Colloidal–chemical and rheological properties of interfacial adsorption layers formed by soluble and poorly water-soluble block copolymers of ethylene oxide and propylene oxide
- Authors: Gritskova I.A.1, Kovtun I.D.1,2, Romanenko G.A.1, Shulgin A.M.1,3, Levachev S.M.4, Kharlov A.E.4, Chvalun S.N.1
-
Affiliations:
- MIREA – Russian Technological University (M. V. Lomonosov Institute of Fine Chemical Technologies)
- N. S. Enikolopov Institute of Synthetic Polymeric Materials, Russian Academy of Sciences
- A. N. Nesmeyanov Institute of Organoelement Compounds, Russian Academy of Sciences
- M. V. Lomonosov Moscow State University, Department of Chemistry
- Issue: Vol 99, No 1 (2025)
- Pages: 135-143
- Section: PHYSICAL CHEMISTRY OF DISPERSED SYSTEMS AND SURFACE PHENOMENA
- Submitted: 17.04.2025
- Accepted: 17.04.2025
- Published: 17.04.2025
- URL: https://journals.rcsi.science/0044-4537/article/view/288156
- DOI: https://doi.org/10.31857/S0044453725010136
- EDN: https://elibrary.ru/EHXBPQ
- ID: 288156
Cite item
Full Text
Abstract
The colloidal-chemical properties of soluble and poorly water-soluble block copolymers of ethylene oxide and propylene oxide (pluronics), as well as the rheological properties of interfacial adsorption layers (IAL) formed by them and the polymer formed at the initiation of polymerization on the particle surface are studied. The influence of temperature, surfactant and polymer concentration on the values of the effective elastic modulus determined at lateral deformation of IAL is evaluated. The strongest interfacial layers are shown to be formed by low water-soluble pluronic containing a hydrophilic polyoxyethylene block surrounded by two hydrophobic polyoxypropylene blocks. The high strength of the interfacial adsorption layer on the particle surface is found to allow obtaining polymer suspensions with high polymer content (up to 33%) and narrow particle size distribution.
Full Text
ВВЕДЕНИЕ
Кинетические и топохимические особенности гетерофазной полимеризации мономеров подробно исследованы и описаны в литературе. Установлено, что для ее успешного проведения необходимо обеспечить в первую очередь устойчивость реакционной системы в процессе синтеза полимеров и полимерных суспензий.
Агрегативная устойчивость полимерных суспензий зависит от механизма образования полимерно-мономерных частиц (ПМЧ), от прочности межфазных адсорбционных слоев (МАС), формируемых на их поверхности полимером и поверхностно-активным веществом. Именно поэтому выбор ПАВ, определяющих механизм образования частиц и стабильность полимерных суспензий, является актуальной задачей [1, 2].
В опубликованных ранее работах [3, 4], было показано, что использование в качестве ПАВ в процессах гетерофазной полимеризации, блок-сополимеров этиленгликоля и пропиленгликоля позволяет синтезировать устойчивые полимерные суспензии с узким распределением частиц по размерам. Несмотря на то, что все исследованные плюроники, отличавшиеся строением и растворимостью в воде, обладали высокими поверхностно-активными свойствами, были обнаружены различия в устойчивости полимерных суспензий в процессе синтеза в их присутствии. Кроме того, механизм формирования ПМЧ в процессе полимеризации отличался для растворимых и не растворимых в воде плюроников. В этих исследованиях в качестве мономеров использовали малорастворимые в воде стирол и метилметакрилат, а инициатора – персульфат калия, растворимый в воде.
Высокую устойчивость дисперсных систем могут обеспечить межфазные адсорбционные слои на поверхности ПМЧ, в которых сформированы барьеры устойчивости – структурно-механический и электростатический [5]. На реологические параметры межфазных адсорбционных слоев влияет не только химическая природа ПАВ и его концентрация, но и условия, при которых они формируются, температура, рH, ионная сила среды, возможность ПАВ образовывать водородные связи, время его формирования и другие факторы [6–13].
