Synthesis and Investigation of Na1 – xR0.33xTiO2(PO4)3 (R = Y or La) Phosphates
- Authors: Sedov V.A.1, Glyadelova Y.B.1, Asabina E.A.1, Pet’kov V.I.1
-
Affiliations:
- Nizhny Novgorod State University
- Issue: Vol 68, No 3 (2023)
- Pages: 291-299
- Section: СИНТЕЗ И СВОЙСТВА НЕОРГАНИЧЕСКИХ СОЕДИНЕНИЙ
- URL: https://journals.rcsi.science/0044-457X/article/view/136322
- DOI: https://doi.org/10.31857/S0044457X22601602
- EDN: https://elibrary.ru/JDQNEF
- ID: 136322
Cite item
Full Text
Abstract
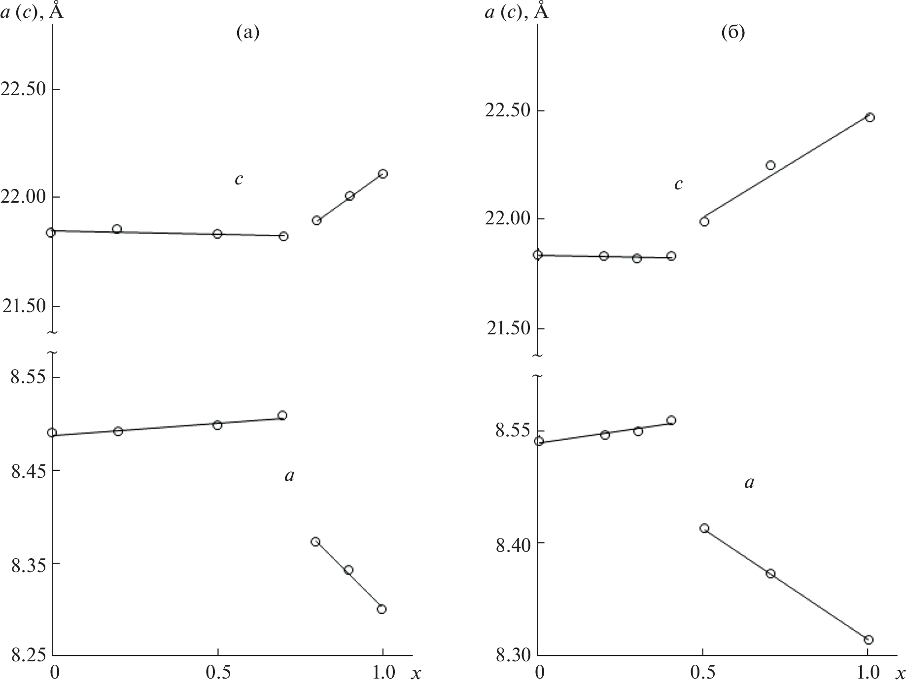
Phosphates Na1 – xR0.33xTi2(PO4)3 (R = Y or La; 0 ≤ х ≤ 1) were synthesized by the Pechini process and characterized by X-ray diffraction, electron microscopy with microprobe analysis, and IR spectroscopy. The systems exhibit isodimorphism to form a series of solid solutions belonging to the NaZr2(PO4)3 (NZP) structural type and crystallizing in space group R
c or R
The Rietveld structural studies confirmed the isomorphic miscibility of sodium and the rare-earth element in the interstices of the NZP structure. The unit cell parameter с in the phosphates studied tends to increase, and the parameter а tends to decrease, in response to rising temperature, which trends are typical of NZP phosphates.
Keywords
About the authors
V. A. Sedov
Nizhny Novgorod State University
Email: airbox200@gmail.com
603022, Nizhny Novgorod, Russia
Ya. B. Glyadelova
Nizhny Novgorod State University
Email: airbox200@gmail.com
603022, Nizhny Novgorod, Russia
E. A. Asabina
Nizhny Novgorod State University
Email: airbox200@gmail.com
603022, Nizhny Novgorod, Russia
V. I. Pet’kov
Nizhny Novgorod State University
Author for correspondence.
