Физико-химическая модель формирования россыпного золота
- 作者: Варфоломеев С.Д.1,2, Калиниченко В.Н.2, Кузнецов Ю.А.3, Гачок И.В.1, Цыбенова С.Б.2
- 
							隶属关系: 
							- Московский государственный университет им. М. В. Ломоносова
- Институт биохимической физики им. Н. М. Эмануэля Российской академии наук
- ООО “РГ Иркутскгеофизика 3”
 
- 期: 卷 98, 编号 12 (2024)
- 页面: 117-126
- 栏目: PHYSICAL CHEMISTRY OF NANOCLUSTERS, SUPRAMOLECULAR STRUCTURES, AND NANOMATERIALS
- ##submission.dateSubmitted##: 30.03.2025
- ##submission.dateAccepted##: 30.03.2025
- ##submission.datePublished##: 15.12.2024
- URL: https://journals.rcsi.science/0044-4537/article/view/285653
- DOI: https://doi.org/10.31857/S0044453724120177
- EDN: https://elibrary.ru/ENGZZO
- ID: 285653
如何引用文章
详细
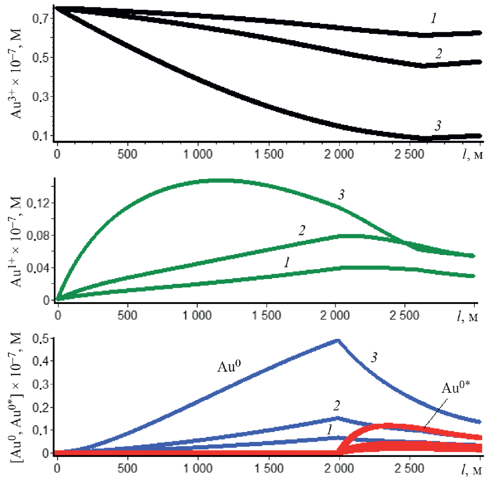
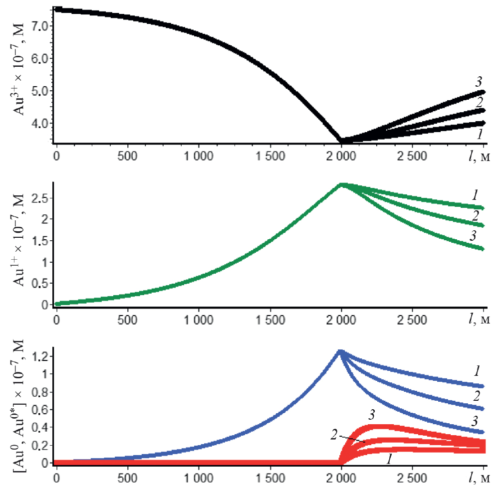
Работа посвящена кинетическому анализу и моделированию закономерностей образования наноформ металлического золота и механизмам образования макрочастиц металла. Рассмотрена кинетика процесса в стационарном состоянии в растворе и в потоке, моделирующим процессы формирования месторождения. Показан автокаталитический характер синтеза наночастиц золота, при котором принципиально важен обратный процесс окисления Au0 сильным окислителем Au3+. Проведено моделирование кинетического поведения системы от начальной концентрации реагента (Au3+), концентраций автокаталитической “затравки” (Au1+, Au0), концентрации восстановителя, проанализирована зависимость многостадийного процесса от температуры. Проведено математическое моделирование формирования очага россыпи золота в потоке на основе теории реакторов идеального вытеснения. Модель включает зону рассеянного минерального золота (или нанораспределенного золота), зону гидропотока и зону коагуляции формирования макрочастиц на металлическом зародыше (зона преципитации). Проведены расчеты зависимости профили распределения реагентов от концентрации восстанавливающего компонента, скорости гидропотока, концентрации коагулянтов и “зародышей” преципитации.
全文:
 
