Влияние функциональных групп модифицирующих хелатов на адсорбцию ароматических углеводородов поверхностью кремнезема
- Авторы: Пахнутова Е.А.1,2, Слижов Ю.Г.1
-
Учреждения:
- Томский государственный университет
- Тюменский индустриальный университет
- Выпуск: Том 98, № 11 (2024)
- Страницы: 139-147
- Раздел: ФИЗИЧЕСКАЯ ХИМИЯ ДИСПЕРСНЫХ СИСТЕМ И ПОВЕРХНОСТНЫХ ЯВЛЕНИЙ
- Статья получена: 19.03.2025
- Статья одобрена: 19.03.2025
- Статья опубликована: 15.11.2024
- URL: https://journals.rcsi.science/0044-4537/article/view/284139
- DOI: https://doi.org/10.31857/S0044453724110162
- EDN: https://elibrary.ru/EYJYRW
- ID: 284139
Цитировать
Аннотация
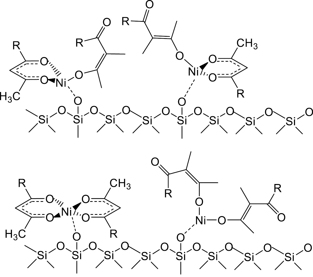
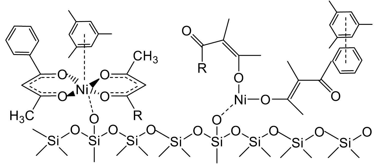
Получены адсорбенты на основе кремнезема Силипора 200, нековалентно модифицированные комплексными соединениями никеля (II) с ацетилацетоном, бензоилацетоном, ацетоуксусным эфиром. Исследовано взаимодействие паров ароматических соединений с поверхностью кремнезема методом газовой хроматографии: рассчитаны константы Генри, определены термодинамические характеристики адсорбции исследуемого класса соединений на основе хроматографических данных, вклады модифицирующих добавок в удерживание адсорбатов. Изучено влияние функциональных групп лиганда в хелатном комплексе на дифференциальную молярную теплоту адсорбции и изменение энтропии адсорбции. Показана возможность применения сорбентов для газохроматографического разделения сложных смесей органических соединений.
Полный текст
Об авторах
Е. А. Пахнутова
Томский государственный университет; Тюменский индустриальный университет
Автор, ответственный за переписку.
Email: pakhnutovae@mail.ru
Россия, Томск; Тобольск
Ю. Г. Слижов
Томский государственный университет
Email: pakhnutovae@mail.ru
Россия, Томск
Список литературы
- Лисичкин Г.В. Химия привитых поверхностных соединений. М.: Физматлит, 2003. 592 с.
- Rogachev A.Y., Mironov A.V., Troyanov S.I.et al // J. of Molecular Structure. 2006. V. 789. P. 187.
- Фаустова Ж.В., Слижов Ю.Г., Матвеева Т.Н. // Журн. прикл. химии. 2020. Т. 93. № 8. С. 1170.
- Tayyari S.F., Emampour J.S., Vakili M., et al. // J. of Molecular Structure. 2006. Т. 794. С. 204.
- Онучак Л.А., Бурматнова Т.С., Спиряева Е.А. и др. // Журн. физ. химии. 2012. Т. 86. № 8. С. 1424. (Onuchak L.A., Burmatnova T.S., Spiryaeva E.A. et al. // Russ. J. Phys. Chem. A. 2012. V. 86. № 8. P. 1308).
- Rodinkov O.V., Vagner E.A., Bugaichenko A.S., Moskvin L.N. // J. of Analytical Chemistry. 2019. V. 9. P. 877.
- Askurava A.S., Sinyaeva L.A., Belanova N.A., et al. // Rus. J. of Phys. Chem. A. 2017. V.91. № 6. P. 1121.
- Ларионов О. Г, Петренко В.В., Платонова Н.П., и др.// Журн. физ. химии. 1991. Т. 65. С. 1671.
- Рощина Т.М., Шония Н.К.// Там же. 2019. Т. 93. № 10. С. 1529. (Roshchina T.M., Shoniya N.K. //Russ. J. Phys. Chem. A. 2019. Т. 93. № 10. С. 193).
- Яшкин С.Н., Яшкина Е.А., Светлов Д.А., Мурашов Б.А. // Журн. физ. химии. Т. 93. № 12. С. 1851.
- Авгуль Н.Н., Киселев А.В., Пошкус Д.П. Адсорбция газов и паров на однородных поверхностях. М.: Химия, 1975. 384 с.
- Пахнутова Е.А., Слижов Ю.Г. // Сорбционные и хроматографические процессы. 2016. Т. 16. № 4. С. 280–289.
- Минакова Т.С. Адсорбционные процессы на поверхности твердых тел. Учебное пособие. Томск: Изд-во Том. ун-та, 2007. 284 с.
- Рощина Т.М., Жирякова М.В., Тифлова Л.А., Ермилов А.Ю. Практикум по физической химии. Методическое пособие для студентов МГУ. Москва, 2010. 91 с.
- Харланов А.Н., Шилина М.И. Инфракрасная спектроскопия для исследования адсорбционных, кислотных и основных свойств поверхности гетерогенных катализаторов. Учебное пособие. М.: Моск. Гос. Ун-т им. М.В. Ломоносова, 2011. 110 с.
- Belova N.V., Sliznev V.V., Sliznev D. // J. of Molecular Structure. 2017. V. 1132. P. 34.
- Кириллова Е.А., Козьминых В.О., Козьминых Е.Н. // Башкирский хим. журн. 2010. Т. 17. № 3. С. 72–75.
- Permana Y., Shimazu Sh., Ichikuni N., Uematsu T. // Catalysis Communications. 2005. V. 6. P. 426.
- Gus′kov V. Yu., Sukhareva D.A., Salikhova G.R. et al. // Russ. J. Phys. Chem. A. 2017. V. 91. № 7. P. 1319.
- Сухарева Д.А., Гуськов В.Ю., Кудашева Ф.Х., и др.// Сорбц. и хром. процессы. 2016. Т. 16, № 2.С. 183.
- Пахнутова Е.А., Слижов Ю.Г. // Неорган. материалы. 2015. Т. 51. № 6. С. 634. (Pakhnutova E.A., Slizhov Y.G. // Inorg. Materials. 2015. Т. 51. № 6. С. 572–577).
Дополнительные файлы












