Синтез, микроструктура и свойства керамики NaNbO₃–LiNbO₃, допированной фторидом лития
- Authors: Калева Г.M.1, Политова E.Д.1, Иванов С.A.2, Мосунов A.В.2, Стефанович С.Ю.2, Садовская Н.В.3
-
Affiliations:
- Федеральный исследовательский центр химической физики им. Н. Н. Семенова РАН
- Московский государственный университет им. М. В. Ломоносова
- Федеральное государственное бюджетное учреждение “Национальный исследовательский центр “Курчатовский институт”
- Issue: Vol 98, No 11 (2024)
- Pages: 108-115
- Section: STRUCTURE OF MATTER AND QUANTUM CHEMISTRY
- Submitted: 19.03.2025
- Accepted: 19.03.2025
- Published: 15.11.2024
- URL: https://journals.rcsi.science/0044-4537/article/view/284134
- DOI: https://doi.org/10.31857/S0044453724110122
- EDN: https://elibrary.ru/EYRRVC
- ID: 284134
Cite item
Full Text
Abstract
Методом твердофазного синтеза получены однофазные керамические образцы новых составов (1-x)NaNbO₃ – хLiNbO₃ (x = 0, 0.05, 0.10, 0.15), модифицированные добавкой фторида лития, и изучены их кристаллическая структура, микроструктура, диэлектрические и нелинейные оптические свойства. Выявлено уменьшение среднего размера кристаллитов (областей когерентного рассеяния) от 108.1 нм до 42.8 нм, рассчитанного с использованием взвешенной по объему функции распределения кристаллитов по размерам. Установлено повышение температуры фазового перехода и ослабление нелинейных оптических свойств по мере роста содержания катионов лития в образцах.
Full Text
ВВЕДЕНИЕ
Применение диэлектрических и пьезоэлектрических керамических материалов в современном мире охватывает значительную часть отраслей, включая авиа- и космическую технику, атомную и автомобильную промышленности, приборостроение, металлургию, медицину и информационную сферу деятельности. Однако на протяжении нескольких десятилетий основную часть таких материалов до сих пор составляют свинецсодержащие составы на основе цирконата-титаната свинца Pb(Zr, Ti)O₃ (ЦТС), представляющие угрозу окружающей среде ввиду высокой токсичности свинца.
В свете новых требований экологической безопасности к применяемым технологиям и материалам Евросоюзом в 2003 году на законодательном уровне приняты директивы “Об ограничении использования ряда опасных веществ в электрическом и электронном оборудовании”, в которых свинец, ртуть, кадмий, шестивалентный хром, ряд органических соединений определены как основные носители угрозы экологической безопасности при переработке, утилизации и неправильном использовании электронного оборудования [1].
Серьезные экологические проблемы и принятые Евросоюзом директивы инициировали поиск и создание альтернативных экологически безопасных не содержащих свинец пьезоэлектриков с функциональными параметрами, сравнимыми с характеристиками применяемых свинецсодержащих материалов. Пьезоэлектрики нового поколения, способные во всех технологических применениях заменить свинецсодержащие составы ЦТС должны характеризоваться высокими значениями температуры Кюри (TC > 650 К), остаточной поляризации и пьезоэлектрических характеристик, а также высокой стабильностью функциональных параметров [2–5].
Целый ряд бессвинцовых керамических систем рассматривается в настоящее время в качестве потенциальных кандидатов для замены свинецсодержащей керамики в широком спектре ее применений. К ним относятся составы на основе титаната натрия-висмута (Na0.5Bi0.5) TiO₃, ниобата калия-натрия (K, Na)NbO₃, ниобата стронция-бария Sr0.5Ba0.5Nb2O6, титаната бария BaTiO₃, ниобата натрия NaNbO₃, феррита висмута BiFeO₃ и другие [6–10].