												
	                        作者简介
С. Варфоломеев
Московский государственный университет им. М. В. Ломоносова; Институт биохимической физики им. Н. М. Эмануэля Российской академии наук
														Email: s.tsybenova@gmail.com
				                					                																			                												                	俄罗斯联邦, 							Москва, 119991; Москва, 119997						
В. Калиниченко
Институт биохимической физики им. Н. М. Эмануэля Российской академии наук
														Email: s.tsybenova@gmail.com
				                					                																			                												                	俄罗斯联邦, 							Москва, 119997						
Ю. Кузнецов
ООО “РГ Иркутскгеофизика 3”
														Email: s.tsybenova@gmail.com
				                					                																			                												                	俄罗斯联邦, 							Иркутск, 664039						
И. Гачок
Московский государственный университет им. М. В. Ломоносова
														Email: s.tsybenova@gmail.com
				                					                																			                												                	俄罗斯联邦, 							Москва, 119991						
С. Цыбенова
Институт биохимической физики им. Н. М. Эмануэля Российской академии наук
							编辑信件的主要联系方式.
							Email: s.tsybenova@gmail.com
				                					                																			                												                	俄罗斯联邦, 							Москва, 119997						
参考
- Билибин Ю.А. Основы геологии россыпей. М.: Изд-во Акад. наук СССР, 1955. 472 с.
- Шило Н.А. Учение о россыпях. Теория россыпеобразующих рудных формаций и россыпей. Изд.2-е, Владивосток: Дальнаука, 2002. 576 с.
- Нестеренко Г.В. Происхождение россыпных месторождений. Новосибирск: Наука, 1977. 313 с.
- Избеков И.Д. Образование и эволюция россыпей. Новосибирск: Наука, 1985. 189 с.
- Вернадский В.И. История минералов земной коры. Т. 1. Вып. II. Л.: Научное химико-техническое изд-во, 1927. 197 с.
- Петровская Н.В. Самородное золото (общая характеристика, типоморфизм, вопросы генезиса). М.: Наука, 1973. 347 с.
- Streltsov S.V., Roizen V.V., Ushakov A.V. et al. // Proc. Natl. Acad. Sci. USA. 2018. V.115. I.40. P. 9945. https://www.pnas.org/doi/full/10.1073/pnas.1802836115
- Кузнецов Ю.А., Дубков А.А., Калиниченко В.Н. и др. // Недра Поволжья и Прикаспия. 2023. Вып. 111. С. 27.
- Бернатонис В.К., Попов П.А. // Изв. Томского политех. ин-та. 1977. Т. 287. С. 6.
- Воротников Б.А., Попова Л.М., Росляков Н.А. и др. // Изв. Томского политех. ин-та. 1968. Т. 134. С. 188.
- Шабынин Л.Л. // Изв. Томского политех. ин-та. 1967. Т. 167. С. 67.
- Сердюк С.С. Золотоносные провинции Центральной Сибири: геология, минерагения и перспективы освоения. Автореф. дис. … докт. геол.-мин. наук. Красноярск: КНИИГИМС, 2004. 60 c.
- Евсеев В.В., Немеров В.К., Серебренникова О.В. // Нефтегаз. дело. 2008. № 1. С. 1.
- Таусон В.Л., Немеров В.К., Развозжаева Э.А. и др. // ДАН. 2009. Т. 426. № 4. С. 529. [Tauson V.L., Nemerov V.K., Razvozzhaeva E.A. et al. // Dokl. Earth Sci. 2009. V. 426. P. 690.] https://doi.org/10.1134/S1028334X09040400
- Сергеев Г.Б. Нанохимия: учебн. пособие. М.: Изд-во КДУ, 2015. 384 с.
- Lo Nigro R., Fiorenza P., Pécz B., et al. // Nanomaterials. 2022. V. 12. I. 19. P. 3319. https://doi.org/10.3390/nano12193319
- Апяри В.В., Дмитриенко С.Г., Горбунова М.В. и др. // Журн. аналит. химии. 2019. Т. 74. № 1. С. 26. https://doi.org/10.1134/S0044450219010055
- Дурович Е.А., Евтушенко Е.Г., Сенько О.В. и др. // Вестн. Росс. гос. мед. ун-та. 2018. № 6. С. 27. https://doi.org/10.24075/vrgmu.2018.088
- Варфоломеев С.Д. Молекулярные основы интеллекта. М.: Изд-во МГУ, 2024. 290 с.
- Коршунов А.В., Кашкан Г.В., Нгуен Х.Т. Т. и др. // Изв. Томского политех. ун-та. 2011. Т. 318. № 3. С. 12. http://earchive.tpu.ru/handle/11683/3644
- Turkevich J., Stevenson P.C., Hillier J. // Discussions of the Faraday Society. 1951. V. 11. P. 55.
- Chow M.K., Zukoski C.F. // J. Colloid Interface Sci. 1994. V. 165. P. 97. https://doi.org/10.1006/jcis.1994.1210
- Patungwasa W., Hodak J.H. // Materials Chemistry and Physics. 2008. V. 108. I. 1. P. 45. https://doi.org/10.1016/j.matchemphys.2007.09.001.
- Vityuk N.V., Eremenko A.M., Rusinchuk N.M., et al. // Himia, Fizika ta Tehnologia Poverhni. 2023. V. 14. I. 3. P. 310. https://doi.org/10.15407/hftp14.03.310
- Rodriguez-Gonzalez B., Mulvaney P., Liz-Marzan L.M. // Zeitschrift für Physikalische Chemie. 2007. V. 221. I. 3. P. 415. https://doi.org/10.1524/zpch.2007.221.3.415
- Коршунов А.В., Перевезенцева Д.О., Коновчук Т.В. и др. // Изв. Томского политех. ун-та. 2010. Т. 317. № 3. С. 6. http://earchive.tpu.ru/handle/11683/3351
- Варфоломеев С.Д. Динамика неустойчивости. Кинетическое моделирование и методы управления. М.: Научный мир, 2021. 282 с.
- Варфоломеев С.Д., Гуревич К.Г. Биокинетика. Практический курс. М.: Фаир-Пресс, 1999. 720 с.
- Хусаинова А.Ш. Поведение золота в техногенно-минеральных образованиях месторождений золото-сульфидного типа: Автореф. дис. … канд. гео.-мин. наук. Новосибирск: ИГМ СО РАН, 2020. 19 с.
- Воробьев А.Е., Хоноре Т. // Вестник РУДН. Сер. Инженерные исследования. 2016. № 1. С. 78.
- Таусон В.Л., Кравцова Р.Г., Липко С.В. и др. // Докл. Акад. наук. 2018. Т. 480. № 2. С. 210 [Tauson V.L., Kravtsova R.G., Lipko S.V. et al. // Doklady Earth Sciences. 2018. V. 480. No. 2. P. 210.] https://doi.org/10.1134/S1028334X18050185
补充文件
 
				
			 
						 
						 
						 
						 
					 
				
 
  
  
  电邮这篇文章
			电邮这篇文章 
 开放存取
		                                开放存取 ##reader.subscriptionAccessGranted##
						##reader.subscriptionAccessGranted##