В литературе сведения о формировании межфазного адсорбционного слоя, МАС, на поверхности капель мономера и полимерно-мономерных частиц при гетерофазной полимеризации немногочисленны. Практически отсутствуют данные о динамике формирования барьеров устойчивости в МАС, определяющих их прочность и способность удерживать частицы от коалесценции. Недостаточность этих сведений объясняется трудоемкостью исследований процессов гетерофазной полимеризации и отсутствием соответствующих методов и оборудования. Это является причиной того, что гетерофазную полимеризацию начинают изучать в модельных условиях, позволяющих исследовать процессы, протекающие на начальной стадии полимеризации, ведущие к образованию полимерно-мономерных частиц, ПМЧ, и формированию межфазного адсорбционного слоя на их поверхности. Следует отметить, что эти процессы протекают одновременно. Уже на начальной стадии полимеризации (5–10% конверсии) в поверхностном слое частиц образуется высокомолекулярный полимер, который не может не влиять на свойства межфазных адсорбционных слоев ПМЧ [14].
Для изучения формирования барьеров устойчивости в МАС была создана модель поверхности капель мономера, из которых образуются ПМЧ при эмульсионной полимеризации стирола и метилметакрилата при инициировании процесса персульфатом калия, растворимым в воде, в присутствии оксиэтилированных полипропиленгликолей разного строения, плюроников. Были изучены структурно-реологические свойства МАС и установлено, что их прочностные характеристики возрастают с увеличением молекулярной массы полимера, т. е. полимер участвует в формировании структурно-механического барьера в межфазном адсорбционном слое образующихся полимерных частиц, при этом возрастает гидрофобность поверхности и соответственно адсорбция ПАВ на этой поверхности.
В опубликованных ранее работах [3, 4] было показано, что устойчивость полимерных суспензий при использовании в качестве ПАВ плюроников разного строения зависит от концентрации мономера в исходной эмульсии. Было также показано, что коллоидно-химические свойства ПАВ и формирование межфазного адсорбционного слоя на границе мономер/водная фаза существенно зависят от растворимости ПАВ в воде. Было высказано предположение о том, что исследования реологических свойств межфазных адсорбционных слоев, формируемых плюрониками различного строения, позволят понять, каким образом происходит формирование барьеров устойчивости в МАС, определяющих стабильность полимерных суспензий и распределение полимерных частиц по размерам.
ЭКСПЕРИМЕНТАЛЬНАЯ ЧАСТЬ
Объекты исследования
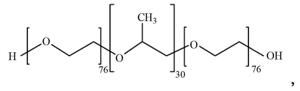
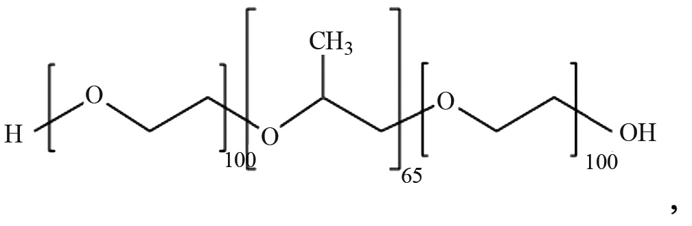
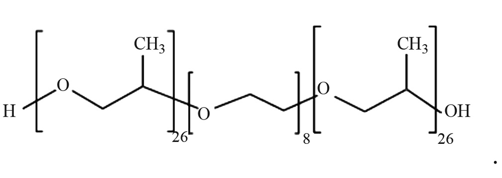
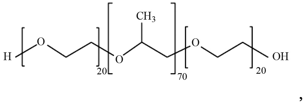
В качестве объектов исследования использовали следующие вещества: сульфат натрия фирмы “Sigma-Aldrich” с содержанием основного вещества 99.9% и толуол квалификации “х.ч.” (без дополнительной очистки); плюроник F68 с молекулярной массой 8400, с содержанием 80 мас. % звеньев полиэтиленоксида:
плюроник F127 с молекулярной массой 12500, с содержанием 70 мас. % звеньев полиэтиленоксида:
плюроник типа PE, Р123, с молекулярной массой 5800 и содержанием 30% масс. звеньев полиэтиленоксида:
плюроник типа RPE, RPE3110, с молекулярной массой 3500 и содержанием 10% масс. звеньев полиэтиленоксида:
Все плюроники производства фирмы BASF были использованы без дополнительной очистки.
Полистирол. В работе использовали полистирол, полученный анионной полимеризацией в толуоле с катализатором n-BuLi, с молекулярной массой 100000 Да, с отношением Mw/Mn, равным 1.28.
Полиметилметакрилат. В работе использовали полиметилметакрилат фирмы “Sigma-Aldrich” с молекулярной массой 120000 Да, с отношением Mw/Mn, равным 2.0.
