Thermal Transformations of Porous Anodic Aluminum Oxide Formed in Sulfuric Acid/Oxalic Acid Mixed Electrolytes
- Authors: Roslyakov I.V.1,2, Kolesnik I.V.2, Belokozenko M.A.2, Yapryntsev A.D.1, Napolskii K.S.2
-
Affiliations:
- Kurnakov Institute of General and Inorganic Chemistry, Russian Academy of Sciences
- Lomonosov Moscow State University
- Issue: Vol 68, No 7 (2023)
- Pages: 988-996
- Section: НЕОРГАНИЧЕСКИЕ МАТЕРИАЛЫ И НАНОМАТЕРИАЛЫ
- URL: https://journals.rcsi.science/0044-457X/article/view/136380
- DOI: https://doi.org/10.31857/S0044457X22602061
- EDN: https://elibrary.ru/RHMFAB
- ID: 136380
Cite item
Full Text
Abstract
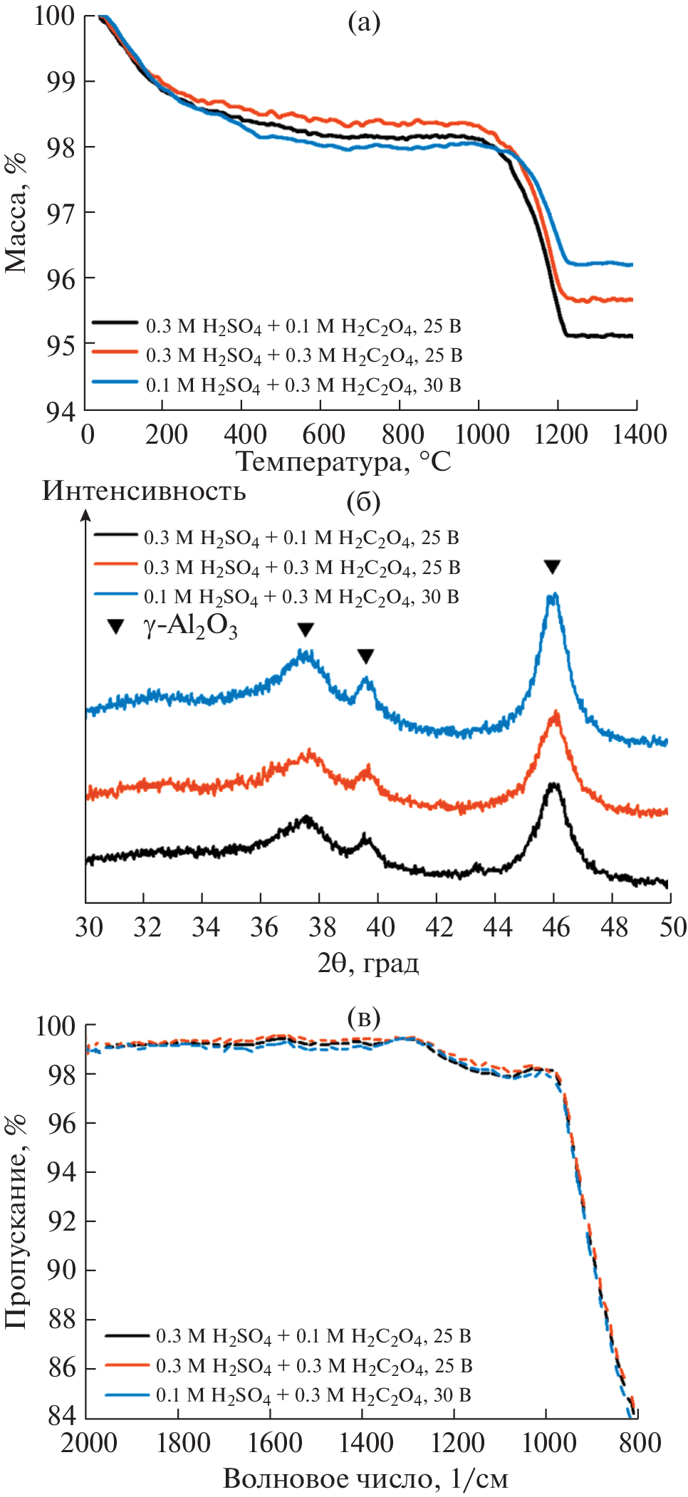
Aluminum anodizing in electrolytes comprising mixtures of several acids opens way to manufacture porous films of anodic aluminum oxide (AAO) with a widely tunable structure period. Study of thermal transformations in AAO films produced in mixed electrolytes is a separate task, as a complex chemical composition of the material can give rise to some specifics in subsequent annealing. Impurity oxalate and sulfate ions were detected in the AAO produced by aluminum anodizing in sulfuric acid/oxalic acid mixed electrolytes. The sulfate weight fraction appears about one order of magnitude higher than the oxalate weight fraction, and it increases as the concentration ratio of sulfuric acid to oxalic acid in the electrolyte increases. In the same way, the crystallization temperature of amorphous AAO to a mixture of low-temperature Al2O3 polymorphs increases in response to increasing concentration ratio of sulfuric acid and oxalic acid. Thus, the component ratio in the mixed electrolyte used influences the composition and thermal transformations of AAO.
