Nonempirical Modeling of Interactions of Fe2O2 and Fe2O4 Clusters with H2 and O2 Molecules
- Authors: Bozhenko K.V.1, Utenyshev A.N.1, Gutsev L.G.1, Gutsev G.L.2, Aldoshin S.M.1
 - 
							Affiliations: 
							
- Federal Research Center of Problems of Chemical Physics and Medicinal Chemistry, Russian Academy of Sciences
 - Department of Physics, Florida A&M University
 
 - Issue: Vol 68, No 10 (2023)
 - Pages: 1454-1461
 - Section: ТЕОРЕТИЧЕСКАЯ НЕОРГАНИЧЕСКАЯ ХИМИЯ
 - URL: https://journals.rcsi.science/0044-457X/article/view/140311
 - DOI: https://doi.org/10.31857/S0044457X23600457
 - EDN: https://elibrary.ru/GBLADU
 - ID: 140311
 
Cite item
Full Text
Abstract
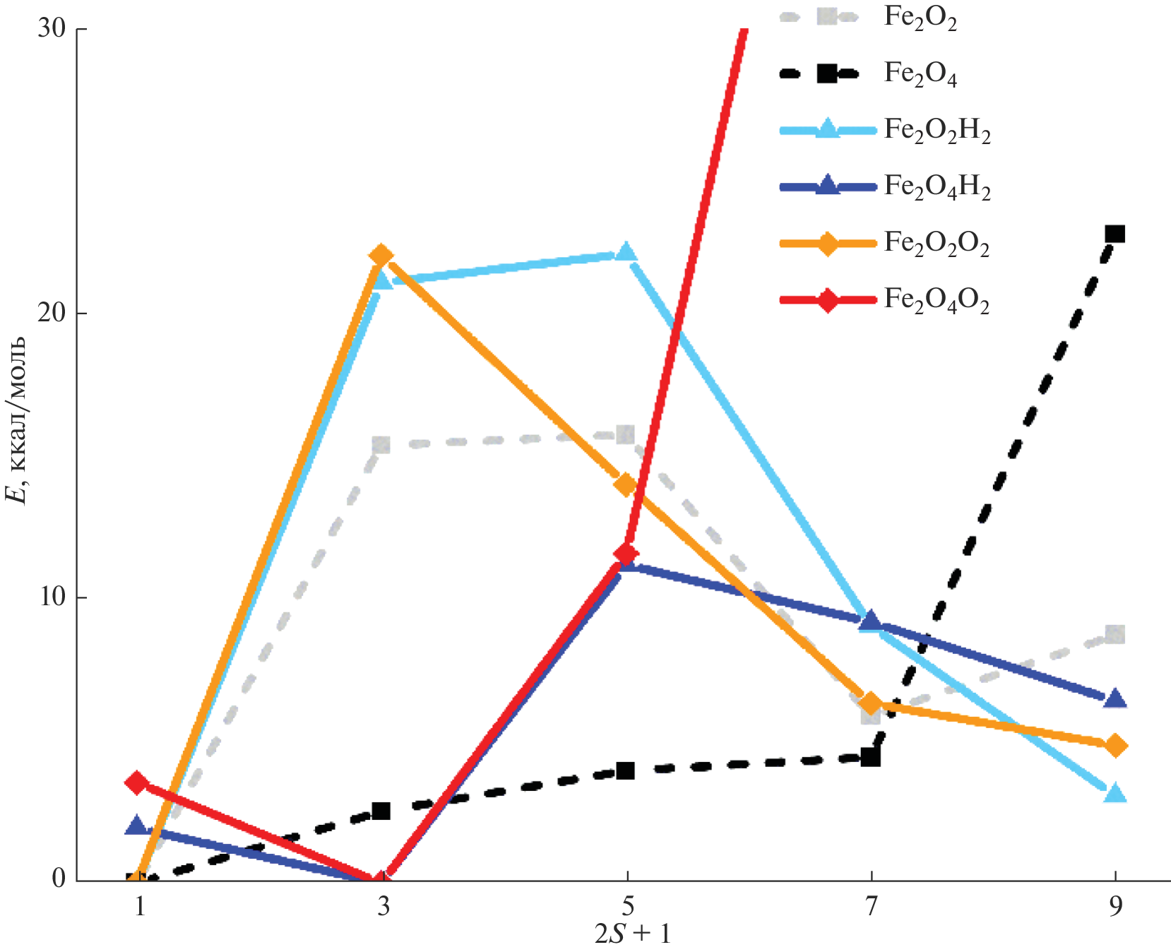
Quantum-chemical calculations of the geometric and electronic structures of compounds formed by the interaction of Fe2O2 and Fe2O4 clusters with diatomic H2 and O2 molecules in the gas phase have been performed by the density functional theory method in the generalized gradient approximation using the triple-zeta basis set. The trends in changes in the binding energy of H2 and O2 molecules with Fe2O2 and Fe2O4 clusters depending on the number of oxygen atoms have been found. It has been demonstrated that in two of the four reactions considered, the total spins of the initial reagents and final products do not coincide, that is, spin relaxation occurs. It has been concluded that nanoparticles based on Fe2O4 clusters can be used as sensors for detecting H2 and O2 molecules.
Keywords
About the authors
K. V. Bozhenko
Federal Research Center of Problems of Chemical Physics and Medicinal Chemistry, Russian Academy of Sciences
														Email: bogenko@icp.ac.ru
				                					                																			                												                								142432, Chernogolovka, Moscow oblast, Russia						
A. N. Utenyshev
Federal Research Center of Problems of Chemical Physics and Medicinal Chemistry, Russian Academy of Sciences
														Email: bogenko@icp.ac.ru
				                					                																			                												                								142432, Chernogolovka, Moscow oblast, Russia						
L. G. Gutsev
Federal Research Center of Problems of Chemical Physics and Medicinal Chemistry, Russian Academy of Sciences
														Email: bogenko@icp.ac.ru
				                					                																			                												                								142432, Chernogolovka, Moscow oblast, Russia						
G. L. Gutsev
Department of Physics, Florida A&M University
														Email: bogenko@icp.ac.ru
				                					                																			                												                								32307, Tallahassee, United States						
