Энтальпии процессов образования смешанных комплексов никеля(II) с L-гистидином и олигоглицинами
- Авторы: Горболетова Г.Г.1, Бычкова С.А.1
- 
							Учреждения: 
							- Ивановский государственный химико-технологический университет
 
- Выпуск: Том 98, № 12 (2024)
- Страницы: 64-69
- Раздел: ФИЗИЧЕСКАЯ ХИМИЯ РАСТВОРОВ
- Статья получена: 30.03.2025
- Статья одобрена: 30.03.2025
- Статья опубликована: 15.12.2024
- URL: https://journals.rcsi.science/0044-4537/article/view/285579
- DOI: https://doi.org/10.31857/S0044453724120102
- EDN: https://elibrary.ru/EOJFZS
- ID: 285579
Цитировать
Аннотация
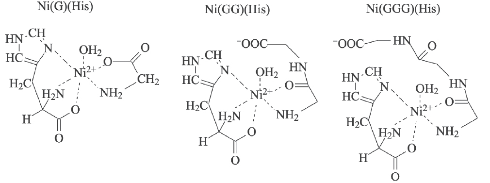
Потенциометрическим и калориметрическим методами изучена система Ni2+– диглицин – L-гистидин в водном растворе при Т = 298.15 К (KNO3). С помощью потенциометрических измерений определен состав и устойчивость смешаннолигандного комплекса Ni(GG)(His). Исследования проводили при соотношениях Ni: (GG + His) = 1:4; 1:6. Концентрации диглицина и L-гистидина находились в соотношении 3:1 и 5:1. Полученные при разных соотношениях диглицина и L-гистидина значения lgβ хорошо согласуются между собой. Измерения тепловых эффектов проводили в ампульном калориметре смешения с изотермической оболочкой, термисторным датчиком температуры и автоматической записью кривой температура – время. Для определения энтальпии образования частицы Ni(GG)(His) измеряли тепловые эффекты смешения растворов Ni(NO3)2, диглицина и L-гистидина при соотношении c0Ni: c0GG: c0His = 1:3:1. Опыты проводили при значениях ионной силы 0.2, 0.5, 1.0 (моль/л). Определены стандартные термодинамические характеристики (∆rH°, ∆rG°, ∆rS°) реакции образования смешаннолигандного комплекса. Проведен сравнительный анализ полученных данных с термодинамическими характеристиками процессов смешаннолигандного комплексообразования в системе Ni2+– глицин – L-гистидин и Ni2+– триглицин – L-гистидин, изученных ранее. Предложены структуры образующихся комплексов.
Ключевые слова
Полный текст
 
												
	                        Об авторах
Г. Г. Горболетова
Ивановский государственный химико-технологический университет
														Email: bychkova_sv@mail.ru
				                					                																			                												                	Россия, 							Иваново, 153000						
С. А. Бычкова
Ивановский государственный химико-технологический университет
							Автор, ответственный за переписку.
							Email: bychkova_sv@mail.ru
				                					                																			                												                	Россия, 							Иваново, 153000						
Список литературы
- Kotynia А., Wiatrak B., Kamysz W. et al. // Int. J. Mol. Sci. 2021. V. 22. P. 12028.
- Hammouda A.N., Elmagbari F.M., Jackson G.E. et al. // Aust. J Chem. Soc. 2021. V. 74 (8). P. 613.
- Vicatos G.M., Hammouda A.N., Alnajjar R. et al. // Inorganics. 2022. V. 10(1). P. 8
- Balogh B.D., Szunyog G., Lukács M. et al. // Dalton Trans. 2021. V. 50. P. 14411.
- Song Y., Zhan J., Li M. et al. // Int. J. Mol. Sci. 2022. V. 23. P. 3957.
- Murphy J.M., Powell B.A., Brumaghim J.L. // Coordination Chemistry Reviews. 2020. V. 412. P. 213253.
- Ramek M., Peji´c J., Sabolovi´ J. // Journal of Inorganic Biochemistry. 2021. V. 223. P. 111536.
- Бородин В.А., Васильев В.П., Козловский Е.В. // Журн. неорган. химии. 1986. T. 31. № 1. C.10.
- Черников В.В. Термодинамика кислотно-основного взаимодействия в водных растворах иминодиянтарной, 1-аминоэтилиден-1,1-дифосфоновой, этаноламин-N, N-диметиленфосфоновой кислот: Дис. … канд. хим. наук. Иваново: ИХТИ, 1988. 161с.
- Wadsö I., Goldberg R.N. // Pure Appl. Chem. 2001. V. 73 P. 1625.
- Васильев В.П., Бородин В.А., Козловский Е.В. Применение ЭВМ в химико-аналитических расчетах. М.: Высш. школа, 1993. С. 112.
- Горболетова Г.Г., Бычкова С.А., Фролова К.О. // Журн. физ. химии. 2022. Т. 96. № 9. С. 1311. [Gorboletova G.G., Bychkova S.A., Frolova K.O. // Russian Journal of Physical Chemistry. 2022. V. 96. № 9. P. 1909].
- Бычкова С.А., Горболетова Г.Г., Крутова О.Н., Фролова К.О. // Рос. хим. журн. (Журн. Рос. хим. об-ва им. Д.И. Менделеева). 2021. Т. 65. № 2. С. 47.
- Васильев В.П., Кочергина Л.А., Гаравин В.Ю. // Журн. общ. химии. 1985. Т. 55. № 1. С. 189.
- Васильев, В. П., Зайцева Г.А. // Журн. неорган. химии. 1988. Т. 33. № 5. С. 1196.
- Назаренко В.А., Антонович В.П., Невская Е.М. Гидролиз ионов металлов в разбавленных растворах. М.: Атомиздат, 1979. С. 120.
- Васильев В.П., Лобанов Г.А. // Изв. вузов. Химия и хим. технология. 1969. Т. 12. № 6. С. 740.
- Горболетова Г.Г., Гридчин С.Н., Сазонова Е.С. // Журн. физ. химии. 2005. Т. 79. № 8. С. 1390. [Gorboletova G.G., Gridchin S.N., Sazonova E.S. // Russian Journal of Physical Chemistry. 2005. V. 79. № 8. P. 1222].
- Горболетова Г.Г., Метлин А.А. // Журн. физ. химии. 2014. Т. 88. № 9. С. 1359.[Gorboletova G.G., Metlin A.A. // Russian Journal of Physical Chemistry. 2014. V. 88. № 9. P. 1514].
- Бородин В.А., Козловский Е.В., Васильев В.П. // Журн. неорган. химии. 1982. Т. 27. № 9. С. 2169.
- Васильев В.П. Термодинамические свойства растворов электролитов. М.: Высш. школа, 1982. С. 320.
- Горболетова Г.Г., Метлин А.А., Бычкова С.А. // Журн. физ. химии. 2015. Т. 89. № 5. С. 787. [Gorboletova G.G., Metlin A.A., Bychkova S.A. // Rus. J. of Phys.Chem. 2015. V. 89. N. 5. P. 793].
- Горболетова Г.Г., Метлин А.А., Бычкова С.А. // Там же. 2018. Т. 92. № 9. С. 1426. [Gorboletova G.G., Metlin A.A., Bychkova S.A. //Ibid. 2018. V. 92. № 9. P. 1715]
Дополнительные файлы
 
				
			 
						 
						 
						 
					 
						 
									
 
  
  
  Отправить статью по E-mail
			Отправить статью по E-mail 

 Открытый доступ
		                                Открытый доступ Доступ предоставлен
						Доступ предоставлен
