Sinthesis and Properties of Hard Carbon Materials Made of Molybdenum-Doped Viscose Fiber for Negative Electrodes of Sodium-Ion Batteries
- Authors: Zheleznov V.V.1, Saenko N.S.1, Maiorov V.Y.1, Ustinov A.Y.1, Sokol’nitskaya T.A.1, Kuryavyi V.G.1, Shlik D.K.1, Sokolov A.A.1, Opra D.P.1
-
Affiliations:
- Institute of Chemistry, Far Eastern Branch, Russian Academy of Sciences
- Issue: Vol 68, No 3 (2023)
- Pages: 373-382
- Section: НЕОРГАНИЧЕСКИЕ МАТЕРИАЛЫ И НАНОМАТЕРИАЛЫ
- URL: https://journals.rcsi.science/0044-457X/article/view/136341
- DOI: https://doi.org/10.31857/S0044457X22600931
- EDN: https://elibrary.ru/JBIXIM
- ID: 136341
Cite item
Full Text
Abstract
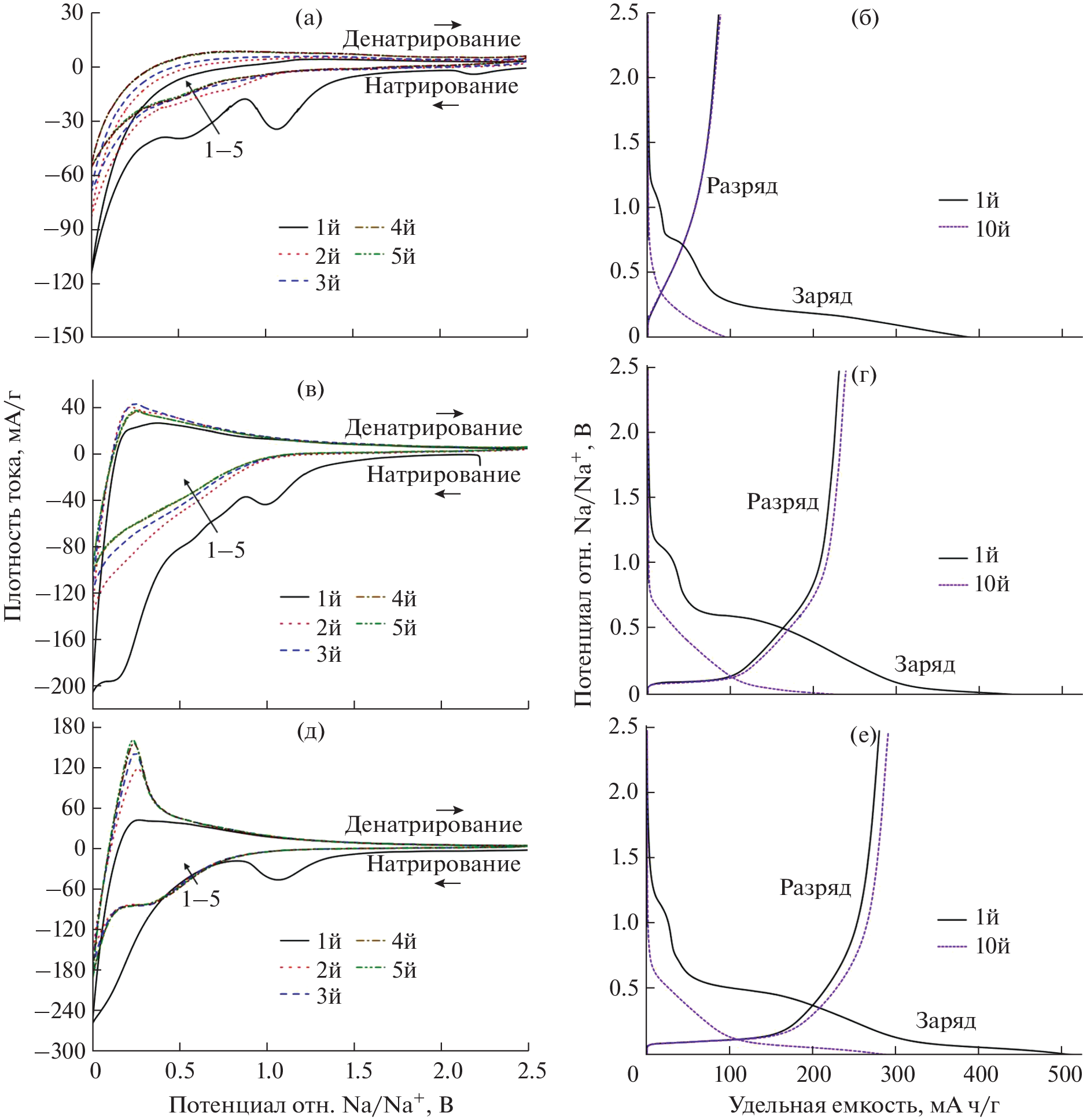
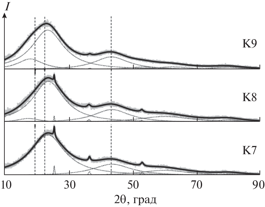
Herein, a method for the preparation of hard carbon via carbonization of chemically modified (molybdenum-doped) commercially available viscose fiber was developed. The effects of a molybdenum dopant on carbonization conditions were studied. The carbonization products retained the fibrous structure and flexibility. The structural features of the synthesized hard carbon materials were investigated, and their relationships to the carbonization temperature and the amount of the molybdenum dopant were analyzed. The texture of materials was studied, and correlations between the specific surface area and porosity, on the one hand, and the synthesis conditions, on the other, were discovered. The usefulness of the products as anode materials for sodium-ion batteries was evaluated. The electrochemical tests, together the extant relevant data, indicate that molybdenum induces the structural rearrangement of the carbon framework upon annealing, accompanied by the growth and ordering of graphite-like nanoclusters. The material prepared at 1050°C exhibited the best electrochemical performances among the synthesized products and the stable cyclability with a capacity of 290 (mA h)/g at a current density of 25 mA/g.
