Оценка энтальпии смешения расплавов CsX–PbX2 (X=Cl, Br) методом дифференциальной сканирующей калориметрии
- Authors: Цветков Д.С.1, Малышкин Д.А.1, Мазурин М.О.1, Середа В.В.1, Зуев А.Ю.1
-
Affiliations:
- Уральский федеральный университет
- Issue: Vol 98, No 12 (2024)
- Pages: 3-8
- Section: CHEMICAL THERMODYNAMICS AND THERMOCHEMISTRY
- Submitted: 30.03.2025
- Accepted: 30.03.2025
- Published: 15.12.2024
- URL: https://journals.rcsi.science/0044-4537/article/view/285569
- DOI: https://doi.org/10.31857/S0044453724120016
- EDN: https://elibrary.ru/EPIRGJ
- ID: 285569
Cite item
Full Text
Abstract
Предложен сравнительно простой способ оценки энтальпии смешения расплавов методом дифференциальной сканирующей калориметрии с использованием стандартного оборудования. Посредством этого метода определены энтальпии смешения в расплавах CsX–PbX2 (X=Cl, Br). Полученные значение энтальпии смешения в системе CsCl–PbCl2 хорошо согласуются с результатами независимых измерений. Для системы CsBr–PbBr2 измерения выполнены впервые. Показана близость энтальпий смешения для обеих исследованных систем.
Keywords
Full Text
Энтальпия смешения расплавов является важной термодинамической величиной, непосредственно характеризующей взаимодействие компонентов в расплаве. Ее изучение позволяет делать выводы о строении расплава, природе жидкого состояния в конкретной системе, служит источником информации для разработки теоретических моделей расплавленного состояния, а также для термодинамического анализа и моделирования фазовых равновесий с участием жидкой фазы. Кроме того, различные расплавленные среды являются распространенными объектами в промышленности, что определяет и практическую потребность в исследовании их свойств.
В литературе описаны различные способы определения энтальпии смешения расплавов; к числу наиболее часто используемых относятся непосредственные калориметрические измерения, а также расчет из температурной зависимости функции Гиббса смешения [1–3]. Последнюю, в свою очередь, часто определяют методом ЭДС или давления пара [3, 4]. Необходимо заметить, что как прямые калориметрические измерения, так и определение энтальпии смешения из измерений ЭДС гальванических элементов или давления пара над расплавом требуют наличия соответствующего оборудования, как правило, нестандартного, изготовляемого самими исследователями и, потому, не очень широко распространенного. Это накладывает известные ограничения на круг объектов, которые могут быть исследованы, и приводит к некоторому дефициту экспериментальных данных по термодинамическим свойствам расплавов. Вместе с тем, как показали авторы [5], сравнительно широкодоступный метод дифференциальной сканирующей калориметрии (ДСК) может успешно применяться в том числе для оценки энтальпии смешения расплавов наряду с определением теплоемкостей и энтальпий фазовых переходов.
По поводу методики, предложенной в [5], необходимо отметить, что, во-первых, она предполагает проведение измерений в нестандартных герметичных стальных тиглях, снабженных вставкой из BN для предотвращения химического взаимодействия с образцом. Такая организация эксперимента имеет неоспоримые преимущества при работе с химически активными образцами, имеющими высокое давление пара, как это имело место в работе [5]. Тем не менее индивидуальное изготовление тиглей и керамических вставок представляет определенные трудности и, при работе с менее агрессивными веществами с низким давлением пара, представляется нецелесообразным. Во-вторых, методика [5] позволяет определять энтальпии смешения только в смесях с близкими температурами плавления либо в смесях богатых легкоплавким компонентом. При значительной же разнице температур плавления компонентов концентрационная зависимость энтальпии смешения не может быть получена во всем диапазоне составов, в частности, из-за того, что часть более тугоплавкого компонента не переходит в расплав вплоть до температуры его плавления. Например, в системе LiF–KF с близкими температурами плавления компонентов (разница ≈ 10 К) измерения энтальпии смешения проведены практически во всем диапазоне составов [5], в то время как в системе LiF–ThF4 (разница температур плавления > 250 K) измерения удалось провести только диапазоне мольных долей тугоплавкого ThF4 от 0 до 0.44. Упрощение процедуры измерений по сравнению с [5] и распространение ее на более широкий концентрационный диапазон, таким образом, представляется весьма актуальным.
