Synthesis and Luminescent Properties of Multicomponent Garnets Y3MgGa3SiO12, Y3MgGa2AlSiO12, and Y3MgGaAl2SiO12 Doped with Cr3+ Ions
- Authors: Khaidukov N.M.1, Nikonov K.S.1, Brekhovskikh M.N.1, Kirikova N.Y.2, Kondratyuk V.A.2, Makhov V.N.2
-
Affiliations:
- Kurnakov Institute of General and Inorganic Chemistry, Russian Academy of Sciences
- Lebedev Physical Institute, Russian Academy of Sciences
- Issue: Vol 68, No 8 (2023)
- Pages: 1030-1041
- Section: СИНТЕЗ И СВОЙСТВА НЕОРГАНИЧЕСКИХ СОЕДИНЕНИЙ
- URL: https://journals.rcsi.science/0044-457X/article/view/136401
- DOI: https://doi.org/10.31857/S0044457X23600470
- EDN: https://elibrary.ru/OAAOCL
- ID: 136401
Cite item
Full Text
Abstract
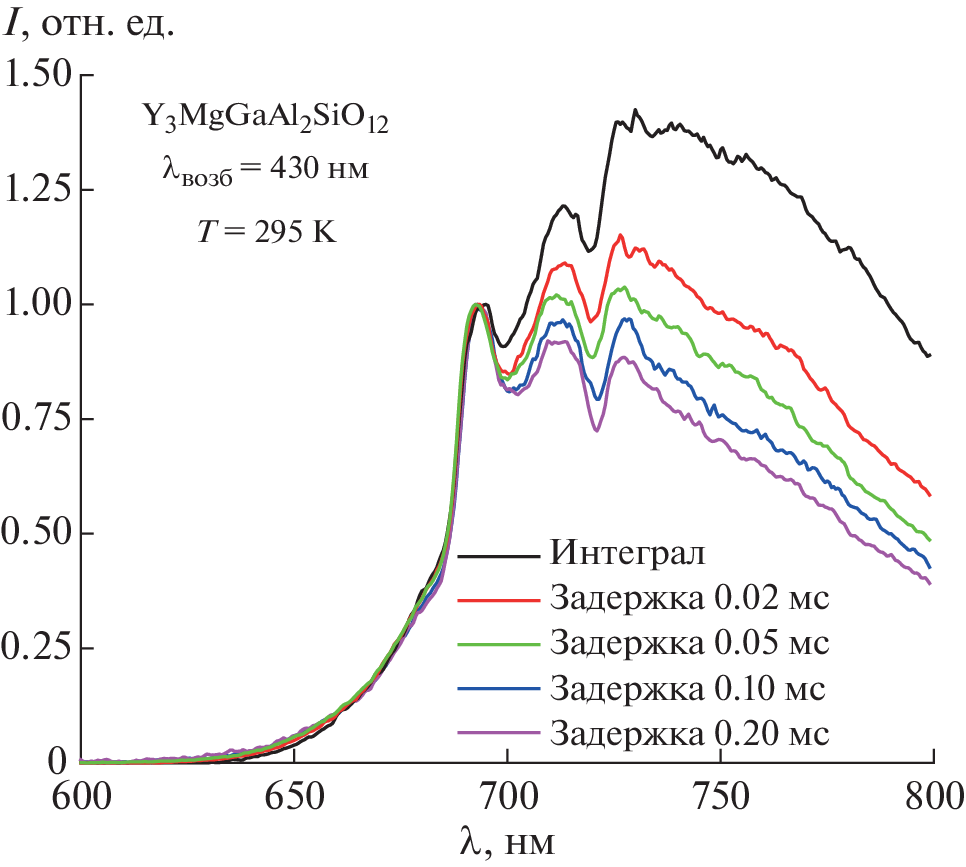
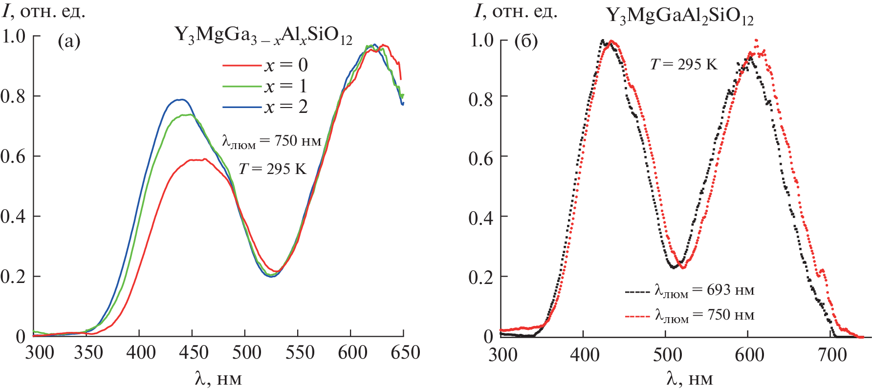
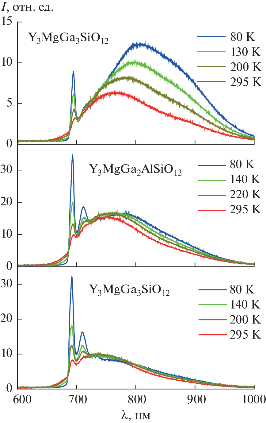
Ceramic samples of Y3MgGa3SiO12, Y3MgGa2AlSiO12, and Y3MgGaAl2SiO12 multicomponent garnets doped with 0.2 at % Cr3+ have been obtained by high-temperature solid-state synthesis. In the luminescence spectra of the synthesized garnet samples, overlapping broadband luminescence is observed in the far red spectral region caused by the 4T2 → 4A2 transition in Cr3+ ions, and a narrow band is observed in the range of 690–700 nm, corresponding to the zero-phonon line of the 2Е → 4A2 transition in Cr3+. The narrow-band and broad-band