Методы исследования
Для экспериментального определения поверхностного и межфазного натяжения растворов ПАВ использовали метод висящей капли. Измерения проводили на приборе DSA30 (“Krüss”, Германия) с точностью ± 0.01 мДж/м2.
Исследование реологических параметров межфазных адсорбционных слоев ПАВ проводили на приборе Ребиндера–Трапезникова [15]. Для методического и математического обеспечения экспериментального определения двумерных реологических параметров тонких пленок использовали данные, приведенные в публикациях [16–18].
Сдвиговые напряжения (τ) на приборе Ребиндера–Трапезникова создавали путем закручивания верхнего конца вольфрамовой нити при помощи крутильной головки. В этих условиях напряжения сдвига, передаваемые МАС, пропорциональны углу закручивания нити. Угол закручивания упругой вольфрамовой нити под действием прилагаемой нагрузки определяли с помощью прецизионного измерительного устройства, состоящего из осветителя, оптической системы и шкалы. Шкала, по которой отмечаются углы смещения реперных точек исследуемого объекта, калибруются в угловых градусах.
По экспериментальным данным были построены кривые зависимости относительной деформации слоя или пленки (γ) от напряжения сдвига, τ, (мН м–1):
(1)
где j – угол закручивания нити сверху, рад; R1 – внешний радиус внутреннего кольца, м; С0 – упругая постоянная закручивания нити; С0 = 1.89× ×10–5 Н∙м∙рад–1; θ – угловое смещение кольца, рад;
q = NS, (2)
где S – отклонение светового пятна, м; N – переводной коэффициент м в рад, рад м–1;
(3)
где R2 – внутренний радиус внешнего кольца, м.
Значение модуля упругости межфазного адсорбционного слоя определяли по формуле:
E = t/g.
ОБСУЖДЕНИЕ РЕЗУЛЬТАТОВ
Исследования были начаты с изучения и сравнения коллоидно-химических свойств оксиэтилированных полипропиленгликолей различного строения. У плюроников Р123, F68 и F127 полипропиленоксидный блок ориентирован в угдеводородную фазу эмульсии, а два полиэтиленоксидных блока ориентированы в водную фазу. У плюроника RPE3110 в водную фазу ориентирован центральный полиэтиленоксидный блок, а находящиеся по краям цепи полипропиленоксидные блоки ориентированы в углеводородную фазу. Коллоидно-химические свойства плюроников приведены в табл. 1. Все исследованые плюроники образуют прямые эмульсии и характеризуются высокой поверхностной активностью, снижают межфазное натяжение на границах толуол/водный раствор ПАВ и раствор ПАВ в толуоле/вода до низких значений.
Таблица 1. Коллоидно-химические характеристики плюроников
ПАВ | σ1,2, мДж м–2 | G, Дж м2 моль–1 | Гмакс×106, моль м–2 | S0×1020, м2 | δ×10–9, м |
P123 Малорастворимый в воде, ГЛБ 8 | 3.4 | 7.6 | 6.60 | 25.2 | 37.6 |
RPE3110 Малорастворимый в воде, ГЛБ 2 | 14.1 | 2.5 | 4.44 | 36.4 | 15.6 |
F68 Растворимый в воде, ГЛБ 29 | 3.8 | 8.4 | 6.60 | 25.2 | 50.1 |
F127 Растворимый в воде, ГЛБ 22 | 6.3 | 67.9 | 6.08 | 27.3 | 72.9 |
Обозначения: σ12 – минимальное значение межфазного натяжения, Гмакс – максимальная адсорбция (Гиббс), G – поверхностная активность ПАВ, определенная в диапазоне концентраций 0–10–6 М, S0 – площадь, занимаемая молекулой ПАВ в межфазном адсорбционном слое, δ – толщина межфазного слоя ПАВ, Т=298 К, рН 7.0.
Обнаружено, что способность ПАВ снижать межфазное натяжение на границе раздела фаз в первую очередь зависит от строения ПАВ и не зависит от того, в какой фазе эмульсии оно находится: в водной или толуольной. Увеличение молекулярной массы ПАВ приводит к возрастанию минимального значения межфазного натяжения. Например, малорастворимый в воде Р123 был растворен в мономере, а растворимый в воде F68 – в воде, а значения σ12 близки – 3.4 и 3.8 мДж м–2. Плюроник F127 имеет строение, аналогичное строению Р123 и F68, однако в его присутствии межфазное натяжение уменьшается до 6.3 мДж м–2, что на 3 мДж м–2 превышает значения σ12 для F68 и Р123.