Целью настоящей работы, таким образом, являлась разработка методики ДСК-измерений энтальпии смешения на примере расплавов CsX–PbX2 (X=Cl, Br), представляющих значительный интерес в связи с необходимостью термодинамического описания фазовых равновесий с участием перовскитоподобных галогенидов CsPbX3 (X=Cl, Br, I) и твердых растворов на их основе – перспективных материалов солнечных батарей, светодиодов и детекторов рентгеновского излучения [6].
ЭКСПЕРИМЕНТАЛЬНАЯ ЧАСТЬ
Эксперименты проводили с использованием калориметра MHTC96 evo (Setaram, Франция), оснащенного ДСК-сенсором. Измерения выполняли в режиме нагревания со скоростью 2 К мин–1 в динамической атмосфере сухого азота (pH2O < 10–4 атм, pO2 < 10–4 атм) в диапазоне температур 298–983 K при общем давлении (100 ± 3) кПа. Калибровку калориметра по теплоте и температуре выполняли с использованием высокочистых металлов: Ga, In, Sn, Pb и Al.
Для приготовления исследуемых смесей использовали галогениды: CsCl (содержание основного вещества не менее 99.99 мас. %, Ланхит), PbCl2 (содержание основного вещества не менее 99.5 мас. %, Вектон), CsBr (содержание основного вещества не менее 99.99 мас. %, Вектон) и PbBr2. Последний получали методом осаждения из водного раствора по следующей схеме:
(1)
Навеску Pb(CH3COOH)2 · 3H2O (содержание основного вещества не менее 99.5 масс. %, Вектон) растворяли при нагревании (T ~ 80°C) и перемешивании в дистиллированной воде. Полученный раствор с концентрацией 1.4 моль · л–1 отфильтровывали на бумажном фильтре, вновь разогревали до ~ 80°C и добавляли небольшой избыток (относительно стехиометрического количества) раствора концентрированной HBr (> 46 мас. %, ОРТ “Химреактивы”). Раствор с выпавшими в осадок кристаллами PbBr2 далее охлаждали до комнатной температуры, после чего кристаллы отфильтровывали на стеклянном фильтре под вакуумом и обильно промывали этанолом (> 95 об. %, Самарамедпром) небольшими порциями. Остатки растворителя и промывной жидкости удаляли сушкой в вакуумном сушильном шкафу при 70°C в течение 30 минут. Во время всех описываемых процедур старались минимизировать попадание света на порошок PbBr2 во избежание фотолиза. Фазовый состав полученного продукта контролировали методом рентгенофазового анализа. Данные были получены в Kα излучении меди на дифрактометре XRD7000S (Shimadzu, Япония).
Указанные порошкообразные компоненты взвешивали в необходимых количествах и помещали в стандартные платинородиевые ДСК-тигли с рабочим объемом 0.45 см3. Массы смесей были не менее 0.42 г. Взвешивание выполняли на микровесах Secura 225D (Sartorius, Германия).
В процессе нагревания происходило плавление компонентов смеси и их смешение с образованием расплава. Соответствующие тепловые эффекты определяли интегрированием измеренного ДСК-сигнала с учетом базовой линии. Таким же образом определяли энтальпии плавления чистых исходных солей. Все измерения проводили трижды, каждый раз используя свежеприготовленный образец. Полученные величины мольных энтальпий усредняли. Расширенную неопределенность результата оценивали как удвоенное стандартное отклонение (доверительный интервал ≈ 95%).
Температуру плавления чистых компонентов определяли как экстраполированную температуру начала плавления по пересечению касательной, проведенной к фронтальной части пика плавления в точке перегиба, и экстраполированной базовой линии. Поскольку переход в жидкое состояние смесей, в отличие от чистых компонентов, происходит в широком интервале температур, а соответствующие эффекты на ДСК-кривых, как будет показано далее, имеют сложный вид и не могут быть разделены на составляющие вклады, суммарные тепловые эффекты относили к средней температуре интервала перехода.