Keywords
About the authors
V. V. Zheleznov
Institute of Chemistry, Far Eastern Branch, Russian Academy of Sciences
Email: ttt@ich.dvo.ru
690022, Vladivostok, Russia
N. S. Saenko
Institute of Chemistry, Far Eastern Branch, Russian Academy of Sciences
Email: ttt@ich.dvo.ru
690022, Vladivostok, Russia
V. Yu. Maiorov
Institute of Chemistry, Far Eastern Branch, Russian Academy of Sciences
Email: ttt@ich.dvo.ru
690022, Vladivostok, Russia
A. Yu. Ustinov
Institute of Chemistry, Far Eastern Branch, Russian Academy of Sciences
Email: ttt@ich.dvo.ru
690022, Vladivostok, Russia
T. A. Sokol’nitskaya
Institute of Chemistry, Far Eastern Branch, Russian Academy of Sciences
Email: ttt@ich.dvo.ru
690022, Vladivostok, Russia
V. G. Kuryavyi
Institute of Chemistry, Far Eastern Branch, Russian Academy of Sciences
Email: ttt@ich.dvo.ru
690022, Vladivostok, Russia
D. Kh. Shlik
Institute of Chemistry, Far Eastern Branch, Russian Academy of Sciences
Email: ttt@ich.dvo.ru
690022, Vladivostok, Russia
A. A. Sokolov
Institute of Chemistry, Far Eastern Branch, Russian Academy of Sciences
Email: ttt@ich.dvo.ru
690022, Vladivostok, Russia
D. P. Opra
Institute of Chemistry, Far Eastern Branch, Russian Academy of Sciences
Author for correspondence.
Email: ttt@ich.dvo.ru
690022, Vladivostok, Russia
References
- Xie F., Xu Z., Guo Z. et al. // Prog. Energy. 2020. V. 2. № 4. P. 042002. https://doi.org/10.1088/2516-1083/aba5f5
- Ma J., Li Y., Grundish N.S. et al. // J. Phys. D: Appl. Phys. 2021. V. 54. № 18. P. 183001. https://doi.org/10.1088/1361-6463/abd353
- Xu G., Amine R., Abouimrane A. et al. // Adv. Energy Mater. 2018. V. 8. № 14. P. 1702403. https://doi.org/10.1002/aenm.201702403
- Mukherjee S., Bin Mujib S., Soares D. et al. // Materials (Basel). 2019. V. 12. P. 1952. https://doi.org/10.3390/ma12121952
- Yu P., Tang W., Wu F.-F. et al. // Rare Met. 2020. V. 39. № 9. P. 1019. https://doi.org/10.1007/s12598-020-01443-z
- Simone V., Boulineau A., de Geyer A. et al. // J. Energy Chem. 2016. V. 25. № 5. P. 761. https://doi.org/10.1016/j.jechem.2016.04.016
- Li Y., Hu Y.-S., Titirici M.-M. et al. // Adv. Energy Mater. 2016. V. 6. № 18. P. 1600659. https://doi.org/10.1002/aenm.201600659
- Yamamoto H., Muratsubaki S., Kubota K. et al. // J. Mater. Chem. A. 2018. V. 6. № 35. P. 16844. https://doi.org/10.1039/C8TA05203D
- Hou H., Qiu X., Wei W. et al. // Adv. Energy Mater. 2017. V. 7. № 24. P. 1602898. https://doi.org/10.1002/aenm.201602898
- Wang W., Li W., Wang S. et al. // J. Mater. Chem. A. 2018. V. 6. № 15. P. 6183. https://doi.org/10.1039/c7ta10823k
- Zhu Z., Liang F., Zhou Z. et al. // J. Mater. Chem. A. 2018. V. 6. № 4. P. 1513. https://doi.org/10.1039/C7TA07951F
- Zhang H., Huang Y., Ming H. et al. // J. Mater. Chem. A. 2020. V. 8. № 4. P. 1604. https://doi.org/10.1039/C9TA09984K
- Шандаков С.Д., Вершинина А.И., Ломакин М.В. и др. // Вестн. Кемеровского гос. ун-та. 2015. Т. 2. № 5. С. 127.
