Influence of Formation Conditions on Physicochemical Properties of CsxV2O5·nH2O
- Authors: Podval’naya N.V.1, Zakharova G.S.1
-
Affiliations:
- Institute of Solid State Chemistry, Ural Branch, Russian Academy of Sciences
- Issue: Vol 68, No 3 (2023)
- Pages: 300-309
- Section: СИНТЕЗ И СВОЙСТВА НЕОРГАНИЧЕСКИХ СОЕДИНЕНИЙ
- URL: https://journals.rcsi.science/0044-457X/article/view/136323
- DOI: https://doi.org/10.31857/S0044457X22601389
- EDN: https://elibrary.ru/JCUAQO
- ID: 136323
Cite item
Full Text
Abstract
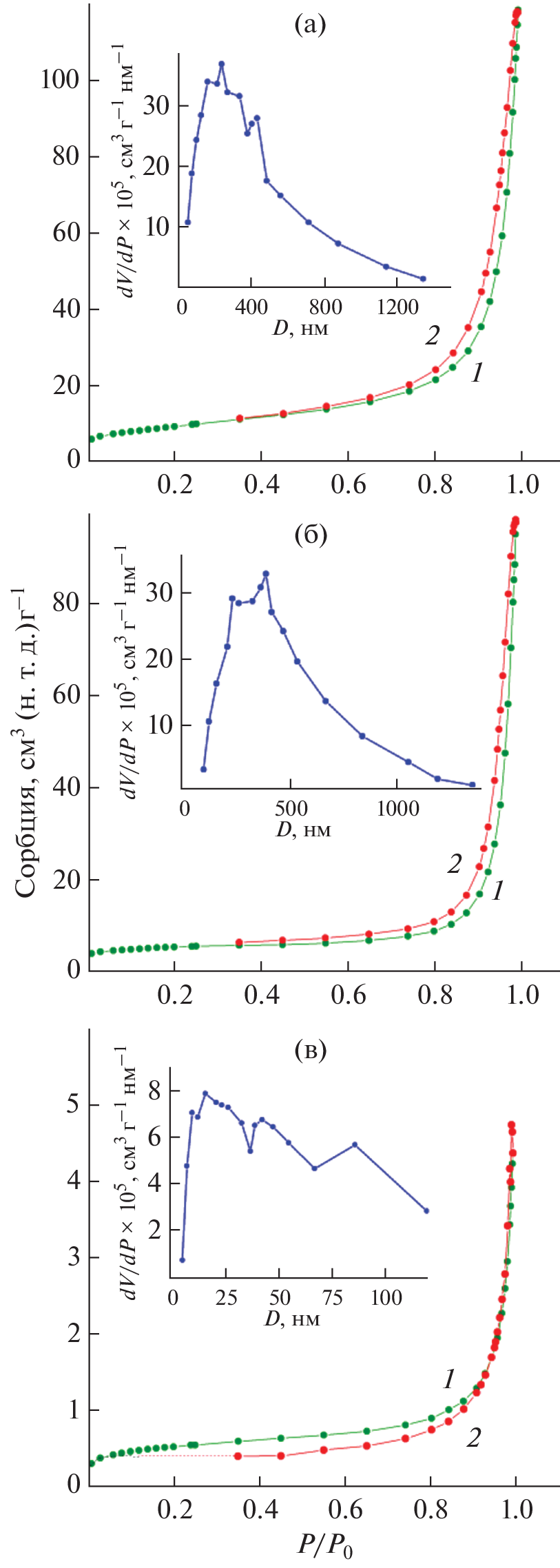
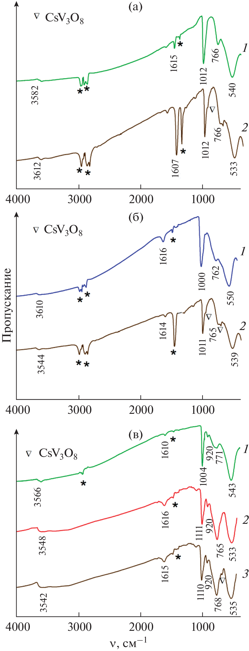
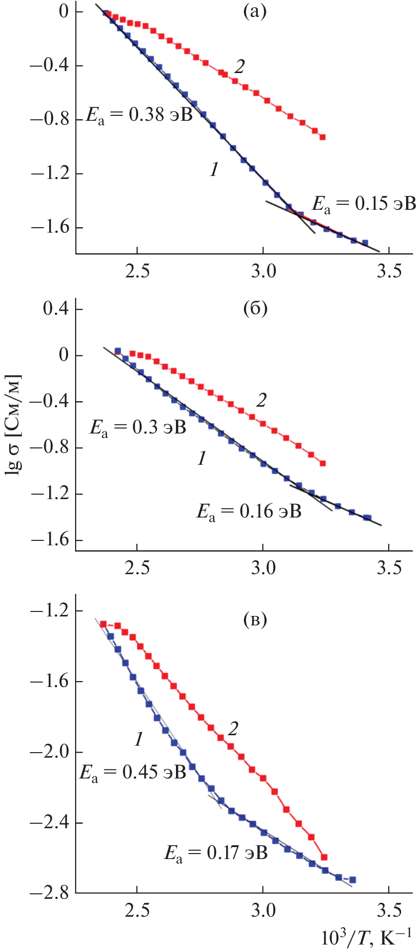
Cesium-containing compounds of hydrated vanadium(V) oxide of general formula СsxV2O5·nH2O, where 0.1 ≤ x ≤ 0.6 and 0.8 ≤ n ≤ 1.2, were prepared by hydrothermal, hydrolytic, and sol–gel processes. The preparation conditions were found to determine the intercalated cation (Cs+) homogeneity range and the vanadium(IV) percentage in the samples. The prepared compounds were characterized by a set of physicochemical methods, namely, IR spectroscopy, X-ray powder diffraction, thermogravimetric analysis, scanning electron microscopy, and low-temperature nitrogen adsorption. The СsxV2O5·nH2O compounds prepared by the hydrolytic and hydrothermal methods had the highest specific surface area, equal to 34.0 and 16.5 m2/g, respectively. The temperature-dependent electrical conductivities of СsxV2O5·nH2O