parts of the spectra are attributed to radiation from two different types of chromium centers, which are in octahedral coordination with different distortion degrees and strength of the crystal field. This results from the presence of two ions at the octahedral position of these garnets, which differ significantly in crystal chemical properties, namely, Mg2+ and Ga3+ (Al3+). The studied phosphors, which have broadband luminescence in the phytoactive far red region of the spectrum, have the potential for use in greenhouse LED lamps.
Keywords
About the authors
N. M. Khaidukov
Kurnakov Institute of General and Inorganic Chemistry, Russian Academy of Sciences
Email: mbrekh@igic.ras.ru
119991, Moscow, Russia
K. S. Nikonov
Kurnakov Institute of General and Inorganic Chemistry, Russian Academy of Sciences
Email: mbrekh@igic.ras.ru
119991, Moscow, Russia
M. N. Brekhovskikh
Kurnakov Institute of General and Inorganic Chemistry, Russian Academy of Sciences
Email: mbrekh@igic.ras.ru
119991, Moscow, Russia
N. Yu. Kirikova
Lebedev Physical Institute, Russian Academy of Sciences
Email: mbrekh@igic.ras.ru
119991, Moscow, Russia
V. A. Kondratyuk
Lebedev Physical Institute, Russian Academy of Sciences
Email: mbrekh@igic.ras.ru
119991, Moscow, Russia
V. N. Makhov
Lebedev Physical Institute, Russian Academy of Sciences
Author for correspondence.