Экспериментально определенные температуры, Tfus, и значения суммарных энтальпий плавления смесей или чистых компонентов, отнесенные к данным температурам, ΔfusHx,T, использовали в дальнейших расчетах энтальпии смешения расплавов.
ОБСУЖДЕНИЕ РЕЗУЛЬТАТОВ
На рис. 1 в качестве примера представлены типичные ДСК-кривые смесей CsCl–PbCl2 различного состава. Для смесей CsBr–PbBr2 получены аналогичные результаты. Видно, что полученные кривые имеют сложный характер с несколькими пиками, из которых собственно к плавлению относится последний, остальные же характеризуют различные физические и химические превращения, протекающие в твердой смеси при нагревании.
Рис. 1. ДСК-кривые плавления смесей (1–ξ) CsCl–ξPbCl2 различного состава. Звездочкой отмечен фазовый переход в CsCl.
В частности, CsCl претерпевает фазовый переход в исследуемой области температур. По этой причине термодинамические характеристики фазового перехода в CsCl необходимо учитывать при дальнейшем расчете. Пик на ДСК-кривой, соответствующий этому переходу из низкотемпературной (b. c.c, Pm3m) в высокотемпературную (f. c. c., Fm3m) модификацию CsCl, виден на рис. 1 (ξ = 0) слева от пика плавления CsCl. Определенные в данной работе температура, Ttr = (748.6 ± 0.8) К, и энтальпия, ΔtrH°CsCl = (3.09 ± 0.04) кДж моль–1, этого фазового перехода неплохо согласуются с литературными данными [7–10].
Ввиду сложного характера различных превращений, протекающих при нагреве и плавлении смесей CsX и PbX2 и наблюдаемых на ДСК-кривых (см. рис. 1), целесообразно определить общую теплоту суммарного процесса, характеризующего переход от исходной механической смеси бинарных галогенидов к гомогенному расплаву. Этот процесс можно записать как
, (2)
где “тв.” для всех галогенидов кроме CsCl соответствует наиболее устойчивой (единственной) полиморфной модификации в твердом состоянии, а для CsCl – его низкотемпературной модификации (Pm3m), а “распл” соответствует состоянию галогенида в смешанном расплаве состава ξ. Энтальпию процесса (2), ΔfusHx,T, определяли как сумму интегралов всех наблюдаемых на ДСК-кривых эффектов в определенных температурных диапазонах ΔTfus. Полученные таким образом величины ΔfusHx,T и ΔTfus представлены в табл. 1. Необходимо также отметить, что стандартные энтальпии и температуры плавления чистых солей, определенные в настоящей работе, хорошо согласуются с величинами, приведенными в литературе [8–10].
Таблица 1. Энтальпии, ΔfusHx,T, и температуры, Tfus, перехода в жидкое состояние (2) исследованных смесей CsX–PbX2 (X=Cl, Br)
ξPbX2 | ΔfusHx,T, кДж моль–1 | U(ΔfusHx,T)*, кДж моль–1 | Tfus, K | U(Tfus) или ΔTfus**, K |
X= Cl | ||||
0.0 | 23.2*** | 0.1 | 917.3 | 0.4 |
0.05 | 20.0 | 1.2 | 808 | 214 |
0.1 | 19.7 | 1.4 | 795 | 189 |
0.15 | 16.3 | 1.5 | 781 | 160 |
0.2 | 13.3 | 1.3 | 769 | 136 |
0.25 | 13.5 | 1.1 | 789 | 192 |
0.3 | 12.0 | 0.7 | 794 | 188 |
0.4 | 11.6 | 0.9 | 797 | 194 |
0.5 | 11.1 | 0.7 | 799 | 198 |
0.6 | 14.1 | 1.0 | 790 | 178 |
0.7 | 16.1 | 1.9 | 764 | 125 |
0.8 | 16.9 | 0.9 | 759 | 116 |
0.85 | 19.2 | 1.9 | 740 | 80 |
0.9 | 19.6 | 1.4 | 737 | 64 |
0.95 | 21.3 | 2.1 | 742 | 82 |
1.0 | 23.2 | 0.1 | 771.2 | 0.2 |
X= Br | ||||
0.0 | 22.1 | 0.1 | 910.3 | 0.2 |
0.1 | 15.6 | 1.2 | 759 | 291 |
0.2 | 11.8 | 1.2 | 719 | 233 |
0.3 | 7.9 | 0.6 | 697 | 174 |
0.4 | 7.3 | 0.6 | 719 | 234 |
0.5 | 7.9 | 0.5 | 734 | 263 |
0.6 | 9.5 | 0.5 | 718 | 232 |
0.7 | 11.7 | 1.0 | 700 | 196 |
0.8 | 11.3 | 0.4 | 642 | 77 |
0.9 | 13.0 | 1.1 | 635 | 63 |
0.95 | 14.1 | 1.0 | 634 | 61 |
1.0 | 16.3 | 0.1 | 644.1 | 0.1 |
* Расширенная неопределенность энтальпии перехода в жидкое состояние (доверительная вероятность ≈ 95%).