samples were measured to estimate the activation energy of conduction in compounds having various vanadium(IV) percentages. It is only in the high-temperature range that the activation energy of conduction depended on the V4+ percentage in the sample; the least value was found in the hydrothermally prepared Сs0.6V2O5·H2O samples.
About the authors
N. V. Podval’naya
Institute of Solid State Chemistry, Ural Branch, Russian Academy of Sciences
Email: podnat@inbox.ru
620990, Yekaterinburg, Russia
G. S. Zakharova
Institute of Solid State Chemistry, Ural Branch, Russian Academy of Sciences
Author for correspondence.
Email: podnat@inbox.ru
620990, Yekaterinburg, Russia
References
- Livage J. // Solid State Ionics. 1996. V. 86–88. № 2. P. 935. https://doi.org/10.1016/0167-2738(96)00336-0
- Clites M., Hart J.L., Taheri M.L. et al. // ACS Energy Lett. 2018. V. 3. № 3. P. 562. https://doi.org/10.1021/acsenergylett.7b01278
- El-Desoky M.M., Al-Assiri M.S., Bahgat A.A. // J. Phys. Chem. Solids. 2014. V. 75. P. 992. https://doi.org/10.1016/j.jpcs.2014.04.003
- Grigorieva A., Badalyan S., Goodilin E. et al. // Eur. J. Inorg. Chem. 2010. V. 210. № 33. P. 5247. https://doi.org/10.1002/ejic. 201000372
- Захарова Г.С., Денисова Т.А., Волков В.Л. и др. // Журн. неорган. химии. 1988. Т. 33. № 6. С. 1444.
- Волков В.Л., Захарова Г.С., Бондаренка В.М. Ксерогели простых и сложных поливанадатов. Екатеринбург: Изд-во УрО РАН, 2001.