Email: mbrekh@igic.ras.ru
119991, Moscow, Russia
References
- Adachi S. // ECS J. Solid State Sci. Technol. 2021. V. 10. № 2. P. 026001. https://doi.org/10.1149/2162-8777/abdc01
- Adachi S. // ECS J. Solid State Sci. Technol. 2021. V. 10. № 3. P. 036001. https://doi.org/10.1149/2162-8777/abdfb7
- Nair G.B., Swart H.C., Dhoble S.J. // Prog. Mater. Sci. 2020. V. 109. P. 100622. https://doi.org/10.1016/j.pmatsci.2019.100622
- Dhoble S.J., Priya R., Dhoble N.S., Pandey O.P. // Luminescence. 2021. V. 36. P. 560. https://doi.org/10.1002/bio.3991
- Fang M.H., De Guzman G.N.A., Bao Z. et al. // J. Mater. Chem. C. 2020. V. 8. P. 11013. https://doi.org/10.1039/d0tc02705g
- Zhen S., Bugbee B. // Plant, Cell Environment. 2020. V. 43. № 5. P. 1259. https://doi.org/10.1111/pce.13730
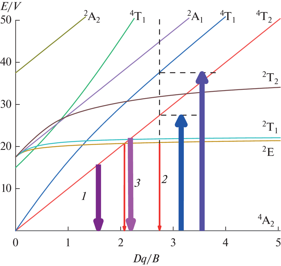
- Tanabe Y., Sugano S. // J. Phys. Soc. Jpn. 1954. V. 9. P. 776. https://doi.org/10.1143/JPSJ.9.766
- Malysa B., Meijerink A., Jüstel T. // J. Lumin. 2018. V. 202. P. 523. https://doi.org/10.1016/j.jlumin.2018.05.076
- Huang D., Zhu H., Deng Z. et al. // J. Mater. Chem. C. 2021. V. 9. P. 164. https://doi.org/10.1039/d0tc04803h
- Bindhu A., Naseemabeevi J.I., Ganesanpotti S. // Crit. Rev. Solid State Mater. Sci. 2022. V. 47. № 5. P. 621. https://doi.org/10.1080/10408436.2021.1935211
- Sun B., Jiang B., Fan J., et al. // J. Am. Ceram. Soc. 2023. V. 106. № 1. P. 513. https://doi.org/10.1111/jace.18772
- Khaidukov N.M., Makhov V.N., Zhang Q. et al. // Dyes and Pigments. 2017. V. 142. P. 524. https://doi.org/10.1016/j.dyepig.2017.04.013
- Хайдуков Н.М., Бреховских М.Н., Кирикова Н.Ю. и др. // Журн. неорган. химии. 2020. Т. 65. № 8. С. 1027. https://doi.org/10.31857/S0044457X20080061
- Хайдуков Н.М., Бреховских М.Н., Кирикова Н.Ю. и др. // Журн. неорган. химии. 2022. Т. 67. № 4. С. 531. https://doi.org/10.31857/S0044457X22040092
- Mares J.A., Nie W., Boulon G. // J. Phys. France. 1990. V. 51. P. 1655. https://doi.org/10.1051/jphys:0199000510150165500
- McCumber D.E., Sturge M.D. // J. Appl. Phys. 1963. V. 34. P. 1682. https://doi.org/10.1063/1.1702657
- Jansen T., Jüstel T., Kirm M. et al. // J. Lumin. 2018. V. 198. P. 314. https://doi.org/10.1016/j.jlumin.2018.02.054
- Pott G.T., McNicol B.D. // J. Solid State Chem. 1973. V. 7. P. 132. https://doi.org/10.1016/0022-4596(73)90145-X
- Abritta T., Melamed N.T., Maria Neto J., De Souza Barros F. // J. Lumin. 1979. V. 18–19. P. 179. https://doi.org/10.1016/0022-2313(79)90098-X
- Henderson B., Imbush G.F. Optical Spectroscopy of Inorganic Solids. Oxford: Clarendon Press, 1989.
- Shang L., Liu M., Duan C.K. // J. Phys. Chem. Lett. 2022. V. 13. № 45. P. 10635. https://doi.org/10.1021/acs.jpclett.2c02835
- Quérel G., Reynard B. // Geophys. Res. Lett. 1998. V. 25. № 2. P. 195. https://doi.org/10.1029/97GL03614
- Brik M.G., Camardello S.J., Srivastava A.M. // ECS J. Solid State Sci. Technol. 2015. V. 4. № 3. P. R39. https://doi.org/10.1149/2.0031503jss
- Feofilov S.P., Kulinkin A.B., Rodnyi P.A. et al. // J. Lumin. 2018. V. 200. P. 196. https://doi.org/10.1016/j.jlumin.2018.04.017
- Senden T., van Dijk-Moes R.J.A., Meijerink A. // Light Sci. Appl. 2018. V. 7. P. 8. https://doi.org/10.1038/s41377-018-0013-1
Supplementary files