Одним из наиболее перспективных кандидатов, способных заменить свинецсодержащую пьезоэлектрическую керамику, является ниобат натрия NaNbO₃ – антисегнетоэлектрик с температурой Кюри 360°С, характеризующийся ромбической структурой типа перовскита. Ниобат натрия отличается рядом преимуществ. Он не содержит токсичных и летучих элементов в составе, что делает его безопасным и сравнительно легким в получении. К существенным преимуществам ниобата натрия также относятся низкая стоимость и низкое значение рентгеновской плотности (4.55 г/см3), что является важным в свете практического применения, в частности, обеспечения снижения материальных затрат и веса устройств на его основе. NaNbO₃ претерпевает шесть фазовых переходов различной природы, пять из которых наблюдаются в высокотемпературной области [10–12].
Среди различных твердых растворов на основе NaNbO₃ система NaNbO₃ – LiNbO₃ (NN-LN) вызывает значительный интерес ввиду того, что соединение LiNbO₃ является сегнетоэлектриком, характеризующимся ромбоэдрической структурой, проявляющим отличные электрооптические свойства. LiNbO₃ претерпевает фазовый переход 2-го рода из сегнетоэлектрической в параэлектрическую фазу с температурой Кюри ~ 1200°С [13].
Следует отметить, что система NN-LN характеризуется уникальным сочетанием свойств, таких как низкая плотность (~ 4.5 г/см3), высокие значения пьезоэлектрических характеристик, высокая акустическая скорость (~ 6 км/с), низкие значения диэлектрической проницаемости при комнатной температуре (~ 100), широкий диапазон добротности (от десяток до сотен) [14].
В этой связи твердые растворы NN-LN представляются перспективными как в плане фундаментальных исследований, учитывая температурно-зависимый характер фазовой диаграммы простого перовскита с одной стороны и ильменита с другой, так и для пьезоэлектрических применений, принимая во внимание сегнетоэлектрическое, пьезоэлектрическое, пироэлектрическое и электрооптичекое поведение твердых растворов NN-LN.
Влияние концентрации катионов Li на структурные, диэлектрические пьезоэлектрические свойства твердых растворов NN-LN изучали в ряде работ [13–16]. Установлено, что их диэлектрическое и пьезоэлектрическое поведение определяется главным образом содержанием катионов Li в образцах. Однако значения температуры Кюри и других характеристик различаются в литературных данных, по-видимому, вследствие различий в условиях синтеза керамических образцов.
Возможность улучшения пьезоэлектрических свойств бессвинцовых твердых растворов обусловлена наличием морфотропных фазовых границ (МФГ) ввиду того, что превосходные пьезоэлектрические свойства, выражающиеся в наиболее высоких значениях пьезоэлектрического коэффициента d33 и коэффициента электромеханической связи k, присущи составам из области МФГ. В результате исследований системы NN-LN установлено, что существуют две МФГ: при х=0.01 и при x=0.11–0.125 [13]. Составы из области второй МФГ наиболее перспективны в плане технологических применений, поскольку в них потенциально возможна реализация наиболее высоких пьезоэлектрических параметров.
Целесообразно отметить, что введение легкоплавких добавок в небольшом количестве сверх стехиометрии, является одним из наиболее эффективных подходов к оптимизации функциональных свойств оксидных материалов, в частности, обеспечивает интенсификацию процесса фазообразования, снижение температуры спекания, сохранение стехиометрии состава, формирование оптимальной микроструктуры и улучшение свойств керамики [17, 18]. Одной из таких добавок является фторид лития, температура плавления которого составляет 848,2°С. Указанная добавка многократно использовалась нами при синтезе самых различных керамических материалов: как высокотемпературных сверхпроводников, ионных проводников, так и диэлектриков. В наших работах по синтезу керамик с использованием добавки фторида лития был отмечен положительный эффект, выражающийся в улучшении свойств, в сравнении с недопированными составами.
Целью данной работы являлось получение методом твердофазного синтеза керамических образцов новых перспективных составов (1-x)NaNbO₃ – хLiNbO₃ (x = 0; 0.05; 0.10; 0.15) (NN-LN), модифицированных добавкой фторида лития, и изучение их кристаллической структуры, микроструктуры, диэлектрических и нелинейных оптических свойств.
