Extraction of Actinides and Lanthanides(III) from Nitric Acid Solutions with Mixtures of N-(Diphenylphosphoryl)-N'-propylureas with ω-Nitrogen-Containing Groups and Dinonylnaphthalenesulfonic Acid
- Authors: Turanov A.N.1, Karandashev V.K.2, Baulina T.V.3, Goryunov E.I.3, Brel V.K.3
-
Affiliations:
- Osipyan Institute of Solid-State Physics, Russian Academy of Sciences
- Institute of Microelectronics Technology and High Purity Materials, Russian Academy of Sciences
- Nesmeyanov Institute of Organoelement Compounds, Russian Academy of Sciences
- Issue: Vol 68, No 5 (2023)
- Pages: 658-663
- Section: ФИЗИКОХИМИЯ РАСТВОРОВ
- URL: https://journals.rcsi.science/0044-457X/article/view/136365
- DOI: https://doi.org/10.31857/S0044457X22601900
- EDN: https://elibrary.ru/SMRQXL
- ID: 136365
Cite item
Full Text
Abstract
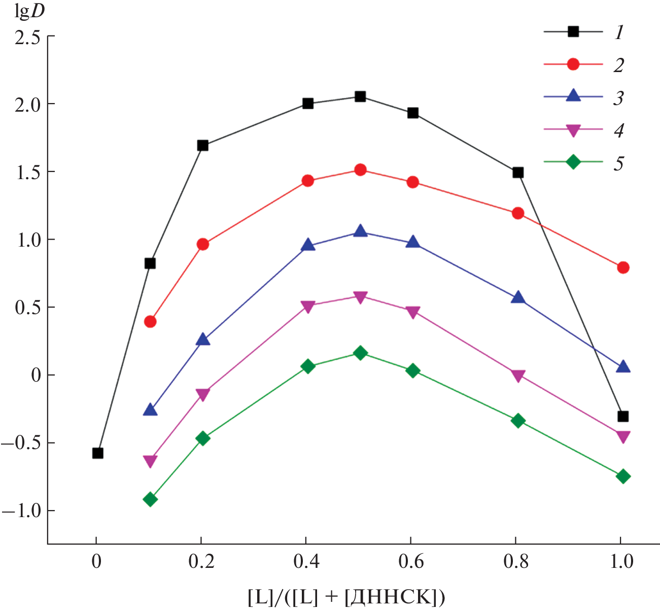
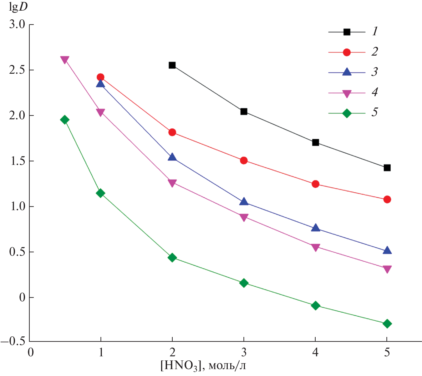
Extraction of uranium, thorium, and lanthanide(III) ions from nitric acid solutions with mixtures of dinonylnaphthalenesulfonic acid and N-(diphenylphosphoryl)-N'-n-propylureas containing imidazolyl, diethylamino, pyrid-2-yl, and 2-oxopyrrolidine fragments has been studied in organic solvents. Considerable synergetic effect on extraction of metal ions with mixtures of dinonylnaphthalenesulfonic acid and N-(diphenylphosphoryl)-N'-[3-(2-oxopyrrolidino)propyl]urea has been revealed. Stoichiometry of extracted complexes has been determined. Effect of extractant strucuture, organic diluent nature, and HNO3 content in aqueous phase on extraction efficiency of metal cations into organic medium has been accessed.