S. M. Aldoshin
Federal Research Center of Problems of Chemical Physics and Medicinal Chemistry, Russian Academy of Sciences
							Author for correspondence.
							Email: bogenko@icp.ac.ru
				                					                																			                												                								142432, Chernogolovka, Moscow oblast, Russia						
References
- Prima D.O., Kulikovskaya N.S., Galushko A.S. et al. // Curr. Opin. Green Sustain. Chem. 2021. V. 31. P. 100502. https://doi.org/10.1016/J.COGSC.2021.100502
 - Kashin A.S., Ananikov V.P. // J. Org. Chem. 2013. V. 78. P. 11117. https://doi.org/10.1021/jo402038p
 - Yang S., Rao D., Ye J. et al. // Int. J. Hydrogen Energy. 2021. V. 46. P. 3484. https://doi.org/10.1016/j.ijhydene.2020.11.008
 - Zhang X., Zhang M., Deng Y. et al. // Nature. 2021. V. 589. P. 396. https://doi.org/10.1038/s41586-020-03130-6
 - Singh B., Gawande M.B., Kute A.D. et al. // Chem. Rev. 2021. V. 121. P. 13620.
 - Zhang H., Hwang S., Wang M. et al. // J. Am. Chem. Soc. 2017. V. 139. P. 14143. https://doi.org/10.1021/JACS.7B06514/SUPPL_FILE/JA7B06514_SI_001.PDF
 - Zhou J., Xu Z., Xu M. et al. // Nanoscale Adv. 2020. V. 2. P. 3624. https://doi.org/10.1039/D0NA00393J
 - Gobbo O.L., Sjaastad K., Radomski M.W. et al. // Theranostics. 2015. V. 5. № 11. P. 1249. https://doi.org/10.7150/thno.11544
 - Cox P.A. Transition Metal Oxides. Oxford: Clarendon, 1992. 284 p.
 - Rao C.N., Raveau B. Transition Metal Oxides. N.Y.: Wiley, 1998. 392 p.
 - Gong Yu., Mingfei Z., Andrews L. // Chem. Rev. 2009. V. 109. P. 6765.
 - Fernando A., Weerawardene K.L.D.M., Karimova N.V., Aikens C.M. // Chem. Rev. 2015. V. 115. P. 6112.
 - Singh N., Jenkins G.J.S., Asadi R., Doak S.H. // Nano Rev. 2010. V. 1. P. 358.https://doi.org/10.3402/nano.v1i0.5358
 - Lee N.D., Yoo D., Ling D. et al. // J. Cheon. Chem. Rev. 2015. V. 115. P. 10637. https://doi.org/10.1021/acs.chemrev.5b00112
 - Golovin Y.I., Klyachko N.L., Majouga A.G. et al. // J. Nanopart. Res. 2017. V. 19. P. 63. https://doi.org/10.1007/s11051-017-3746-5
 - Molek K.S., Anfuso-Cleary C., Duncan M.A. // J. Phys. Chem. A. 2008. V. 112. P. 9238. https://doi.org/10.1021/jp8009436
 - Li S., Guenther C.L., Kelley M.S., Dixon D.A. // J. Phys. Chem. C. 2011. V. 115. P. 8072. https://doi.org/10.1021/jp111031x
 - Kesavan V., Dhar D., Koltypin Y. et al. // Pure Appl. Chem. 2001. V. 73. P. 85. https://doi.org/10.1351/pac200173010085
 - Jones N.O., Reddy B.V., Rasouli F., Khanna S.N. // Phys. Rev. B: Condens. Matter Mater. Phys. 2006. V. 73. P. 119901. https://doi.org/10.1103/PhysRevB.73.119901
 - de Oliveira O.V., de Pires J.M., Neto A.C., dos Santos J.D. // Chem. Phys. Lett. 2015. V. 634. P. 25.