Достижение поставленной цели предусматривало решение следующих задач:
- – определение оптимального режима получения керамических образцов указанных составов методом твердофазного синтеза путем варьирования температуры и длительности высокотемпературного отжига;
- – рентгенофазовый анализ образцов, определение симметрии основной фазы;
- – изучение микроструктуры и тонкой структуры синтезированных керамик, определение среднего размера кристаллитов;
- – проведение диэлектрических измерений и измерений генерации второй гармоники лазерного излучения (ГВГ);
- – установление корреляций: химический состав – условия получения – фазовый состав – микроструктура – диэлектрические и нелинейные оптические свойства.
ЭКСПЕРИМЕНТАЛЬНАЯ ЧАСТЬ
Керамические образцы в системе (1-x)NaNbO₃ – хLiNbO₃ (x = 0, 0.05, 0.10, 0.15), модифицированные добавкой фторида лития LiF, получены методом твердофазного синтеза двукратным отжигом. В качестве исходных реактивов использовали карбонаты натрия Na₂CO₃ (“ч. д. а.”) и лития Li₂CO₃ (“ч. д. а.”) и оксид ниобия Nb₂O₅ (“ос.ч.”). Гомогенизированные стехиометрические смеси прессовали и отжигали в интервале температур 1073–1373 К с промежуточными перетираниями в среде этилового спирта. Образцы базового состава (1-x)NaNbO₃ – хLiNbO₃ (x = 0, 0.05, 0.10, 0.15) синтезировали при Т1=1073 К (12 ч). После первого отжига в шихту вводили сверхстехиометрическую добавку фторида лития LiF (“ос.ч.”) в количестве 2 мас. %, перетирали и прессовали в диски диаметром 10 мм и толщиной 1–1.5 мм. Температура и длительность спекания на воздухе образцов составляли T2 = 1373 К, t = 1 ч.
Фазовый состав и структуру керамик изучали при комнатной температуре методом рентгенофазового анализа (Rigaku Smartlab SE, CuKα-излучение, режимы съемки дифрактограмм: шаг 0.02–0.05 град, накопление 1–10 с в интервале углов 5–80 град) Инструментальные поправки были сделаны с помощью корундового стандарта (NIST Al2O₃).
Поскольку рентгендифракционный метод оказывается весьма чувствительным к размерам областей когерентного рассеяния (ОКР) (кристаллитам), для описания тонкой структуры исследуемых керамик необходим тщательный анализ данных порошковой дифракции. В данной работе их средние размеры обсуждаются с помощью использования взвешенной по объему функции распределения кристаллитов по размерам G (L) [19–21], которая может быть интерпретирована как плотность вероятности нахождения кристаллита предполагаемого размера в анализируемом образце, взятого с весом, пропорциональным его объему.
Интенсивность отражения измеряли методом пошагового сканирования с переменным шагом (в зависимости от интенсивности отражений) для всех протестированных образцов; измерения проводились в интервале углов до – 2.5 и +2.5 град от максимального значения интенсивности пика.
Экспериментальные интенсивности были скорректированы с учетом коэффициента поляризации Лоренца, а фон удален с предполагаемым его линейным изменением. Поправки для инструментального и спектрального расширения были сделаны с помощью корундового стандарта (Al₂O₃). Исправленные дифракционные линии были получены с использованием метода деконволюции LWL (Луэра–Вейгеля–Лабутена) [19–21]. Метод был реализован в компьютерной программе профильного анализа PROFIT [22]. Из сопоставления измеренных данных интенсивности для образца и стандарта с помощью функции псевдо-Фойгта был извлечен соответствующий правильный профиль линии f(x).
Из сопоставления измеренных наборов интенсивностей для образца и эталона с помощью функции псевдо-Фойгта был извлечен соответствующий правильный профиль линии с введенной поправкой на инструментальное уширение. Функции распределения по размерам G(L) были восстановлены из правильного профиля, следуя процедуре, предложенной в [19–21] и подробно описанной в [23, 24].