** Для чистых компонентов приведена расширенная неопределенность температуры плавления U (Tfus) (доверительная вероятность ≈ 95%), для смесей – ширина интервала перехода в жидкое состояние ΔTfus.
*** Включает энтальпию фазового перехода b. c. c. CsCl в f. c. c. CsCl (3.09 ± 0.04) кДж моль–1 при (748.6 ± 0.8) К и энтальпию плавления высокотемпературной модификации f. c. c. CsCl (20.1 ± 0.1) кДж моль–1 при (917.3 ± 0.4) К.
Энтальпия процесса (2), ΔfusHx,T, связана с молярной энтальпией смешения расплавов при температуре T, ΔmixHT, следующим образом:
. (3)
где ξ, ΔfusH°PbX2, T и ΔtrH°CsX, T – мольная доля галогенида PbX2 (X=Cl, Br) в расплаве и молярные энтальпии плавления исходных компонентов при температуре T, соответственно. Чтобы получить в результате расчетов по уравнению (3) зависимость ΔmixHT (ξ) при одной температуре, энтальпии перехода компонентов и смесей в жидкое состояние были также пересчитаны к одинаковой температуре, и в качестве таковой была выбрана 938.15 К. Этот выбор обусловлен удобством сопоставления с результатами прямых измерений для расплавов CsCl–PbCl2, выполненных Маккарти и Клеппой [11] методом калориметрии смешения. При пересчете теплоемкости исходной механической смеси твердых солей и расплава рассчитывали как сумму теплоемкостей компонентов (с учетом их мольной доли) в твердом или жидком состоянии соответственно. Таким образом,
, (4)
где значение приращения энтальпии для пересчета ΔfusHx,T на температуру 938.15 K равно
. (5)
Теплоемкости соответствующих солей брали по данным [10]. Полученные значения энтальпий ΔfusH938.15 и рассчитанные по уравнению (3) энтальпии смешения при 938.15 К суммированы в табл. 2.