Анализ начальных участков изотерм межфазного натяжения позволяет рассчитать значения поверхностной активности (G) исследованных ПАВ. Полученные результаты показали, что наименьшей поверхностной активностью характеризуется RPE3110. Значения G для P123 и F68 составляют соответственно 7.6 и 8.4 Дж м2 моль–1, а для F127 G примерно в восемь раз больше, чем P123 и F68. Стоит отметить, что существует корреляция между содержанием этиленоксидных блоков в сополимере и поверхностной активностью. Так, RPE3110, который характеризуется наименьшей поверхностной активностью, содержит наименьшее число звеньев этиленоксида.
Рассчитанные величины максимальной адсорбции в рамках модели Ленгмюра, демонстрируют, что среди исследуемых ПАВ наибольшим значением Гмакс характеризуются плюроники Р123 и F68. Эти значения значительно превышают значения Гмакс для RPE3110. Полученные результаты указывают на то, что максимально возможное концентрирование ПАВ на межфазной границе наблюдается для ПАВ со строением этиленоксид–пропиленоксид–этиленоксид (рис. 1).
Рис. 1. Схематичное строение плюроников разных типов.
Результаты расчета значения толщины межфазного слоя (δ) и площади (S0), занимаемой макромолекулой ПАВ на границе раздела фаз, показали, что макромолекулы ПАВ занимают в межфазном адсорбционном слое (МАС) близкие по значениям площади в независимости от строения блоксополимерной цепи, молекулярной массы и исходной растворимости в водной фазе. Значение (δ) дает возможность оценить влияние молекулярной массы ПАВ на толщину межфазного слоя. Так, ПАВ с наименьшей молекулярной массой, RPE3110, характеризуется минимальным значением толщины межфазного адсорбционного слоя – 15.6 ×10–9 м, а F127, обладающий максимальным значением молекулярной массы из рассматриваемых ПАВ, обеспечивает формирование межфазного адсорбционного слоя с толщиной 72.9 ×10–9 м.
Все исследованные ПАВ образуют на границе раздела фаз межфазные адсорбционные слои толщиной более 15 ×10–9 м, что обеспечивает их прочность и агрегативную устойчивость эмульсий и полимерной дисперсии.
Полученные данные показали, что свойства межфазных адсорбционных слоев исследованных ПАВ во многом определяются свойствами оксиэтиленовых блоков макромолекул. Согласно литературным данным [19], начиная со значений степени оксиэтилирования более 10, вертикальная ориентация оксиэтиленовых цепей в адсорбционных слоях становится невыгодной, и гидрофильная цепь образует подобие спирали в водной фазе, поперечное сечение которой возрастает на 4–5 Å2 на каждую оксиэтиленовую группу. Например, для оксиэтилированных спиртов оксиэтиленовая цепь начинает образовывать спиралевидные витки, начиная с количества оксиэтиленовых групп 10–15. При этом первые 10–15 оксиэтиленновых групп в насыщенных адсорбционных слоях ориентированы параллельно поверхности раздела фаз [20]. Вероятно, именно такое поведение полимерной цепи определяет самое маленькое значение занимаемой площади, наблюдаемое для растворимого в воде плюроника F127. Макромолекула плюроника F127 содержит два полиоксиэтиленовых блока, состоящих из 100 повторяющихся звеньев каждый, и центральный полиоксипропиленовый блок, содержащий 65 повторяющихся звеньев.
Различия в коллоидно-химических свойствах, строение и ориентация плюроников отражаются на реологических свойствах, образуемых ими МАС. Это установлено при определении значений модулей упругости межфазных адсорбционных слоев, сформированных растворимыми и малорастворимыми в воде плюрониками. В табл. 2 представлены результаты исследования систем, полученных из растворов плюроников (все при Т= 298 К).
Таблица 2. Значения модулей упругости межфазных адсорбционных слоев, сформированных на границе раздела вода/толуол
Плюроник | Растворитель для ПАВ | С, % | E, мН м–1 |
RPE3110 | толуол | 0.05 | – |
0.1 | 0.03±0.02 | ||
1.0 | 0.09±0.04 | ||
P 123 | толуол | 0.05 | – |
0.1 | 0.04±0.02 | ||
1.0 | 0.07±0.02 | ||
F127 | вода | 0.05 | 1.01±0.03 |
0.1 | 1.83±0.07 | ||
2.0 | 2.1±0.2 | ||
F68 | вода | 0.05 | 0.07±0.03 |
0.1 | 0.93±0.02 | ||
2.0 | 1.3±0.3 |
Примечание. Время формирования слоев 2 ч, Т=298 К, рН 7.0, E – модуль упругости, С – концентрация.