Метод генерации второй гармоники (ГВГ) лазерного излучения применяли для констатации нецентросимметричности строения получаемой при синтезе керамики, а также для обнаружения возможных переходов из нецентросимметричного состояния в центросимметричное, где сигнал второй гармоники либо отсутствует, либо значительно ослаблен. Исследования ГВГ проводили по классическому “порошковому” методу Курца и Перри [25], в котором, однако, регистрация излучения второй гармоники осуществлялась не по схеме на “просвет” как в [25], а “на отражение”. Эта схема имеет преимущество, так как позволяет исследовать непрозрачные керамические образцы, а в случае порошкообразных объектов устраняет зависимость сигнала от толщины образца, который здесь считается полубесконечным [26]. В качестве источника излучения использовался ИАГ: Nd-лазер Minilite-1 с длиной волны lw =1.064 мкм, работающий в режиме модуляции добротности с частотой повторения 10 Гц, мощностью импульса около 0.1 МВт и длительностью около 3 нс. Оксидный состав образцов и отсутствие в нем переходных элементов обеспечили бесцветность керамики и исключили необходимость вводить поправку на поглощение света на длине волны излучения второй гармоники, lw =0.53 мкм. Микронный размер зерен керамики делал целесообразным использовать в качестве эталона сравнения порошок α-кварца с дисперсностью 3–5 мкм. В работе проведена оценка величины спонтанной поляризации Ps образцов представленным методом генерации второй гармоники лазерного излучения, измеряемый сигнал которого q=I₂ω/I₂ω(SiO₂) (I₂ω(SiO₂) – интенсивность второй гармоники лазерного излучения мелкого порошка кварца a-SiO₂, используемого в качестве репера при измерениях второй гармоники на порошках), пропорционален величине спонтанной поляризации Ps: q ~ PS2 [25].
Диэлектрические свойства керамик изучали методом диэлектрической спектроскопии (мост переменного тока LCR-meter Agilent 4284 A (Япония), 1 В) в атмосфере воздуха в интервале температур 300–1000 K на переменном токе в диапазоне частот 100 Гц – 1 МГц. В качестве электродов на образцы керамик толщиной 1–1.4 мм и диаметром 8–9 мм наносили содержащую серебро пасту Leitsilber 200 (Hans Wolbring GmbH).
Микроструктуру контролировали методом растровой электронной микроскопии высокого разрешения с использованием микрорентгеноспектрального анализатора (JEOL JSM-7401F, Analysis Station JED-2300, Япония).
ОБСУЖДЕНИЕ РЕЗУЛЬТАТОВ
Согласно данным рентгенофазового анализа, в изученных образцах при отжиге при температуре T1 = 1073 K (12 ч) наблюдается формирование основной фазы со структурой перовскита. В результате спекания образцов при температуре T2 = 1373 К (1 ч), получены однофазные образцы (рис. 1). Дифрактограммы образцов с x = 0.10, 0.15 подобны представленной на рис. 1б дифрактограмме. Образцы характеризуются ромбической кристаллической структурой. Кроме того, полученные однофазные образцы с x = 0.05, 0.10, 0.15 характеризуются наличием текстуры типа 00l на поверхности керамики, что выражается в усилении дифракционных пиков с hkl, соответствующими 00l (рис. 1б). Уже на этапе синтеза следует отметить положительный эффект допирования керамики фторидом лития, заключающийся в значительном снижении температуры спекания (на 150 К) в сравнении с таковой в случае недопированных образцов того же состава, что существенно в технологическом плане при рассмотрении перспектив применения такой керамики.
Рис. 1. Дифрактограммы образцов NN-LN, допированных LiF, с x = 0 (а), 0.05 (б).
Чтобы оценить распределение кристаллитов по размерам для полученных керамических образцов был выполнен анализ профиля линии выбранных пиков в низкоугловой области дифрактограммы. Из-за отсутствия в протестированных образцах удобных одиночных отражений высших порядков дифракции от одного и того же набора кристаллических плоскостей, не представлялось возможным разделить вклад в расширение линий от влияния размерного эффекта и искажений, связанных с микронапряжениями. Однако отсутствие асимметрии профиля со стороны малых углов позволили высказать предположение об отсутствии последнего эффекта.
