Характеристика и магнитные свойства наночастиц кобальта с углеродным покрытием, осажденных на диоксид кремния
- 作者: Чернавский П.А.1,2, Максимов С.В.1, Панкина Г.В.1, Новоторцев Р.Ю.1, Шумийцев А.В.1,3, Панфилов С.И.1, Новакова А.А.1, Елисеев О.Л.2
- 
							隶属关系: 
							- Московский государственный университет им. М. В. Ломоносова
- Институт органической химии им. Н. Д. Зелинского Российской академии наук
- Всероссийский институт научной и технической информации Российской академии наук
 
- 期: 卷 98, 编号 12 (2024)
- 页面: 110-116
- 栏目: PHYSICAL CHEMISTRY OF NANOCLUSTERS, SUPRAMOLECULAR STRUCTURES, AND NANOMATERIALS
- ##submission.dateSubmitted##: 30.03.2025
- ##submission.dateAccepted##: 30.03.2025
- ##submission.datePublished##: 15.12.2024
- URL: https://journals.rcsi.science/0044-4537/article/view/285651
- DOI: https://doi.org/10.31857/S0044453724120161
- EDN: https://elibrary.ru/ENJETM
- ID: 285651
如何引用文章
详细
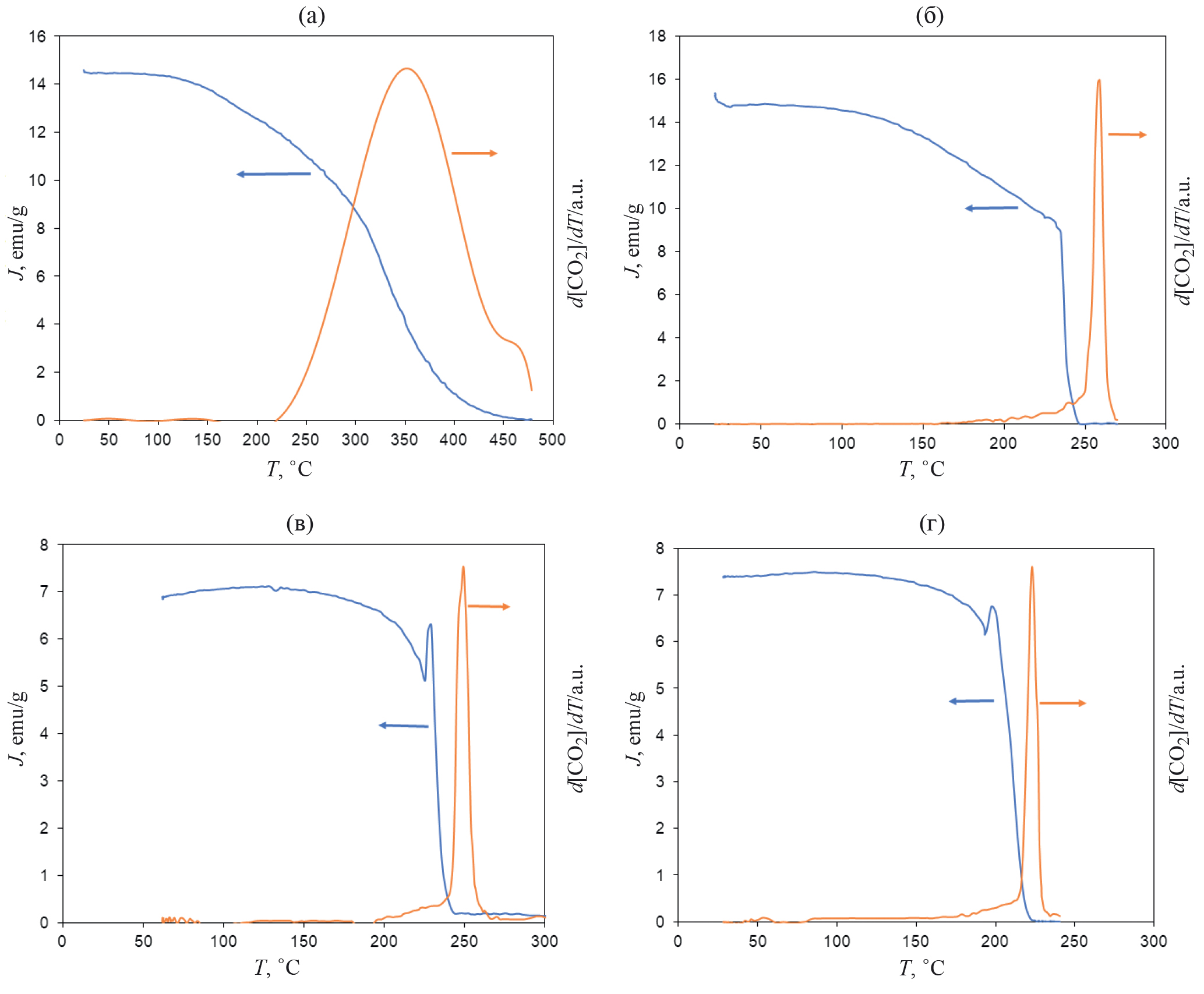
Термолизом глюкозы, нанесенной на Co3O4/SiO2, получены наночастицы кобальта, заключенные в углеродную матрицу. Измерены магнитные характеристики полученных наночастиц. Показано образование однодоменных (d < 20 нм) наночастиц Co, покрытых углеродной оболочкой. Средний размер и распределение наночастиц Co по размерам зависит от количества глюкозы, взятой для приготовления. Применение относительно небольшого количества глюкозы (глюкоза/кобальт < 1 моль/моль) приводит к образованию углеродных оболочек, обволакивающих наночастицы Co, которые устойчивы к окислению на воздухе до 200°C. Напротив, использование большего количества глюкозы приводит к образованию аморфного углеродного слоя, в который погружены частицы металла. Таким образом, полученные наночастицы более подвержены окислению, и примерно половина нанесенного кобальта окисляется в CoO в течение нескольких дней пребывания на воздухе.
全文:
 