Полученные результаты показывают, что водорастворимые плюроники в данных условиях образуют МАС, характеризующиеся более высокими, чем растворимые в мономере значениями модуля упругости. Причем с ростом молекулярной массы и степени оксиэтилирования полипропиленгликоля значение модуля упругости возрастает. Такая зависимость значения модулей упругости межфазных адсорбционных слоев от степени оксиэтилирования полипропиленгликоля связана с тем, что при высоких значениях степени оксиэтилирования на поверхности мономерной капли может образовываться плотная структурная оболочка из гидратированных, переплетенных между собой оксиэтиленовых цепей, участвующих в создании структурно-реологического барьера устойчивости и обеспечивающих прочность межфазного слоя [20].
Для всех плюроников наблюдался рост модуля упругости с повышением их концентрации в растворе.
Характер зависимости величины модуля упругости от строения плюроника при предварительном нагревании растворов плюроников изменяется до температуры, равной температуре полимеризации метилметакрилата и стирола, инициированной персульфатом калия, 353 К.
Время формирования слоев 2 ч, Т=298К, рН 7.0. Растворы ПАВ предварительно были подвергнуты термостатированию при Т=353К в течение 30 мин.
Из данных, приведенных в табл. 3, видно, что повышение температуры заметно влияет на значение модуля упругости межфазных адсорбционных слоев, образованных растворимыми в воде плюрониками. Наблюдаемое изменение модуля упругости, по-видимому, связано с уменьшением степени гидратации ПАВ при повышении температуры. Известно, что плюроники более растворимы в холодной, чем в горячей воде, благодаря образованию водородных связей с кислородными атомами молекул воды, при этом гидратируется как гидрофильная, так и гидрофобная части молекулы, и на каждый атом кислорода приходится 2–3 молекулы воды [21, 22]. Можно полагать, что в растворах, характеризующихся недостаточной концентрацией ПАВ, при повышении температуры происходит формирование микрогелевых частиц вследствие уменьшения гидратации и агрегации молекул плюроника [23], что приводит к снижению модуля упругости.
Таблица 3. Значения модулей упругости межфазных адсорбционных слоев, сформированных на границе раздела вода/толуол
Плюроник | Растворитель для ПАВ | С, % | E, мН м–1 |
RPE3110 | толуол | 0.05 | – |
0.1 | 0.05±0.02 | ||
1.0 | 0.08±0.03 | ||
P 123 | толуол | 0.05 | – |
0.1 | 0.04±0.02 | ||
1.0 | 0.06±0.02 | ||
F-127 | вода | 0.05 | – |
0.1 | 0.07±0.02 | ||
2.0 | 0.86±0.05 | ||
F-68 | вода | 0.05 | – |
0.1 | 0.07±0.02 | ||
2.0 | 0.86±0.05 |
Следует отметить, что значения модуля упругости для малорастворимых в воде плюроников при данной концентрации практически не изменились.
Растворы водорастворимых плюроников чувствительны также к наличию электролитов в водной фазе и к их концентрации. Как и при повышении температуры, в присутствии электролитов происходит уменьшение степени гидратации молекул оксиэтилированного ПАВ [24]. В таких системах наблюдаются процессы “высаливания” плюроников, которые активируются при отклонении рН от нейтрального значения. При введении в систему, предварительно нагретую до 353 К, 1 мас. % раствора сульфата натрия, имитирующего наличие в водной фазе персульфата калия, наблюдалось снижение в 4 раза модуля упругости для систем, полученных из растворов плюроников, растворимых в воде (табл. 4). В то же время, наблюдалось возрастание модуля упругости межфазных адсорбционных слоев, сформированных малорастворимыми в воде плюрониками, более, чем в 15 раз, по сравнению с системой, полученной из растворов плюроников без предварительной подготовки.