Следует отметить, что оценка геометрической формы кристаллитов вдоль основных кристаллографических направлений не была проведена из-за отсутствия требуемого набора отражений (h00), (0k0) и (00l).
Рис. 2. Кривые распределения областей когерентного рассеяния для твердых растворов NN-LN, допированных LiF, с x = 0 (а), 0.05 (б), 0.10 (в), 0.15 (г). Рассчитанный средний размер кристаллитов изменяется от 1081 Å (а) до 693 Å (б), 625 Å (в) и 428 Å (г).
Взвешенные по объему функции распределения кристаллитов по размерам G(L) вдоль [110] приведены для сравнения на рис. 2. Характерной особенностью всех полученных распределений по размерам является их унимодальность. В большинстве случаев такое распределение можно объяснить сходным механизмом образования частиц в процессе твердофазного синтеза. Установлено, что рассчитанный с использованием взвешенной по объему функции распределения кристаллитов по размерам средний размер кристаллитов, рассчитанный по отражению (110) (2θ= 22.5 град), уменьшается от 1081(30) Å (а) до 693(30) Å (б), 625(30) Å (в) и 428(30) Å (г) в допированных образцах с x = 0, 0.05, 0.10, 0.15 соответственно. Приведенные значения (в пределах стандартного отклонения в 30 Å) получены и при альтернативных вычислениях с использованием рефлексов (020) и (200), что может свидетельствовать о форме кристаллитов, близкой к сферической.
Следует заметить, что наличие структурного фазового перехода в системе NN-LN с увеличением х сопровождается уменьшением размера областей когерентного рассеяния с сохранением их сферической формы.
Рис. 3. Микроструктура образцов NN-LN с x = 0 (а), 0.05 (б) и образцов NN-LN, допированных LiF, с x = 0.05 (в), 0.15 (г). Масштабные полоски – 1 мкм (а– в) и 10 мкм (г).
В результате изучения микроструктуры образцов методом растровой электронной микроскопии высокого разрешения выявлено, что образцы керамик исходного состава NN-LN состоят преимущественно из зерен октаэдрической формы, размеры которых варьируются от 2–3 мкм до 8–10 мкм (рис. 3а, б), в то время как в допированных фторидом лития образцах наблюдается значительный рост зерен, увеличивающийся по мере повышения содержания катионов лития в образцах. Кроме того, в образцах исходного состава с х = 0 и х = 0.05 границы зерен четкие (рис. 3а, б), а в модифицированных образцах границы зерен округляются, что свидетельствует o возможном подплавлении кристаллитов в результате жидкофазного механизма спекания в присутствии легкоплавкой добавки (рис. 3в, г). Модифицирование керамики добавкой фторида лития приводит к увеличению среднего размера зерен до значений ~ 10–15 мкм в образцах с х = 0 и х = 0.05 и ~ 20–25 мкм в образцах с х = 0.10 и х = 0.15 (рис. 3в, г). Модифицированные образцы характеризуются плотной упаковкой зерен, что подтверждается высокими значениями плотности керамик (~95%).
Нелинейные оптические свойства образцов были измерены методом генерации второй гармоники лазерного излучения. Как и предполагалось, установлено, что все синтезированные образцы принадлежат к полярному классу веществ. Изученные образцы характеризуются наличием сигнала ГВГ лазерного излучения, пропорционального величине спонтанной поляризации, в широком температурном интервале, при этом интенсивность сигнала ГВГ q = I₂ω/I₂ω(SiO₂) допированных образцов керамики с х = 0 (q = 5200) многократно превышает значение q недопированных образцов того же состава (q = 40), что обусловлено увеличением размеров зерен керамики, учитывая тот факт, что, как показано в [25], интенсивность в порошках ГВГ квадратично растет с размером образующих их частиц. По мере замещения катионов натрия катионами лития наблюдается монотонное снижение интенсивности сигнала ГВГ и составляет q = 4800, 3800 и 2000 для образцов с x = 0.05, 0.10 и 0.15 соответственно. Регистрируемое уменьшение интенсивности сигнала ГВГ в синтезированных керамиках, по-видимому, связано с ухудшением условий эффекта ГВГ в допированных образцах, принимая во внимание влияние на ГВГ таких факторов, как изменение спонтанной поляризации, прямо связанной в сегнетоэлектриках с оптической нелинейностью второго порядка [27].