												
	                        作者简介
П. Чернавский
Московский государственный университет им. М. В. Ломоносова; Институт органической химии им. Н. Д. Зелинского Российской академии наук
														Email: oleg@ioc.ac.ru
				                					                																			                												                	俄罗斯联邦, 							Москва, 119991; Москва, 119991						
С. Максимов
Московский государственный университет им. М. В. Ломоносова
														Email: oleg@ioc.ac.ru
				                					                																			                												                	俄罗斯联邦, 							Москва, 119991						
Г. Панкина
Московский государственный университет им. М. В. Ломоносова
														Email: oleg@ioc.ac.ru
				                					                																			                												                	俄罗斯联邦, 							Москва, 119991						
Р. Новоторцев
Московский государственный университет им. М. В. Ломоносова
														Email: oleg@ioc.ac.ru
				                					                																			                												                	俄罗斯联邦, 							Москва, 119991						
А. Шумийцев
Московский государственный университет им. М. В. Ломоносова; Всероссийский институт научной и технической информации Российской академии наук
														Email: oleg@ioc.ac.ru
				                					                																			                												                	俄罗斯联邦, 							Москва, 119991; Москва, 125315						
С. Панфилов
Московский государственный университет им. М. В. Ломоносова
														Email: oleg@ioc.ac.ru
				                					                																			                												                	俄罗斯联邦, 							Москва, 119991						
А. Новакова
Московский государственный университет им. М. В. Ломоносова
														Email: oleg@ioc.ac.ru
				                					                																			                												                	俄罗斯联邦, 							Москва, 119991						
О. Елисеев
Институт органической химии им. Н. Д. Зелинского Российской академии наук
							编辑信件的主要联系方式.
							Email: oleg@ioc.ac.ru
				                					                																			                												                	俄罗斯联邦, 							Москва, 119991						
参考
- Sattler K.D. (Ed.) Carbon Nanomaterials Sourcebook. Nanoparticles, Nanocapsules, Nanofibers, Nanoporous Structures, and Nanocomposites. CRC Press, 2021. 753 p.
- Li H., Wu A., Cao T., Huang H. // New Carbon Materials. 2022. V. 37. No 4. P. 695.
- Toyoda M., Inagaki M. // Carbon. 2023. V. 124. 118373
- Zeng S., Wang M., Feng W., et al. // Inorg. Chem. Front. 2019. V. 6. P. 2472.
- Jaumann T., Ibrahim E.M.M., Hampel S., et al. Chemical Vapor Deposition. 2013. V. 19. P. 228.
- Dong X.L., Zhang Z.D., Xiao Q.F., et al. // J. Mater. Sci. 1998. V. 33. P. 1915.
- Dong X.L., Zhang Z.D., Jin S.R., Kim B.K. // J. Appl. Phys. 1999. V. 86. P. 6701.
- Wang Z.H., Choi C.J., Kim B.K., et al. // Carbon. 2003. V. 41. P. 1751.
- Chernyak S.A., Ivanov A.S., Maksimov S.V et al. // J. Catal. 2020. V. 389. P. 270.
- Marsh H., Rodríguez-Reinoso F. Activated carbon. Elsevier Science & Technology Books, 2006.
- Yu J.-S., Yoon S.B., Chai G.S. // Carbon. 2001. V. 39. P. 1442.
- Shuttleworth P.S., Budarin V., White R.J., et al. // Chem. Eur. J. 2013. V. 19. P. 9351.
- Myronyuk I.F., Mandzyuk V.I., Sachko V.M., Gun’ko V.M. // Nanoscale Research Letters. 2016. V. 11. P. 508.
- Fu T., Li Z. // Chem. Eng. Sci. 2015. V. 135. P. 3.
- Chen Y., Wei J., Duyar M.S., et al. // Chem. Soc. Rev. 2021. V. 50. P. 2337.
- Borshch V.N., Zhuk S. Ya., Pugacheva E.V., et al. // Mendeleev Commun. 2023. V. 33. P. 55.
- Чернавский П.А., Лунин Б.С., Захарян Р.А., и др. // Приборы и техника эксперимента. 2014. № 1. С. 119.
补充文件
 
				
			 
						 
						 
						 
						 
					 
				
 
  
  
  电邮这篇文章
			电邮这篇文章 
 开放存取
		                                开放存取 ##reader.subscriptionAccessGranted##
						##reader.subscriptionAccessGranted##