Таблица 4. Значения модулей упругости межфазных адсорбционных слоев, сформированных на границе раздела водный раствор Na2SO4/толуол
Плюроник | Растворитель для ПАВ | С, % | E, мН м–1 |
RPE3110 | толуол | 0.05 | 0.08±0.02 |
0.1 | 0.92±0.05 | ||
1.0 | 1.49±0.08 | ||
P 123 | толуол | 0.05 | 0.07±0.02 |
0.1 | 0.85±0.05 | ||
1.0 | 1.21±0.05 | ||
F127 | вода | 0.05 | – |
0.1 | 0.12±0.04 | ||
2.0 | 0.53±0.03 | ||
F68 | вода | 0.05 | – |
0.1 | 0.24±0.05 | ||
2.0 | 0.46±0.08 |
Примечание. Время формирования слоев 2 ч, Т=298 К, рН 4.5; ω(Na2SO4)=1.0%. Растворы ПАВ предварительно были подвергнуты нагреванию до Т=353 К, время нагревания 30 мин.
Такой характер изменений модуля упругости можно объяснить тем, что водорастворимые плюроники в растворе электролита при предварительном прогревании формируют межфазные адсорбционные слои с участием микрогелей, что и приводит к снижению значения модуля упругости при повышении температуры и добавлении электролитов. Малорастворимые в воде плюроники образуют структурированные слои на границе раздела фаз, что и приводит к повышению модуля упругости.
Для того, чтобы оценить влияние образующегося в процессе полимеризации полимера на реологические свойства межфазных адсорбционных слоев, полимер растворяли в толуоле, а ПАВ в воде или толуоле, и изучали реологические свойства межфазных слоев, образованных на границе вода/толуольный раствор полимера (полистирола (ПС) и полиметилметакрилата (ПММА)). Результаты представлены в табл. 5 и 6. Видно, что при введении в систему полимера наблюдается увеличение значения модуля упругости межфазного слоя. Вероятно, это связано с тем, что полимер на границе с водной фазой образует полимерную пленку, так как вода является осадителем, а на межфазной границе образуются двумерные кластеры агрегированных полимерных цепей.
Таблица 5. Значения модулей упругости межфазных адсорбционных слоев, сформированных на границе раздела вода/толуольный раствор ПС
Плюроник | Растворитель для ПАВ | С, % | E, мН м–1 |
RPE3110 | толуол | 0.05 | 0.04±0.02 |
0.1 | 0.09±0.02 | ||
1.0 | 0.11±0.03 | ||
P123 | толуол | 0.05 | 0.06±0.02 |
0.1 | 0.08±0.03 | ||
1.0 | 0.15±0.04 | ||
F127 | вода | 0.05 | 1.40±0.04 |
0.1 | 2.12±0.06 | ||
2.0 | 2.4±0.2 | ||
F68 | вода | 0.05 | 0.09±0.04 |
0.1 | 1.43±0.05 | ||
2.0 | 1.5±0.3 |
Примечание. ω(ПС)=0.1%, время формирования слоев 2 ч, Т=298 К, рН 7.0. Растворы ПАВ без предварительной обработки.
Таблица 6. Значения модулей упругости межфазных адсорбционных слоев, сформированных на границе раздела вода/ толуольный раствор ПММА
Плюроник | Растворитель для ПАВ | С, % | E, мН м–1 |
RPE3110 | толуол | 0.05 | – |
0.1 | 0.06±0.03 | ||
1.0 | 0.94±0.04 | ||
P123 | толуол | 0.05 | – |
0.1 | 0.05±0.03 | ||
1.0 | 0.87±0.03 | ||
F127 | вода | 0.05 | 1.34±0.03 |
0.1 | 1.98±0.05 | ||
2.0 | 2.3±0.2 | ||
F68 | вода | 0.05 | 0.09±0.03 |
0.1 | 1.11±0.02 | ||
2.0 | 1.3±0.3 |
Примечание. ω(ПММА)=0.1%, время формирования слоев 2 ч, Т=298 К, рН 7.0. Растворы ПАВ без предварительной обработки.
Наличие полимера в толуольной фазе оказывает еще более значительное влияние на реологические свойства межфазных адсорбционных слоев плюроников. При совместном действии повышенной температуры и электролита наблюдали рост значений модуля упругости МАС, сформированных на границе раздела водный раствор Na2SO4/толуольный раствор ПС и толуольный раствор ПММА (табл. 7 и 8). ПАВ добавляли в полученный раствор мономера или в воду.