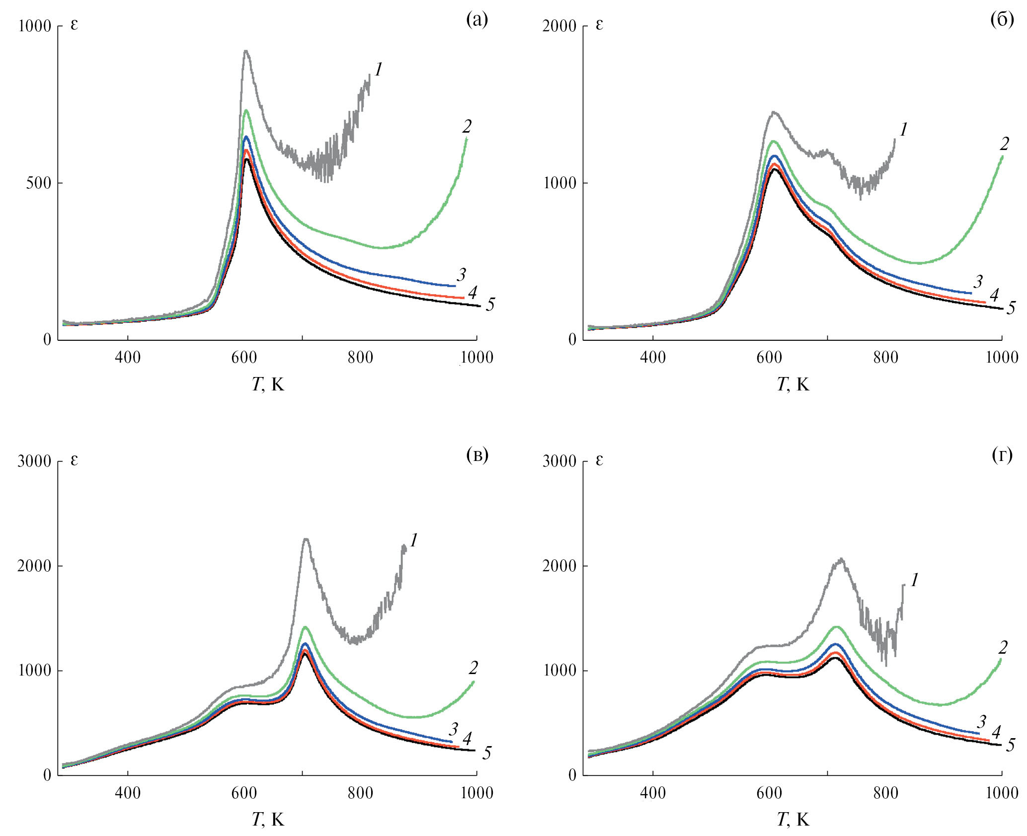
Рис. 4. Температурные зависимости диэлектрической проницаемости образцов NN-LN, допированных LiF, с x = 0 (а), 0.05 (б), 0.10 (в), 0.15 (г), измеренные на частотах 1 (1), 10 (2), 100 (3), 300 кГц (4), 1 МГц (5)
В результате диэлектрических измерений выявлены характерные для систем на основе ниобата натрия фазовые сегнетоэлектрические переходы, проявляющиеся как пики при TC ~ 600–710 K (температура Кюри TC) (рис. 4). При этом наблюдается тенденция повышения температуры Кюри по мере увеличения содержания катионов лития в образцах, что представля ется существенным в плане перспектив применения керамики, так как повышение значения TC материалов расширяет их рабочий интервал. Следует отметить, что в образцах с х = 0.10 и х = 0.15 помимо описанных выраженных максимумов диэлектрической проницаемости наблюдаются дополнительные максимумы в области 590–600 К. Описанное диэлектрическое поведение согласуется с литературными данными [13–15].