Keywords
About the authors
I. V. Roslyakov
Kurnakov Institute of General and Inorganic Chemistry, Russian Academy of Sciences; Lomonosov Moscow State University
Email: ilya.roslyakov@gmail.com
119991, Moscow, Russia; 119991, Moscow, Russia
I. V. Kolesnik
Lomonosov Moscow State University
Email: ilya.roslyakov@gmail.com
119991, Moscow, Russia
M. A. Belokozenko
Lomonosov Moscow State University
Email: ilya.roslyakov@gmail.com
119991, Moscow, Russia
A. D. Yapryntsev
Kurnakov Institute of General and Inorganic Chemistry, Russian Academy of Sciences
Email: ilya.roslyakov@gmail.com
119991, Moscow, Russia
K. S. Napolskii
Lomonosov Moscow State University
Author for correspondence.
Email: ilya.roslyakov@gmail.com
119991, Moscow, Russia
References
- Domagalski J.T., Xifre-Perez E., Marsal L.F. // Nanomaterials. 2021. V. 11. P. 430. https://doi.org/10.3390/nano11020430
- Petukhov D.I., Chernova E.A., Kapitanova O.O. et al. // J. Membr. Sci. 2019. V. 577. P. 184. https://doi.org/10.1016/j.memsci.2019.01.041
- Roslyakov I.V., Petukhov D.I., Napolskii K.S. // Nanotechnology. 2021. V. 32. P. 33LT01. https://doi.org/10.1088/1361-6528/abfeea
- Petukhov D.I., Kan A.S., Chumakov A.P. et al. // J. Membr. Sci. 2021. V. 621. P. 118994. https://doi.org/10.1016/j.memsci.2020.118994
- Valeev R., Romanov E., Beltukov A. et al. // Phys. Status Solidi C. 2012. V. 9. P. 1462. https://doi.org/10.1002/pssc.201100677
- Gordeeva E.O., Roslyakov I.V., Leontiev A.P. et al. // Beilstein J. Nanotechnology. 2021. V. 12. P. 957. 10.3762/bjnano.12.72' target='_blank'>https://doi.org/doi: 10.3762/bjnano.12.72
- Ryzhkov I.I., Kharchenko I.A., Mikhlina E.V. et al. // Int. J. Heat Mass Transfer. 2021. V. 176. P. 121414. https://doi.org/10.1016/j.ijheatmasstransfer.2021.121414
- Lee Y.H., Chang I., Cho G.Y. et al. // Int. J. Precision Engineering Manufacturing-Green Technology. 2018. V. 5. P. 441. https://doi.org/10.1007/s40684-018-0047-0
- Roslyakov I.V., Kolesnik I.V., Evdokimov P.V. et al. // Sens. Actuators, B. 2021. V. 330. P. 129307. https://doi.org/10.1016/j.snb.2020.129307
- Kalinin I.A., Roslyakov I.V., Tsymbarenko D.M. et al. // Sens. Actuators, A. 2021. V. 317. P. 112457. https://doi.org/10.1016/j.sna.2020.112457
- Santos A. // J. Mater. Chem. C 2017. V. 5. P. 5581. https://doi.org/10.1039/C6TC05555A
- Szwachta G., Bialek E., Wlodarski M. et al. // Nanotechnology. 2022. V. 33. P. 455707. https://doi.org/10.1088/1361-6528/ac83ca
- Sadykov A.I., Kushnir S.E., Roslyakov I.V. et al. // Electrochem. Commun. 2019. V. 100. P. 104. https://doi.org/10.1016/j.elecom.2019.01.027
- Roslyakov I.V., Gordeeva E.O., Napolskii K.S. // Electrochim. Acta. 2017. V. 241. P. 362. https://doi.org/10.1016/j.electacta.2017.04.140
- Gordeeva E.O., Roslyakov I.V., Napolskii K.S. // Electrochim. Acta. 2019. V. 307. P. 13. https://doi.org/10.1016/j.electacta.2019.03.098
- Petukhov D.I., Napolskii K.S., Berekchiyan M.V. et al. // ACS Appl. Mater. Interfaces. 2013. V. 5. P. 7819. https://doi.org/10.1021/am401585q