Таблица 2. Энтальпии перехода в жидкое состояние, ΔfusHx,938.15, исследованных смесей CsX–PbX2 (X=Cl, Br) при 938.15 К и рассчитанные по уравнению (3) энтальпии смешения расплавов, ΔmixH938.15
ξPbX2 | ΔcorrH* | ΔfusHx,938 | U(ΔfusHx,938)** | ΔmixH938 | U(ΔmixH938)** |
кДж · моль–1 | |||||
X= Cl | |||||
0.0 | 0.27 | 23.5*** | 0.1 | 0.0 | |
0.05 | 1.77 | 21.8 | 1.2 | –1.8 | 1.2 |
0.1 | 1.98 | 21.7 | 1.4 | –2.1 | 1.4 |
0.15 | 2.23 | 18.5 | 1.5 | –5.4 | 1.5 |
0.2 | 2.44 | 15.8 | 1.3 | –8.3 | 1.3 |
0.25 | 2.18 | 15.6 | 1.1 | –8.5 | 1.1 |
0.3 | 2.12 | 14.1 | 0.7 | –10.2 | 0.7 |
0.4 | 2.14 | 13.7 | 0.9 | –10.9 | 0.9 |
0.5 | 2.17 | 13.3 | 0.7 | –11.6 | 0.7 |
0.6 | 2.40 | 16.5 | 1.0 | –8.6 | 1.0 |
0.7 | 2.95 | 19.0 | 1.9 | –6.4 | 1.9 |
0.8 | 3.13 | 20.0 | 0.9 | –5.7 | 0.9 |
0.85 | 3.56 | 22.7 | 1.9 | –3.1 | 1.9 |
0.9 | 3.66 | 23.3 | 1.4 | –2.7 | 1.4 |
0.95 | 3.61 | 24.9 | 2.1 | –1.2 | 2.1 |
1.0 | 3.05 | 26.3 | 0.1 | 0.0 | |
X= Br | |||||
0 | 0.48 | 22.6 | 0.1 | 0.0 | |
0.1 | 3.40 | 19.0 | 1.2 | –3.4 | 1.2 |
0.2 | 4.08 | 15.9 | 1.2 | –6.3 | 1.2 |
0.3 | 4.40 | 12.3 | 0.6 | –9.7 | 0.6 |
0.4 | 3.81 | 11.1 | 0.6 | –10.8 | 0.6 |
0.5 | 3.37 | 11.3 | 0.5 | –10.4 | 0.5 |
0.6 | 3.55 | 13.1 | 0.5 | –8.4 | 0.5 |
0.7 | 3.76 | 15.4 | 1.0 | –5.9 | 1.0 |
0.8 | 4.81 | 16.1 | 0.4 | –5.0 | 0.4 |
0.9 | 4.81 | 17.8 | 1.1 | –3.1 | 1.1 |
0.95 | 4.76 | 18.9 | 1.0 | –2.0 | 1.0 |
1 | 4.46 | 20.7 | 0.1 | 0.0 | |
* Приращение энтальпии, рассчитанное по уравнению (5), для пересчета от температуры эксперимента Tfus (см. табл. 1) к температуре 938.15 К.
** Расширенная неопределенность (доверительная вероятность ≈ 95%).
*** Включает энтальпию фазового перехода (3.09±0.04) кДж моль–1 при (748.6 ± 0.8) К, т. е. соответствует энтальпии плавления низкотемпературной модификации CsCl (b. c.c, Pm3m).
Концентрационные зависимости энтальпии смешения в обеих исследованных системах в сравнении друг с другом и с данными Маккарти и Клеппы [11] приведены на рис. 2. Видно хорошее согласие результатов, полученных для системы CsCl–PbCl2 в настоящей работе, с независимо определенными в [11]. Кроме того, энтальпии смешения в бромидной и хлоридной системах, как видно из рис. 2, в пределах погрешности совпадают.
Рис. 2. Энтальпия смешения расплавов CsX–PbX2 (X=Cl, Br) при 938.15 К. Точки – экспериментальные результаты настоящей работы и [11], пунктирная линия – расчет по уравнению (8).
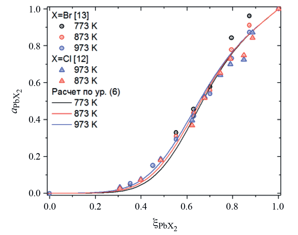
О близости характера взаимодействия компонентов исследованных хлоридных и бромидных расплавов CsX–PbX2 (X=Cl, Br) также свидетельствуют и практически одинаковые активности компонентов. В качестве примера на рис. 3 показаны активности галогенидов свинца по данным [12, 13]. Там же показаны активности, рассчитанные по уравнению:
, (6)
где и – избыточные парциальные молярные энтальпия и энтропия галогенида свинца в расплаве, а ξ – его мольная доля.
Рис. 3. Активность галогенидов свинца в расплавах (1–ξ) CsX–ξPbX2 (X=Cl, Br). Точки – экспериментальные данные [12, 13], линии – расчет по (6).