В допированных фторидом лития образцах установлено повышение значений диэлектрической проницаемости e при комнатной температуре по мере увеличения содержания катионов лития в образцах. Значения εRT составляют 50, 75, 100 и 210 для образцов с x = 0; 0.05; 0.10; 0.15 соответственно. Следует отметить, что повышение значений диэлектрической проницаемости при комнатной температуре может свидетельствовать о положительном эффекте осуществленного в данной работе модифицирования состава на пьезоэлектрические свойства керамики ниобата натрия, принимая во внимание существующую известную корреляцию величин диэлектрической проницаемости при комнатной температуре ert и пьезоэлектрического коэффициента d33 [28].
ЗАКЛЮЧЕНИЕ
Синтезированы однофазные керамические образцы новых составов (1–x)NaNbO₃ – хLiNbO₃ (x = 0, 0.05, 0.10, 0.15), модифицированные добавкой фторида лития, со структурой перовскита, и изучены их кристаллическая структура, микроструктура, диэлектрические и нелинейные оптические свойства. Установлено уменьшение среднего размера кристаллитов от 108.1 нм до 42.8 нм, рассчитанного с использованием взвешенной по объему функции распределения кристаллитов по размерам. По мере увеличения содержания катионов лития в образцах наблюдается повышение температуры фазового перехода, а также – ослабление нелинейных оптических свойств. Выявлено, что введение сверхстехиометрической добавки фторида лития приводит к снижению температуры спекания керамики, интенсифицирует процесс фазообразования и способствует уплотнению керамики.
Полученные результаты в сочетании с повышением значений диэлектрической проницаемости керамики новых составов подтверждают перспективы использования таких модифицированных материалов на основе ниобата натрия для разработки новых эффективных бессвинцовых материалов с пьезоэлектрическими свойствами.
БЛАГОДАРНОСТИ
Работа выполнена при поддержке Российского фонда фундаментальных исследований (Проект № 21-53-12005), за счет субсидии Минобрнауки, выделенной ФИЦ ХФ РАН на выполнение государственного задания по теме “Наноструктурированные системы нового поколения с уникальными функциональными свойствами” (регистрационный номер № 122040500071-0) и в рамках государственного задания НИЦ “Курчатовский институт”.
About the authors
Г. M. Калева
Федеральный исследовательский центр химической физики им. Н. Н. Семенова РАН
Author for correspondence.
Email: kaleva@nifhi.ru
Russian Federation, Москва, 119991
E. Д. Политова
Федеральный исследовательский центр химической физики им. Н. Н. Семенова РАН
Email: kaleva@nifhi.ru
Russian Federation, Москва, 119991
С. A. Иванов
Московский государственный университет им. М. В. Ломоносова
Email: kaleva@nifhi.ru
Russian Federation, Москва, 119991
A. В. Мосунов
Московский государственный университет им. М. В. Ломоносова
Email: kaleva@nifhi.ru
Russian Federation, Москва, 119991
С. Ю. Стефанович
Московский государственный университет им. М. В. Ломоносова
Email: kaleva@nifhi.ru
Russian Federation, Москва, 119991
Н. В. Садовская
Федеральное государственное бюджетное учреждение “Национальный исследовательский центр “Курчатовский институт”
Email: kaleva@nifhi.ru
Russian Federation, Москва, 119333
References
- Directive 2002/95/EC of the European Parliament and of the Council of 27 January 2003 on the restriction of the use of certain hazardous substances in electrical and electronic equipment // Official Journal of the European Union L 37. 2003. V. 46. P. 19. http://data.europa.eu/eli/dir/2002/95/oj
- Zheng T., Wu J., Xiao D., Zhu J. // Prog. Mat. Sci. 2018. V. 98. P. 552. https://doi.org/10.1016/j.pmatsci.2018.06.002
- Wang G., Lu Z., Li Y.et al. // Chem. Rev. 2021. V. 121. P. 6124. https://doi.org/10.1021/acs.chemrev.0c01264
- Li D., Zeng X., Li Z. et al. // J. Adv. Ceram. 2021. V. 10. № 4. P. 675. https://doi.org/10.1007/s40145-021-0500-3
- García J.E. // Materials. 2015. V. 8. P. 7821. https://doi.org/10.3390/ma8115426
- Yang Z., Du H., Jin L. and Poelman D. // J. Mater. Chem. A. 2021. V. 9. P. 18026. https://doi.org/10.1039/d1ta04504k
- Wu J. // J. Appl. Phys. 2020. V. 127 Art. № 190901. https://doi.org/10.1063/5.0006261
- Panda P., and B. Sahoo B. // Ferroelectrics. 2015. V. 474. P. 128. https://doi.org/10.1080/00150193.2015.997146.