Таблица 7. Значения модулей упругости межфазных адсорбционных слоев, сформированных на границе раздела водный раствор Na2SO4/ толуольный раствор ПС
Плюроник | Растворитель для ПАВ | С, % | E, мН м–1 |
RPE3110 | толуол | 0.05 | 1.1±0.1 |
0.1 | 1.8±0.2 | ||
1.0 | 2.5±0.2 | ||
P123 | толуол | 0.05 | 1.2±0.1 |
0.1 | 1.6±0.1 | ||
1.0 | 2.1±0.3 | ||
F127 | вода | 0.05 | 0.8±0.1 |
0.1 | 1.1±0.04 | ||
2.0 | 1.8±0.03 | ||
F68 | вода | 0.05 | 1.2±0.3 |
0.1 | 1.7±0.4 | ||
2.0 | 1.8±0.6 |
Примечание. ω(ПС)=0.1%, время формирования слоев 2 ч, Т=298 К, рН 4.5; ω(Na2SO4)=1.0%. Растворы ПАВ предварительно были подвергнуты нагреванию до Т=353 К, время нагревания 30 мин.
Таблица 8. Значения модулей упругости межфазных адсорбционных слоев, сформированных на границе раздела водный раствор Na2SO4/толуольный раствор ПММА
Плюроник | Растворитель для ПАВ | С, % | E, мН м–1 |
RPE3110 | толуол | 0.05 | 0.12±0.02 |
0.1 | 1.33±0.03 | ||
1.0 | 1.9±0.2 | ||
P123 | толуол | 0.05 | 0.11±0.02 |
0.1 | 1.54±0.05 | ||
1.0 | 1.7±0.2 | ||
F127 | вода | 0.05 | 0.9±0.1 |
0.1 | 1.1±0.2 | ||
2.0 | 1.5±0.2 | ||
F68 | вода | 0.05 | 0.9±0.1 |
0.1 | 1.3±0.2 | ||
2.0 | 1.5±0.3 |
Примечание. ω(ПММА)=0.1%, время формирования слоев 2 ч, Т=298 К, рН 4.5; ω(Na2SO4)=1.0%. Растворы ПАВ предварительно были подвергнуты нагреванию до Т=353 К, время нагревания 30 мин.
Для малорастворимых в воде плюроников P123 и RPE3110 наблюдался почти пятидесятикратный рост модуля упругости межфазных адсорбционных слоев, сформированных ими и полимером на границе раздела фаз при температуре, при которой проводят полимеризацию, по сравнению с МАС, не подвергшейся нагреванию и не содержащей полимера и Na2SO4. В то же время в МАС, содержащих водорастворимый плюроник F68, в аналогичных условиях рост модуля упругости был незначителен, а в содержащим водорастворимый плюроник F127 системе наблюдалось его уменьшение.
ЗАКЛЮЧЕНИЕ
Проведено сравнение модулей упругости межфазных слоев ПМЧ при температуре полимеризации и наличии электролита. В качестве электролита выбран сульфат натрия, имитирующий образование фонового электролита, образующегося в результате разложения персульфата калия. Обнаружено, что в исследованных условиях при переходе от системы, содержащей плюроник, к системе, включающей кроме плюроника дисперсию полимера, модуль упругости возрастает в 50 раз.
Анализ стабилизирующей способности исследованных плюроников показал, что максимальной устойчивостью характеризуются полимерные суспензии, стабилизированные RPE3110. Это обусловлено наличием в его молекуле двух объемных полиоксипропильных блоков, свойства которых в меньшей степени зависят от температуры и наличия электролитов по сравнению с полиоксиэтиленовыми блоками.
Водорастворимые плюроники F127, F68 и маслорастворимый плюроник Р123, содержащие по два полиоксиэтиленовых блока, не демонстрируют аналогичный RPE3110 уровень стабилизации полимерных частиц в процессе синтеза. Вероятно, это связанно с тем, что в условиях полимеризации полиоксиэтиленовые блоки в результате их компактизации из-за дегидратации образуют более дефектные структуры по сравнению со структурой, образованной RPE3110. Такие дефектные структуры могут обеспечить устойчивость полимерных суспензий в процессе синтеза до меньшего содержания полимера в суспензии, чем структура, образованная плюроником RPE3110 [3].
About the authors
I. A. Gritskova
MIREA – Russian Technological University (M. V. Lomonosov Institute of Fine Chemical Technologies)
Email: germanromanenko@rambler.ru
Russian Federation, Moscow
I. D. Kovtun
MIREA – Russian Technological University (M. V. Lomonosov Institute of Fine Chemical Technologies); N. S. Enikolopov Institute of Synthetic Polymeric Materials, Russian Academy of Sciences
Email: germanromanenko@rambler.ru
Russian Federation, Moscow; Moscow
G. A. Romanenko
MIREA – Russian Technological University (M. V. Lomonosov Institute of Fine Chemical Technologies)
Author for correspondence.