В первом приближении при расчетах по уравнению (6) вкладом избыточной парциальной молярной энтропии пренебрегали, предполагая, что основной вклад энтальпийный, который рассчитывали из концентрационных зависимостей энтальпии смешения следующим образом:
. (7)
Энтальпию смешения, в свою очередь, представляли в виде:
. (8)
Коэффициенты в уравнении (8) определяли методом нелинейной регрессии по алгоритму Левенберга–Марквардта. Поскольку, как отмечено выше, в пределах погрешности определения энтальпии смешения в хлоридной и бромидной системах одинаковы, минимизацию суммы квадратов отклонений выполняли на объединенном массиве данных. Результирующая расчетная линия с коэффициентами: a = –27313.9; b = –24545.2; c = –32964.7; d = 46697.0 – показана на рис. 2 пунктиром. Коэффициент детерминации R2 = 0.987.
Как видно из рис. 3, в целом достигается неплохое согласие экспериментальных и расчетных значений активностей галогенидов PbX2 (X=Cl, Br), что также служит дополнительным подтверждением корректности полученных результатов по энтальпиям смешения.
Суммируя полученные результаты, можно сделать вывод о том, что предложенный метод определения энтальпий смешения расплавов позволяет получать достаточно надежные данные, будучи при этом методически простым и не требующим специфического некоммерческого оборудования или особых условий проведения эксперимента. Этим методом впервые определены энтальпии смешения в расплавах CsBr–PbBr2, показана их близость к таковым для расплавов CsCl–PbCl2.
Работа выполнена при поддержке Российского научного фонда (проект № 24-23-00492).
About the authors
Д. С. Цветков
Уральский федеральный университет
Author for correspondence.
Email: Dmitry.Tsvetkov@urfu.ru
Russian Federation, Екатеринбург, 620002
Д. А. Малышкин
Уральский федеральный университет
Email: Dmitry.Tsvetkov@urfu.ru
Russian Federation, Екатеринбург, 620002
М. О. Мазурин
Уральский федеральный университет
Email: Dmitry.Tsvetkov@urfu.ru
Russian Federation, Екатеринбург, 620002
В. В. Середа
Уральский федеральный университет
Email: Dmitry.Tsvetkov@urfu.ru
Russian Federation, Екатеринбург, 620002
А. Ю. Зуев
Уральский федеральный университет
Email: Dmitry.Tsvetkov@urfu.ru
Russian Federation, Екатеринбург, 620002
References
- Вагнер К. Термодинамика сплавов, Государственное научно-техническое издательство литературы по черной и цветной металлургии, Москва, 1957.
- Топор Н.Д., Супоницкий Ю.Л. // Успехи химии. 1984. Т. LIII. В. 9. С. 1425.
- Komarek K.L. // Ber. Bunsenges. Phys. Chem. 1983. V. 87. P. 709.
- Ipser H., Mikula A., Katayama I. // CALPHAD: Computer Coupling of Phase Diagrams and Thermochemistry. 2010. V. 34. P. 271.
- Capelli E., Beneš O., Beilmann M., Konings R.J.M. // J. Chem. Thermodynamics. 2013. V. 58. P. 110.
- Liang J., Jin Z. // Sol. RRL. 2017. V. 1. 1700086.
- Ubbelohde A.R.J.P., Woodward I. // Proc. R. Soc. Lond. A. 1951. V. 208. P. 158.
- База данных “Термические Константы Веществ”, https://www.chem.msu.ru/cgi-bin/tkv.pl?show=welcome.html
- Janz G.J., Slowick J.J. // Z. anorg. allg. Chem. 1990. V. 586. P. 166.
- Bale C.W. and Bélisle E. Fact-Web Suite of Interactive Programs. www.factsage.com
- McCarty F.G., Kleppa O.J. // J. Phys. Chem. 1964. V. 68. P. 3846.
- Bloom H., White M.S. // Aust. J. Chem. 1968. V. 21. P. 2793.
- Bloom H., White M.S. // Ibid. 1981. V. 34. P. 479.
Supplementary files