- Panda P. // J. Mater. Sci. 2009. V. 44. P. 5049. https://doi.org/10.1007/s10853-009-3643-0.
- Ye J., Wang G., Zhou M.et al. // J. Mater. Chem. C. 2019. V. 12. Art. № 4. https://doi.org/10.1039/C9TC01414D.
- Koruza J., Tellier J., Malič B. et al. // J. Appl. Phys. 2010. V. 108. Art. № 113509. https://doi.org/10.1063/1.3512980
- Zhang M.-H., Zhao C., Fulanović L. et al. // Appl. Phys. Lett. 2021. V. 118. Art. № 132903. https://doi.org/10.1063/5.0043050
- Konieczny K., Czaja P. // Arch. Metall. Mater. 2017. V. 62. № 2. P. 539. https://doi.org/10.1515/amm-2017-0079
- Chaker C., Gharbi W.E., Abdelmoula N. et al. // J. Phys. and Chem. Solids. 2011. V. 72. P. 1140. https://doi.org/10.1016/j.jpcs.2011.07.002
- Aoyagi R., Iwata M. and Maeda M. // Key Eng. Mater. 2009. V. 388. P. 233. https://doi.org/10.4028/www.scientific.net/KEM.388.233
- Smiga W., Garbarz-Glos B., Suchanicz J. et al. // Ferroelectrics. 2006. V. 345. P. 39. https://doi.org/10.1080/00150190601020925
- Politova E.D., Golubko N.V., Kaleva G.M. et al. // J. Adv. Dielect. 2018. V. 8. P. 1850004. https://doi.org/10.1142/S2010135X18500042
- Politova E.D., Golubko N.V., Kaleva G.M. et al. // Ferroelectrics. 2019. V. 538. P. 45. https://doi.org/10.1080/00150193.2019.1569984.
- Louër D., Weigel D., Louboutin R. // Acta Crystallogr. Sect. A. 1969. V. 25. P. 335. https://doi.org/10.1107/s0567739469000556
- Louboutin R., Louër D. // Ibid. 1972. V. 28. P. 396. https://doi.org/10.1107/S056773947200107X.
- Le Bail A., Louër D. // J. Appl. Crystallogr. 1978. V. 11. P. 50. https://doi.org/10.1107/S0021889878012662
- Zhurov V.V., Ivanov S.A. // Crystallogr. Rep. 1997. V. 42. P. 202.
- Maltoni P., Sarkar T., Varvaro G. et al. // J. Phys. D. Appl. Phys. 2021. V. 54. P. 124004.
- Maltoni P., Ivanov S.A., Barucca G. et al. // Sci. Rep. 2021. V. 11. P. 23307. https://doi.org/10.1038/s41598-021-02782-2
- Kurtz S.K., Perry T.T. // J. Appl. Phys. 1968. V. 39. P. 3798. https://doi.org/10.1063/1.1656857.
- Stefanovich S. Yu. // Europ. Conf. on Lasers and Elecrto-Optics (CLEO-Europe’94). Amsterdam. 1994. Abstracts. P. 249.
- Jerphagnon J. // Phys. Rev. B. 1970. V. B2. № 4. P. 1091. https://doi.org/10.1103/PhysRevB.2.1091
- Lee H.J, Zhang S.H. Lead-Free Piezoelectrics. N.Y.: Springer, 2012.
Supplementary files