Email: germanromanenko@rambler.ru
Russian Federation, Moscow
A. M. Shulgin
MIREA – Russian Technological University (M. V. Lomonosov Institute of Fine Chemical Technologies); A. N. Nesmeyanov Institute of Organoelement Compounds, Russian Academy of Sciences
Email: germanromanenko@rambler.ru
Russian Federation, Moscow; Moscow
S. M. Levachev
M. V. Lomonosov Moscow State University, Department of Chemistry
Email: germanromanenko@rambler.ru
Russian Federation, Moscow
A. E. Kharlov
M. V. Lomonosov Moscow State University, Department of Chemistry
Email: germanromanenko@rambler.ru
Russian Federation, Moscow
S. N. Chvalun
MIREA – Russian Technological University (M. V. Lomonosov Institute of Fine Chemical Technologies)
Email: germanromanenko@rambler.ru
Russian Federation, Moscow
References
- Herrera-Ordonez J. // Adv. Colloid Interface Sci. 2023. V. 320. P. 103005.
- Xu H., Hao Z., Wang C. et al. // Macromol. Chem. Phys. 2023. V. 224. № 20. P. 2300185.
- Ковтун И.Д., Грицкова И.А., Чвалун С.Н. и др. // Изв. АН, Сер. хим. 2021. Т. 9. № 9. С. 1784.
- Грицкова И.А., Ковтун И.Д., Гомзяк В.И. и др. // Пласт. масс. 2022. № 5–6. С. 25.
- Ребиндер П.А. Поверхностные явления в дисперсионных системах. Коллоидная химия. Избранные труды. М.: Наука, 1978. 372 с.
- Doxastakis G., Sherman P. // Colloid Polym Sci. 1986. V. 264. № 3. P. 254.
- Измайлова В.Н., Ребиндер П.А. Структурообразование в белковых системах. М.: Наука, 1974. 268 с.
- Henson A.F., Mitchell J.R., Musselwhite P.R. // J. Colloid Interface Sci. 1970. V. 32. № 1. P. 162.
- Progress in Surface and Membrane Science / Edited by D.A. Cadenhead, J.F. Danielli. New-York, 1979. V. 13. P. 141.
- Sherman P. // J. Colloid Interface Sci. 1973. V. 45. № 2. P. 427.
- Измайлова В.Н., Ямпольская Г.П., Сумм Б.Д. Поверхностные явления в белковых системах. М.: Химия, 1988. 239 с.
- Физико-химическая механика дисперсных структур: сборник научных трудов /Под ред. Н.Н. Круглицкий. Киев: Наукова думка, 1986. С. 39.
- Anisimov V.V., Dekim G., Kosogov O.V. // Colloid J USSR. 1987. V. 49. № 5. P. 859.
- Любимская P.А. Формирование и свойства межфазных адсорбционных слоев в условиях, моделирующих эмульсионную полимеризацию стирола: Автореф. дис. канд. хим. наук. М.: МИТХТ, 1988. 24 с.
- Должикова В.Д., Задымова Н.М., Лопатина Л.И. и др. Практикум по коллоидной химии. Учебное пособие для вузов. М.: ИНФРА-М, 2012. 288 с.
- Ребиндер П.А. // Коллоидн. журн. 1958. Т. 20. № 5. С. 527.
- Ребиндер П.А. // Коллоидн. журн. 1961. Т. 23. № 3. С. 359.
- Таубман А.А. // Докл. АН СССР. 1961. № 5. С. 427.
- Позднышев Г.Н., Петров А.А. // Коллоидн. журн. 1967. Т. 29. № 4. С. 569.
- Никитина С.А., Симакова Г.А. // Коллоидн. журн. 1969. Т. 31. № 5. С. 730.
- Шинода К., Накагава Т., Тамамуси Б. и др. Коллоидные поверхностноактивные вещества: Физ.-хим. свойства. М.: Мир, 1966. 319 с.
- Торноуцкий М.М. // Коллоидн. журн. 1974. Т. 36. № 5. С. 995.
- Kunieda H., Shinoda K. // J. Colloid Interface Sci. 1985. V. 107. № 1. P. 107.
- Кузнецова А.М., Волков В.А., Селиверстова Н.А. // Коллоидн. журн. 1977. Т. 39. № 4. С. 783.
Supplementary files