 - Gutsev G.L., Weatherford C.A., Jena P. et al. // Chem. Phys. Lett. 2013. V. 556. P. 211. https://doi.org/10.1016/j.cplett.2012.11.054
 - Ju M., Lv J., Kuang X.-Y. et al. // RSC Adv. 2015. V. 5. P. 6560.
 - Gutsev G.L., Belay K.G., Bozhenko K.V. et al. // Phys. Chem. Chem. Phys. 2016. V. 18. P. 27858. https://doi.org/10.1039/c6cp03241a
 - Gutsev G.L., Belay K.G., Gutsev L.G., Ramachandran B.R. // Comput. Mater. Sci. 2017. V. 137. P. 134. https://doi.org/10.1016/j.commatsci.2017.05.028
 - Roy D.R., Robles R., Khanna S.N. // J. Chem. Phys. 2010. V. 132. P. 194305. https://doi.org/10.1063/1.3425879
 - Wang Q., Sun Q., Sakurai M. et al. // Phys. Rev. B: Condens. Matter Mater. Phys. 1999. V. 59. P. 12672.
 - Sun Q., Sakurai M.Q., Wang M. et al. // Phys. Rev. B: Condens. Matter Mater. Phys. 2000. V. 62. P. 8500. https://doi.org/https://doi.org/10.1103/PhysRevB.62.8500
 - Kortus J., Pederson M.R. // Phys. Rev. B: Condens. Matter Mater. Phys. 2000. V. 62. P. 5755.
 - López S., Romero A.H., Mejнa-López J. et al. // Phys. Rev. B: Condens. Matter Mater. Phys. 2009. V. 80. P. 085107. https://doi.org/10.1103/PhysRevB.80.085107
 - Palotás K., Andriotis A.N., Lappas A. // Phys. Rev. B: Condens. Matter Mater. Phys. 2010. V. 81. P. 075403. https://doi.org/10.1103/PhysRevB.81.075403
 - Logemann R., de Wijs G.A., Katsnelson M.I., Kirilyuk A. // Phys. Rev. B: Condens. Matter Mater. Phys. 2015. V. 92. P. 144427. https://doi.org/10.1103/PhysRevB.92.144427
 - Gutsev G.L., Belay K.G., Gutsev L.G., Ramachandran B.R. // J. Comput. Chem. 2016. V. 37. P. 2527. https://doi.org/10.1002/jcc.24478
 - Xue W., Wang Z.-C., He S.-G., Xie Y. // J. Am. Chem. Soc. 2008. V. 130. P. 15879.
 - Xie Y., Dong F., Heinbuch S. et al. // J. Chem. Phys. 2009. V. 130. P. 114306.
 - Weichman M.L., DeVine J.A., Neumark D.M. // J. Chem. Phys. 2016. V. 145. P. 054302. https://doi.org/10.1063/1.4960176
 - Gutsev G.L., Belay K.G., Gutsev L.G. et al. // Phys. Chem. Chem. Phys. 2018. V. 20. P. 4546. https://doi.org/10.1039/C7CP08224J
 - Roy D.R., Roblesand R., Khanna S.N. // J. Chem. Phys. 2010. V. 2. P. 194305. https://doi.org/10.1063/1.3425879
 - Xue W., Yin S., Ding X.-L. et al. // J. Phys. Chem. A. 2009. V. 113. P. 5302.
 - Li P., Miser D.E., Rabiei S. et al. // Appl. Catal. B. 2003. V. 43. P. 151. https://doi.org/10.1016/S0926-3373(02)00297-7
 - Khedr M.H., Abdel Halim K.S., Nasr M.I., El-Mansy A.M. // Mater. Sci. Eng. A. 2006. V. 430. P. 40. https://doi.org/10.1016/j.msea.2006.05.119
 - Reddy B.V., Rasouli F., Hajaligol M.R., Khanna S.N. // Chem. Phys. Lett. 2004. V. 384. P. 242. https://doi.org/10.1016/j.cplett.2003.12.023
 - Боженко К.В., Утенышев А.Н., Гуцев Л.Г. и др. // Журн. неорган. химии. 2022. Т. 67. № 12. С. 1789. Bozhenko K.V., Utenyshev A.N., Gutsev L.G. et al. // Russ. J. Inorg. Chem. 2003 2022. V. 67. № 12. P. 2003. https://doi.org/10.1134/S0036023622601751