- Ге Ч., Фан Ж., Шен Л. и др. // Электрохимия. 2019. Т. 55. № 10. С. 1236. https://doi.org/10.1134/S0424857019080061
- Сморгонская Э.А., Звонарева Т.К., Иванова Е.И. и др. // Физика твердого тела. 2003. Т. 45. № 9. С. 1579.
- Li Y., Ni B., Li X. et al. // Nano-Micro Lett. 2019. V. 11. № 1. P. 60. https://doi.org/10.1007/s40820-019-0291-z
- Xu D., Chen C., Xie J. et al. // Adv. Energy Mater. 2016. V. 6. № 6. P. 1501929. https://doi.org/10.1002/aenm.201501929
- Li Z., Bommier C., Chong Z. Sen et al. // Adv. Energy Mater. 2017. V. 7. № 18. P. 1602894. https://doi.org/10.1002/aenm.201602894
- Zhu C., Mu X., van Aken P.A. et al. // Angew. Chem. 2014. V. 126. № 8. P. 2184. https://doi.org/10.1002/ange.201308354
- David L., Bhandavat R., Singh G. // ACS Nano. 2014. V. 8. № 2. P. 1759. https://doi.org/10.1021/nn406156b
- Zeng L., Zhang L., Liu X. et al. // Polymers (Basel). 2020. V. 12. № 9. P. 2134. https://doi.org/10.3390/polym12092134
- Xie X., Makaryan T., Zhao M. et al. // Adv. Energy Mater. 2016. V. 6. № 5. P. 1. https://doi.org/10.1002/aenm.201502161
- Литвинская В.В., Хохлова Г.П., Кряжев Ю.Г. // Химия твердого топлива. 2003. Т. 2. С. 51.
- Sisu C., Iordanescu R., Stanciu V. et al. // Dig. J. Nanomater. Biostructures. 2016. V. 11. № 2. P. 435.
- Saenko N.S., Ziatdinov A.M. // Mater. Today Proc. 2018. V. 5. № 12. P. 26052. https://doi.org/10.1016/j.matpr.2018.08.028
- Thommes M., Kohn R., Fruba M. // J. Phys. Chem. B. 2000. V. 104. № 33. P. 7932. https://doi.org/10.1021/jp994133m
- Jagiello J., Thommes M. // Carbon. 2004. V. 42. № 7. P. 1227. https://doi.org/10.1016/j.carbon.2004.01.022
- Thommes M., Kaneko K., Neimark A.V. et al. // Pure Appl. Chem. 2015. V. 87. № 9–10. P. 1051. https://doi.org/10.1515/pac-2014-1117
- Fujimoto H., Shiraishi M. // Carbon. 2001. V. 39. P. 1753. https://doi.org/10.1016/S0008-6223(00)00308-0
- Fujimoto H. // Carbon. 2003. V. 41. P. 1585. https://doi.org/10.1016/S0008-6223(03)00116
- Boruah R.K., Saikia B.K., Baruah B.P. et al. // J. Appl. Crystallogr. 2008. V. 41. № 1. P. 27. https://doi.org/10.1107/S0021889807049655
- Biennier L., Georges R., Chandrasekaran V. et al. // Carbon. 2009. V. 47. № 14. P. 3295. https://doi.org/10.1016/j.carbon.2009.07.050
- Biscoe J., Warren B.E. // J. Appl. Phys. 1942. V. 13. № 6. P. 364. https://doi.org/10.1063/1.1714879
- Oberlin A., Bonnamy S., Oshida K. // Tanso. 2006. V. 224. P. 281.
- Ziatdinov A.M., Saenko N.S., Skrylnik P.G. // Russ. J. Inorg. Chem. 2020. V. 65. № 1. P. 133. https://doi.org/10.1134/S0036023620010210
- Dresselhaus M.S., Dresselhaus G. // Adv. Phys. 1981. V. 30. № 2. P. 139. https://doi.org/10.1080/00018738100101367
- Xu K., Pan Q., Zheng F. et al. // Front. Chem. 2019. V. 7. P. 733. https://doi.org/10.3389/fchem.2019.00733
- Bobyleva Z.V., Drozhzhin O.A., Dosaev K.A. et al. // Electrochim. Acta. 2020. V. 354. P. 136647. https://doi.org/10.1016/j.electacta.2020.136647
- Zhao J., Zhao L., Chihara K. et al. // J. Power Sources. 2013. V. 244. P. 752. https://doi.org/10.1016/j.jpowsour.2013.06.109
- Li Y., Zhang L., Wang X. et al. // Research. 2019. № 1. P. 1. https://doi.org/10.34133/2019/6930294
- Han J., Johnson I., Lu Z. et al. // Nano Lett. 2021. V. 21. № 15. P. 6504. https://doi.org/10.1021/acs.nanolett.1c01595
- Yu P., Zhang W., Yang Y. et al. // J. Colloid Interface Sci. 2021. V. 582. P. 852. https://doi.org/10.1016/j.jcis.2020.08.063
Supplementary files