- Noyan A.A., Leontiev A.P., Yakovlev M.V. et al. // Electrochim. Acta. 2017. V. 226. P. 60. https://doi.org/10.1016/j.electacta.2016.12.142
- Masuda H., Hasegwa F., Ono S. // J. Electrochem. Soc. 1997. V. 144. P. L127. https://doi.org/10.1149/1.1837634
- Masuda H., Fukuda K. // Science. 1995. V. 268. P. 1466. https://doi.org/10.1126/science.268.5216.1466
- Nishinaga O., Kikuchi T., Natsui S. et al. // Sci. Rep. 2013. V. 3. P. 2748. https://doi.org/10.1038/srep02748
- Akiya S., Kikuchi T., Natsui S. et al. // Electrochim. Acta. 2016. V. 190. P. 471. https://doi.org/10.1016/j.electacta.2015.12.162
- Masuda H., Yada K., Osaka A. // Jpn. J. Appl. Phys. Lett. 1998. V. 37. P. L1340. https://doi.org/10.1143/JJAP.37.L1340
- Almasi Kashi M., Ramazani A., Noormohammadi M. et al. // J. Phys. D: Appl. Phys. 2007. V. 40. P. 7032. https://doi.org/10.1088/0022-3727/40/22/025
- Almasi Kashi M., Ramazani A., Mayamai Y. et al. // Jpn. J. Appl. Phys. 2010. V. 49. P. 015202–1. https://doi.org/10.1143/JJAP.49.015202
- Xu Y.F., Liu H., Li X.J. et al. // Mater. Lett. 2015. V. 151. P. 79. https://doi.org/10.1016/j.matlet.2015.03.049
- Mardilovich P.P., Govyadinoy A.N., Mazurenko N.I. et al. // J. Membr. Sci. 1995. V. 98. P. 143. https://doi.org/10.1016/0376-7388(94)00185-2
- Ширин Н.А., Росляков И.В., Берекчиян М.В. и др. // Журн. неорган. химии. 2013. Т. 67. № 6. С. 868.
- Lee Y.H., Ren H., Wu E.A. et al. // Nano Lett. 2020. V. 20. P. 2943. https://doi.org/10.1021/acs.nanolett.9b02344
- Kousar R., Kim S.H., Byun J.Y. // J. King Saud University - Engineer. Sci. 2021.https://doi.org/10.1016/j.jksues.2021.09.003
- Гордеева Е.О., Росляков И.В., Садыков А.И. и др. // Электрохимия. 2018. Т. 54. № 11. С. 999.
- Schneider C.A., Rasband W.S., Eliceiri K.W. // Nat. Methods. 2012. V. 9. P. 671. https://doi.org/10.1038/nmeth.2089
- Программы для анализа упорядочения пор в анодном оксиде алюминия. http://www.eng.fnm.msu.ru/software/
- Lee W., Park S.J. // Chem. Rev. 2014. V. 114. P. 7487. https://doi.org/10.1021/cr500002z
- Parkhutik V.P. // J. Phys. D: Appl. Phys. 1992. V. 25. P. 1258. https://doi.org/10.1088/0022-3727/25/8/017
- Kim M., Kim H., Bae C. et al. // J. Phys. Chem. C. 2014. V. 118. P. 26789. https://doi.org/10.1021/jp507576c
- Накамото К. ИК-спектры и спектры КР неорганических и координационных соединений / Пер. с англ. под ред. Пентина Ю.А. М.: Мир, 1991.
- Vrublevsky I., Chernyakova K., Ispas A. et al. // J. Lumin. 2011. V. 131. P. 938. https://doi.org/10.1016/j.jlumin.2010.12.027
- Mata-Zamora M.E., Saniger J.M. // Revista Mexicana de Fisica. 2005. V. 51. P. 502.
- Roslyakov I.V., Kolesnik I.V., Levin E.E. et al. // Surf. Coat. Technol. 2020. V. 381. P. 125159. https://doi.org/10.1016/j.surfcoat.2019.125159
- Roslyakov I.V., Shirin N.A., Berekchiian M.V. et al. // Microporous Mesoporous Mater. 2020. V. 294. P. 109840. https://doi.org/10.1016/j.micromeso.2019.109840
- Lide D.R. CRC Handbook of Chemistry and Physics, 84th ed. CRC Press (2003).
- Mardilovich P.P., Govyadinov A.N., Mukhurov N.I. et al. // J. Membr. Sci. 1995. V. 98. P. 131. https://doi.org/10.1016/0376-7388(94)00184-Z
Supplementary files







