo J. et al. // J. Phys. Chem. 1993. V. 97. № 9. P. 1970. https://doi.org/10.1021/j100111a039
- Liou Y., Wang C.M. // J. Electrochem. Soc. 1996. V. 143. № 5. P. 1492. https://doi.org/10.1149/1.1836668
- Ziegler C., Dennenwaldt T., Weber D. et al. // Z. Anorg. Allg. Chem. 2017. V. 643. № 21. P. 1668. https://doi.org/10.1002/zaac.201700269
- Fukuoka H., Isami T., Yamanaka S. // J. Solid State Chem. 2000. V. 151. № 1. P. 40. https://doi.org/10.1006/jssc.2000.8619
- Schaak R.E., Mallouk T.E. // Chem. Mater. 2002. V. 14. № 4. P. 1455. https://doi.org/10.1021/cm010689m
- Tahara S., Sugahara Y. // Langmuir. 2003. V. 19. № 22. P. 9473. https://doi.org/10.1021/la0343876
- Tahara S., Takeda Y., Sugahara Y. // Chem. Mater. 2005. V. 17. № 16. P. 6198. https://doi.org/10.1021/cm0514793
- Shimada A., Yoneyama Y., Tahara S. et al. // Chem. Mater. 2009. V. 21. № 18. P. 4155. https://doi.org/10.1021/cm900228c
- Khramova A.D., Silyukov O.I., Kurnosenko S.A. et al. // Molecules. 2023. V. 28. № 12. P. 4807. https://doi.org/10.3390/molecules28124807
- Voytovich V.V., Kurnosenko S.A., Silyukov O.I. et al. // Front. Chem. 2020. V. 8. https://doi.org/10.3389/fchem.2020.00300
- Voytovich V.V., Kurnosenko S.A., Silyukov O.I. et al. // Catalysts. 2021. V. 11. № 8. P. 897. https://doi.org/10.3390/catal11080897
- Ebina Y., Sasaki T., Watanabe M. // Solid State Ionics. 2002. V. 151. P. 177. https://doi.org/10.1016/S0167-2738(02)00707-5
- Sasaki T. // J. Ceram. Soc. Jpn. 2007. V. 115. № 1337. P. 9. https://doi.org/10.2109/jcersj.115.9
- Nicolosi V., Chhowalla M., Kanatzidis M.G. et al. // Science. 2013. V. 340. № 6139. P. 1226419. https://doi.org/10.1126/science.1226419
- Wang T.H., Henderson C.N., Draskovic T.I. et al. // Chem. Mater. 2014. V. 26. № 2. P. 898. https://doi.org/10.1021/cm401803d
- Gao H., Shori S., Chen X. et al. // J. Colloid Interface Sci. 2013. V. 392. P. 226. https://doi.org/10.1016/j.jcis.2012.09.079
- Sakaki M., Feng Y.Q., Kajiyoshi K. // J. Solid State Chem. 2019. V. 277. № June. P. 253. https://doi.org/10.1016/j.jssc.2019.06.018
- Han Y.-S., Park I., Choy J.-H. // J. Mater. Chem. 2001. V. 11. № 4. P. 1277. https://doi.org/10.1039/b006045n
- Lee W.-J., Yeo H.J., Kim D.-Y. et al. // Bull. Korean Chem. Soc. 2013. V. 34. № 7. P. 2041. https://doi.org/10.5012/bkcs.2013.34.7.2041
- Hashemzadeh F. // Water Sci. Technol. 2016. V. 73. № 6. P. 1378. https://doi.org/10.2166/wst.2015.610
- Kweon S.-H., Im M., Lee W.-H. et al. // J. Mater. Chem. C. 2016. V. 4. № 1. P. 178. https://doi.org/10.1039/C5TC03815D
- Thangadurai V., Schmid-Beurmann P., Weppner W. // J. Solid State Chem. 2001. V. 158. № 2. P. 279. https://doi.org/10.1006/jssc.2001.9108
- Zahedi E., Hojamberdiev M., Bekheet M.F. // RSC Adv. 2015. V. 5. № 108. P. 88725. https://doi.org/10.1039/c5ra13763b
- Reddy J.R., Kurra S., Guje R. et al. // Ceram. Int. 2015. V. 41. № 2. P. 2869. https://doi.org/10.1016/j.ceramint.2014.10.109
- Henderson C.N. // Studies on the exfoliation, reassembly and applications of layered materials, The Pennsylvania State University, 2013.
- Rodionov I.A., Maksimova E.A., Pozhidaev A.Y. et al. // Front. Chem. 2019. V. 7. № December. P. 1. https://doi.org/10.3389/fchem.2019.00863
- Rodionov I.A., Gruzdeva E.O., Mazur A.S. et al. // Catalysts. 2022. V. 12. № 12. P. 1556. https://doi.org/10.3390/catal12121556
- Kurnosenko S.A., Voytovich V.V., Silyukov O.I. et al. // Catalysts. 2023. V. 13. № 4. P. 749. https://doi.org/10.3390/catal13040749
- Kurnosenko S.A., Voytovich V.V., Silyukov O.I. et al. // Catalysts. 2021. V. 11. № 11. P. 1279. https://doi.org/10.3390/catal11111279
- Kurnosenko S.A., Voytovich V.V., Silyukov O.I. et al. // Catalysts. 2023. V. 13. № 3. P. 614. https://doi.org/10.3390/catal13030614
- Zvereva I.A., Silyukov O.I., Chislov M.V. // Russ. J. Gen. Chem. 2011. V. 81. № 7. P. 1434. https://doi.org/10.1134/S1070363211070061
- Kurnosenko S.A., Burov A.A., Silyukov O.I. et al. // Glass. Phys. Chem. 2023. V. 49. № 2. P. 160. https://doi.org/10.1134/S1087659622600971
- Yafarova L.V., Silyukov O.I., Myshkovskaya T.D. et al. // J. Therm. Anal. Calorim. 2021. V. 143. № 1. P. 87. https://doi.org/10.1007/s10973-020-09276-9
- Jehng J.-M., Wachs I.E. // Chem. Mater. 1991. V. 3. № 7. P. 100. https://doi.org/10.1021/cm00013a025
- Hong Y., Kim S.-J. // Bull. Korean Chem. Soc. 1996. V. 17. № 8. P. 730.
- Zvereva I., Smimov Y., Gusarov V. et al. // Solid State Sci. 2003. V. 5. № 2. P. 343. https://doi.org/10.1016/S1293-2558(02)00021-3
- Tugova E.A. // Russ. J. Inorg. Chem. 2022. V. 67. № 6. P. 874. https://doi.org/10.1134/S0036023622060237
- Shtarev D.S., Shtareva A.V., Petrova A.Y. // Russ. J. Inorg. Chem. 2022. V. 67. № 9. P. 1368. https://doi.org/10.1134/S0036023622090145
- Shibata H., Ogura Y., Sawa Y. et al. // Biosci. Biotechnol. Biochem. 1998. V. 62. № 12. P. 2306. https://doi.org/10.1271/bbb.62.2306
- Nosaka Y., Nosaka A. // ACS Energy Lett. 2016. V. 1. № 2. P. 356. https://doi.org/10.1021/acsenergylett.6b00174
- Cui W., Liu L., Ma S. et al. // Catal. Today. 2013. V. 207. P. 44. https://doi.org/10.1016/j.cattod.2012.05.009
- Xiao N., Li S., Li X. et al. // Chinese J. Catal. 2020. V. 41. № 4. P. 642. https://doi.org/10.1016/S1872-2067(19)63469-8
Supplementary files