Email: airbox200@gmail.com
603022, Nizhny Novgorod, Russia
References
- Pet’kov V.I., Asabina E.A. // Glass Ceram. 2004. V. 61. № 7. P. 233. https://doi.org/10.1023/B:GLAC.0000048353.42467.0a
- Kimpa M.I., Mayzan M.Z.H., Yabagi J.A. et al. // IOP Conf. Series: Earth and Environmental Science. 2018. V. 140. P. 012156. https://doi.org/10.1088/1755-1315/140/1/012156
- Naqash S., Gerhards M.-Th., Tietz F. et al. // Batteries. 2018. V. 4. P. 33. https://doi.org/10.3390/batteries4030033
- Anantharamulu N., Koteswara Rao K., Rambabu G. et al. // J. Mater. Sci. 2011. V. 46. P. 2821. https://doi.org/10.1007/s10853-011-5302-5
- Куншина Г.Б., Бочарова И.В. // Физика и химия стекла. 2020. Т. 46. № 6. С. 615. https://doi.org/10.31857/S0132665120060141
- Курзина Е.А., Стенина И.А., Далви А. и др. // Неорган. материалы. 2021. Т. 57. № 10. С. 1094. https://doi.org/10.31857/S0002337X21100079
- Achary S.N., Bevara S., Tyagi A.K. // Coord. Chem. Rev. 2017. V. 340. P. 266. https://doi.org/10.1016/j.ccr.2017.03.006
- Стеблевская Н.И., Белобелецкая М.В., Устинов А.Ю. и др. // Журн. неорган. химии. 2019. Т. 64. № 2. С. 179. https://doi.org/10.1134/S0044457X19020211
- Kodaira C.A., Brito H.F., Malta O.L. et al. // J. Lumin. 2003. V. 101. P. 11.
- Lin M., Zhao Y. Wang S. et al. // Biotechnol. Adv. 2012. V. 30. P. 1551.
- He X., Huang J., Zhou. L. et al. // Cent. Eur. J. Phys. 2012. V. 10. P. 514. https://doi.org/10.2478/s11534-012-0014-2
- Kanunov A.E., Orlova A.I. // Rev. J. Chem. 2018. V. 8. P. 1. https://doi.org/10.1134/S207997801801003X
- Glorieux B., Jubera V., Orlova A.I. et al. // Inorg. Mater. 2013. V. 49. P. 82. https://doi.org/10.1134/S0020168513010032
- Hirayama M., Sonoyama N., Yamada A. et al. // J. Solid State Chem. 2009. V. 182. P. 730. https://doi.org/10.1016/j.jssc.2008.12.015
- Wang J., Zhang Z.-J. // J. Alloys Compd. 2016. V. 685. P. 841. https://doi.org/10.1016/j.jallcom.2016.06.224
- Швецов А.Е., Корытцева А.К. // Журн. общ. химии. 2015. Т. 85. № 3. С. 359.
- Слободяник Н.С., Нагорный П.Г., Корниенко З.И. и др. // Журн. неорган. химии. 1988. Т. 33. № 2. С. 443.
- Zatovsky I.V., Slobodyanik N.S., Stratiychuk D.A. et al. // Z. Naturforsch., B: Chem. Sci. 2000. V. 55. P. 291. https://doi.org/10.1515/znb-2000-3-411
- Bykov D.M., Gobechiya E.R., Kabalov Yu.K. et al. // J. Solid State Chem. 2006. V. 179. P. 3101. https://doi.org/10.1016/j.jssc.2006.06.002
- Barre M. These Présentée à L’Université du Maine pour obtenir le titre de docteur de L’Université du Maine. Mention Chimie de l’Etat Solide. 2007. 173 p.
- Barre M., Crosnier-Lopez M.P., Le Berre F. et al. // Chem. Mater. 2005. V. 17. P. 6605.
- Barre M., Le Berre F., Crosnier-Lopez M.P. et al. // Chem. Mater. 2006. V. 18. P. 5486.
- Kurazhkovskaya V.S., Bykov D.M., Borovikova E.Yu. et al. // Vibrat. Spectrosc. 2010. V. 52. P. 137.
- Kanunov A., Orlova A., Zavedeeva G. et al. // Bull. Mater. Sci. 2017. V. 40. № 1. P. 7. https://doi.org/10.1007/s12034-016-1337-1
- Lightfoot P., Woodcock D.A., Jorgensen J.D. et al. // Int. J. Inorg. Mater. 1999. V. 1. P. 53.
- Асабина Е.А., Шварев Р.Р., Петьков В.И. и др. // Журн. неорган. химии. 2017. Т. 62. № 9. С. 1224. https://doi.org/10.7868/S0044457X17090136
- Shannon R.D. // Acta Crystallogr., Sect. A. 1976. V. 32. P. 751.
- Matraszek A., Godlewska P., Macalik L. et al. // Alloys Compd. 2015. V. 619. P. 275.
- László E. International Series of Monographs on Analytical Chemistry, Gravimetric Analysis. Pergamon: Elsevier, 1965. P. 814.
- Калинкин А.М., Кузьменков О.А. Калинкина Е.В. и др. // Журн. общ. химии. 2022. Т. 92. № 6. С. 981. https://doi.org/10.31857/S0044460X22060178
Supplementary files