Keywords
About the authors
A. N. Turanov
Osipyan Institute of Solid-State Physics, Russian Academy of Sciences
Email: v_brel@mail.ru
142432, Chernogolovka, Moscow oblast, Russia
V. K. Karandashev
Institute of Microelectronics Technology and High Purity Materials, Russian Academy of Sciences
Email: v_brel@mail.ru
142432, Chernogolovka, Moscow oblast, Russia
T. V. Baulina
Nesmeyanov Institute of Organoelement Compounds, Russian Academy of Sciences
Email: v_brel@mail.ru
119991, Moscow, Russia
E. I. Goryunov
Nesmeyanov Institute of Organoelement Compounds, Russian Academy of Sciences
Email: v_brel@mail.ru
119991, Moscow, Russia
V. K. Brel
Nesmeyanov Institute of Organoelement Compounds, Russian Academy of Sciences
Author for correspondence.
Email: v_brel@mail.ru
119991, Moscow, Russia
References
- Myasoedov B.F., Kalmykov S.N., Kulyako Yu.M. et al. // Geochem. Int. 2016. V. 54. № 13. P. 1156. https://doi.org/10.1134/S0016702916130115
- Аляпишев М.Ю., Бабаин В.А., Устынюк Ю.А. // Успехи химии. 2016. Т. 85. № 9. С. 943.
- Leoncini A., Huskens J., Verboom W. // Chem. Soc. Rev. 2017. V. 46. № 23. P. 7229. https://doi.org/10.1039/C7CS00574A
- Wilson A.M., Bailey P.J., Tasker P.A. et al. // Chem. Soc. Rev. 2014. V. 43. № 1. P. 123. https://doi.org/10.1039/C3CS60275C
- Werner E.J., Biros S.M. // Org. Chem. Front. 2019. V. 6. № 12. P. 2067. https://doi.org/10.1039/c9qo00242a
- Bhattacharyya A., Mohapatra P.K. // Radiochim. Acta. 2019. V. 107. № 9–11. P. 931. https://doi.org/10.1515/ract-2018-3064
- Розен А.М., Крупнов Б.В. // Успехи химии. 1996. Т. 65. № 11. С. 1052
- Myasoedov B.F., Chmutova M.K., Kochetkova N.E. et al. // Solv. Extr. Ion Exch. 1986. V. 4. № 1. P. 61. https://doi.org/10.1080/07366298608917853
- Horwitz E.P., Martin K.A., Diamond H. et al. // Solv. Extr. Ion Exch. 1986. V. 4. № 3. P. 449. https://doi.org/10.1080/07366298608917877
- Чмутова М.К., Литвина М.Н., Прибылова Г.А. и др. // Радиохимия. 1999. Т. 41. № 4. С. 331.
- Тананаев И.Г., Летюшов А.А., Сафиуллина А.М. и др. // Докл. АН. 2008. Т. 422. № 6. С. 762.
- Safiulina A.M., Goryunov E.I., Letyushov A.A. et al. // Mendeleev Commun. 2009. V. 19. P. 263. https://doi.org/10.1016/j.mencom.2009.09.010
- Сафиулина А.М., Лизунов А.В., Семенов А.А. и др. // Аналитика. 2022. Т. 12. № 2. С. 114. https://doi.org/10.22184/2227-572X.2022.12.2.114.128
- Сафиулина А.М., Лизунов А.В., Борисова Н.А. и др. // Журн. неорган. химии. 2021. Т. 66. № 5. С. 631.
- Туранов А.Н., Карандашев В.К., Артюшин О.И. и др. // Журн. неорган. химии. 2020. Т. 65. № 8. С. 1099.
- Danesi P.R., Chiarizia R., Scibona G. // J. Inorg. Nucl. Chem. 1973. V. 35. № 11. P. 3926. https://doi.org/10.1016/0022-1902(73)80089-2
- Belova V.V., Martynova M.M., Tsareva Yu.V. et al. // J. Mol. Liq. 2019. V. 293. 111568. https://doi.org/10.1016/j.molliq.2019.111568
- Белова В.В. // Радиохимия. 2021. Т. 63. № 1. С. 3.
- Литвина М.Н., Чмутова М.К., Мясоедов Б.Ф. и др. // Радиохимия. 1996. Т. 38. № 6. С. 525.
- Шадрин А.Ю., Бабаин В.А., Киселева Р.Н. // Радиохимия. 1993. Т. 35. № 1. С. 45.
Supplementary files