- Feng J., Xiong Z., Zhao L. et al. // J. Power Sources. 2018. V. 396. P. 230. https://doi.org/10.1016/j.jpowsour.2018.06.021
- Подвальная Н.В., Захарова Г.С. // Неорган. материалы. 2021. Т. 57. № 8. С. 838. https://doi.org/10.31857/S0002337X2108026116
- Yao T., Oka Y. // Solid State Ionics. 1997. V. 96. P. 127. https://doi.org/10.1016/S0167-2738(96)00623-6
- Yao T., Oka Y., Yamamoto N. // J. Mater. Chem. 1992. V. 2. № 3. P. 331. https://doi.org/10.1039/JM9920200331
- Shivastava O.P., Komarneni S.K., Malla P. // Mater. Res. Bull. 1991. V. 26. P. 357.
- Liu Y.-J., Cowen J.A., Kaplan T.A. et al. // Chem. Mater. 1995. V. 7. P. 1616. https://doi.org/10.1021/cm00057a007
- Волков В.Л., Захарова Г.С., Ивакин А.А. и др. // Журн. неорган. химии. 1987. Т. 32. № 10. С. 2427.
- Tian B., Tang W., Su C. et al. // Appl. Mater. Interfaces. 2018. V. 10. № 1. P. 642. https://doi.org/10.1021/acsami.7b15407
- Nakamoto K. Infrared and Raman Spectra of Inorganic and Coordination Compounds. Moscow: Mir, 1991.
- Волков В.Л., Захарова Г.С. // Журн. неорган. химии. 1988. Т. 33. № 6. С. 1580.
- Кристаллов Л.В., Корякова О.В., Переляева Л.А. и др. // Журн. неорган. химии. 1987. Т. 32. № 8. С. 1811.
- Livage J. // Coord. Chem. Rev. 1998. V. 178–180. № 2. P. 999. https://doi.org/10.1016/S0010-8545(98)00105-2
- Butler A., Clague M.J., Meister G.E. // Chem. Rev. 1994. V. 94. № 3. P. 625.
- Najdoski M., Koleva V., Samet A. // J. Phys. Chem. C. 2014. V. 118. P. 9636. https://doi 10.21./jp4127122
- Durupthy O., Steunou N., Coradin T. et al. // J. Mater. Chem. 2005. V. 15. P. 1090. https://doi.org/10/1039/b414893b
- Подвальная Н.В., Захарова Г.С. // Журн. неорган. химии. 2020. Т. 65. № 7. С. 880. https://doi.org/10.31857/S0044457X20070156
- Petkov V., Trikalitis P.N., Bozin E.S. et al. // J. Am. Chem. Soc. 2002. V. 124. № 34. P. 10157. https://doi.org/10.1021/ja026143y
- Patterson A.L. // Phys. Rev. 1939. V. 56. № 10. P. 978. https://doi.org/10.1103/PhysRev.56.978
- Chandrasekaran P., Viruthagiri G., Srinivasan N. // J. Alloys Compd. 2012. V. 540. P. 89. https://doi.org/10.1016/j.jallcom.2012.06.032
- Suwanboon S., Amornpitoksuk P., Randorn C. // Ceram. Int. 2019. V. 45. P. 2111. https://doi.org/10.1016/j.ceramint.2018.10.116
- Sing K.S.W., Everett D.H., Haul R.A.W. et al. // Pure Appl. Chem. 1985. V. 57. № 4. P. 603. https://doi.org/10.1351/pac198557040603
- Диаграммы состояния систем тугоплавких оксидов: Справочник. Вып. 5. Двойные системы. Л.: Наука, 1986. Ч. 2.
- Charbi N., Sanchez C., Livage J. et al. // Inorg. Chem. 1982. V. 21. № 10. P. 2758. https://doi.org/10.1021/ic00137a043
- Bahgat H.A., Mady A.S., Abdel Moghny A.S. et al. // J. Mater. Sci. 2011. V. 27. № 10. P. 865. https://doi.org/10.1016/S1005-0302(11)60157-6
- Bahgat A.A., Ibrahim E.A., El-Desoky M.M. // Thin Solid Films. 2005. V. 489. P. 68. https://doi.org/10.1016/j.tsf.2005.05.001
- El-Desoky M.M., Al-Assiri M.S., Bahgat A.A. // J. Alloys Compd. 2014. V. 590. P. 572. https://doi.org/10.1016/j.jallcom.2013.12.168
Supplementary files