 - Kappes M.M., Staley R.H. // J. Am. Chem. Soc. 1981. V. 103. P. 1286.
 - Hagen J., Bernhardt T.M., Woste L. et al. // J. Am. Chem. Soc. 2003. V. 125. P. 10437.
 - Gaussian 09, Revision C.01. Gaussian, Inc. Wallingford CT-2009.
 - Curtiss L.A., McGrath M.P., Blaudeau J.-P. et al. // J. Chem. Phys.1995. V. 103. P. 6104. https://doi.org/10.1063/1.470438
 - Becke A.D. // Phys. Rev. A. 1988. V. 38. P. 3098. https://doi.org/10.1103/PhysRevA.38.3098
 - Perdew J.P., Wang Y. // Phys. Rev. B. 1992. V. 45. P. 13244. https://doi.org/10.1103/PhysRevB.45.13244
 - Gutsev G.L., Andrews L., Bauschlicher C.W. // Theor. Chem. Acc. 2003. V. 109. P. 298. https://doi.org/10.1007/s00214-003-0428-4
 - Gutsev G.L., Rao B.K., Jena P. // J. Phys. Chem. A. 2000. V. 104. P. 5374.
 - Gutsev G.L., Rao B.K., Jena P. // J. Phys. Chem. A. 2000. V. 104. P. 11961. https://doi.org/10.1021/jp002252s
 - Gutsev G.L., Bauschlicher C.W., Jr. et al // J. Chem. Phys. 2003. V. 119. P. 11135. https://doi.org/10.1063/1.1621856
 - Pradhan K., Gutsev G.L., Weatherford C.A., Jena P. // J. Chem. Phys. 2011. V. 134. P. 144305. https://doi.org/10.1063/1.3570578
 - Gutsev G.L., Rao B.K., Jena P. et al. // J. Chem. Phys. 2000. V. 113. P. 1473. https://doi.org/10.1063/1.481964
 - Gutsev G.L., Rao B.K., Jena P. et al. // Chem. Phys. Lett. 1999. V. 312. P. 598. https://doi.org/10.1016/S0009-2614(99)00976-8
 - Ju M., Lv J., Kuang X.-Y. et al. // RSC Adv. 2015. V. 5. P. 6560.
 - Li S., Zhai H.-J., Wang L.-S., Dixon D.A. // J. Phys. Chem. A. 2009. V. 1. P. 11273. https://doi.org/10.1021/jp9082008
 - Li S., Dixon D.A. // J. Phys. Chem. A. 2008. V. 112. P. 6646.
 - Zhai H.-J., Li S., Dixon D. A., Wang L.-S. // J. Am. Chem. Soc. 2008. V. 130. P. 5167. https://doi.org/10.1021/ja077984d
 - Grein F. // Int. J. Quantum. Chem. 2009. V. 109. P. 549. https://doi.org/10.1002/qua.21855
 - Li S., Jamie M., Hennigan Dixon D.A., Peterson K.A. // J. Phys. Chem. A. 2009. V. 113. P. 7861. https://doi.org/10.1021/jp810182a
 - Fang Z., Both J., Li S. et al. // J. Chem. Theory Comput. 2016. V. 12. P. 3689.
 - Yang K., Zheng J., Zhao Y., Truhlar D.G. // J. Chem. Phys. 2010. V. 132. P. 164117. https://doi.org/10.1063/1.3382342
 - Gutsev G., Bozhenko K., Gutsev L. et al. // J. Comput. Chem. 2019. V. 40. P. 562. https://doi.org/10.1002/jcc.25739
 - Garcia J.M., Shaffer R.E., Sayres Scott G. // Phys. Chem. Chem. Phys. 2020. V. 22. P. 24624.
 - Elliott P., Singh N., Krieger K. et al. // J. Magn. Magn. Mater. 2020. V. 502. P. 166473.
 - Zheng Z., Zheng Q., Zhao J. // Phys. Rev. B. 2022. V. 105. P. 085142.
 
Supplementary files
				
			
					
						
						
						
						
				






