Фазообразование, полиморфизм, оптические свойства и проводимость соединений и твердых растворов на основе Nd₂WO₆
- Authors: Балдин E.Д.1, Лысков Н.В.2,3, Рассулов В.A.4, Шляхтина A.В.1
-
Affiliations:
- Федеральный исследовательский центр химической физики им. Н. Н. Семёнова РАН
- Федеральный исследовательский центр проблем химической физики и медицинской химии РАН
- Национальный исследовательский университет “Высшая школа экономики”
- ФГБУ “ВИМС им. Н. М. Федоровского”
- Issue: Vol 98, No 11 (2024)
- Pages: 99-107
- Section: STRUCTURE OF MATTER AND QUANTUM CHEMISTRY
- Submitted: 19.03.2025
- Accepted: 19.03.2025
- Published: 15.11.2024
- URL: https://journals.rcsi.science/0044-4537/article/view/284080
- DOI: https://doi.org/10.31857/S0044453724110114
- EDN: https://elibrary.ru/EZCOBH
- ID: 284080
Cite item
Full Text
Abstract
Исследовано фазообразование вольфрамата неодима Nd₂WO₆ из механически активированных оксидов в широком температурном интервале: 25–1600°C. Определены условия образования различных полиморфных модификаций: низкотемпературных ромбических β-Nd₂WO₆ и δ-Nd₂WO₆ (P212121 (№ 19)); высокотемпературной моноклинной Nd₂WO₆ (пр. гр. C12/c1 (№ 15)). Оптические спектры поглощения исследованы для полиморфной керамики номинального состава Nd₂WO₆. Обнаружены различия в спектрах δ-Nd₂WO₆ и моноклинного Nd₂WO₆. У обеих модификаций вольфрамата неодима δ-Nd₂WO₆ и моноклинного Nd₂WO₆ наблюдалась протонная составляющая проводимости с энергией активацией 1.05 и 1.06 эВ соответственно. Однако, для Ca-содержащего твердого раствора с моноклинной структурой (Nd₁₋ₓCaₓ)₂WO₆–δ (x = 0.01), у которого общая проводимость возрастает по сравнению с чистым моноклинным Nd₂WO₆, преобладает дырочная проводимость на воздухе.
Keywords
Full Text
ВВЕДЕНИЕ
Диаграммы состояния систем Ln2O₃–MO₃ (M = Mo, W) содержат значительное количество флюоритоподобных (CaF2) и шеелитоподобных (CaWO4) фаз. Наибольшее число разнообразных фаз (до 12) встречается в системах с оксидом лантана La2O₃–MO₃ (M= Mo, W) [1], и по мере уменьшения ионного радиуса лантаноида количество фаз в системах сокращается [2, 3]. Флюоритоподобные кислород-дефицитные фазы с содержанием Ln2O₃ > 50 мол. % являются в основном ионными (кислород-ионными или протонными), а иногда смешанными (электронно-ионными) проводниками, для которых наблюдается заметный электронный вклад проводимости на воздухе. Шеелитоподобные фазы, характерные для составов, обогащенных MO₃ (M = Mo, W), демонстрируют доминирующую электронную проводимость при высоких парциальных давлениях кислорода, и представляют интерес, прежде всего, как люминесцентные и оптически активные материалы [1, 4, 5].
Синтез вольфраматов и молибдатов РЗЭ проблематичен, что связано с летучестью MoO₃ (Tвозгонки = 747°C) [6] и WO₃ (Tвозгонки = 800°C) [7], в том числе, и из их соединений. Так, например, известно, что при синтезе молибдатов РЗЭ состава Ln10Mo2O21 (Ln = Gd, Dy, Ho) короткие отжиги при высокой температуре (1600°C, 3 ч) предпочтительнее длительных при более низкой температуре (1200°C, 40–160 ч), поскольку в последнем случае наблюдаются потери MoO₃. Именно таким образом впервые стабильные, однофазные ромбические молибдаты номинального состава Ln10Mo2O21 (Ln = Gd, Dy, Ho; Ln/Mo = 5:1) были синтезированы в работе [8]. Истинное же соотношение катионов в ромбических фазах, установленное методом масс-спектроскопии с индуктивно связанной плазмой (ИСП-МС), оказалось Ln/Mo ~ 5.2:1–5.7:1 (Ln = Gd, Dy, Ho). Высокотемпературный кратковременный отжиг при 1600°C, 3ч приводил к синтезу флюоритов Ln10Mo2O21, состав которых соответствовал исходному c соотношением Ln/Mo = 5:1 [8]. В то же время, для композитов La10W2O21/γ-La6W2O15, содержащих Nd, отжиг при температурах выше 1450°C приводил к потере WO₃ [9]. При синтезе твердых растворов La28–хW4+хO₅4+1.5х[VO••]2–1.5х c высокой протонной проводимостью во избежание потерь WO₃ во время отжига при 1500°C использовали спекание в засыпке [7, 10]. Следует отметить, что во избежание потерь WO₃ температура синтеза сложных оксидов Ln2(MoO4)3 (Ln = La–Ho), не превышала 1150°C при выдержке 24 ч [4].
Как правило, соединения Ln2WO6 могут кристаллизоваться в нескольких модификациях. Так, например, низкотемпературная модификация β-La₂WO₆ принадлежит пространственной группе P2₁2₁2₁ (№ 19) и имеет ромбическую структуру [11]. Сообщалось также в более ранних работах о δ-Ln2WO6, тоже ромбической, и принадлежащей пространственной группе P2₁2₁2₁ (№ 19) [12]. Ефремов с соавторами [12] вырастили монокристаллы δ-Ln2WO6 (Ln = Nd, Gd, Tb, Dy, Ho) при 850°C. Таким образом, согласно литературным данным, существуют две низкотемпературные ромбические модификации Ln2WO6. Высокотемпературная модификация α-La₂WO₆, кристаллизуется в пространственной группе Pm21n (№ 31), также ромбической, близкой к шеелиту по структуре [13, 14]. Недавно при использовании (001)-ориентированной подложки из монокристалла SrTiO₃, методом импульсного лазерного напыления получена тонкая пленка α-Nd₂WO₆, которая имела ту же структуру, что и α-La₂WO₆ (Pm21n (№ 31)) [15]. Таким образом, обе высокотемпературные α-Ln2WO6 (Ln = La, Nd) фазы были стабилизированы в пленке. Широко известно о высокотемпературной модификации с моноклинной структурой (пр. гр. C12/c1 (№ 15)), которая реализуется для многих соединений Ln2WO6 (Ln = Nd, Sm, Er, Yb) в керамике [16–19], и характерна для монокристаллов, выращенных из раствора в расплаве [20]. В более старой работе сообщается так же о существовании еще одной стабильной высокотемпературной модификации R2WO6 (R = La, Ce, Nd, Sm, Dy, Y) с тетрагональной структурой [21]. Отметим, что информация о синтезе низкотемпературной керамики со структурой δ-Nd₂WO₆, а также β-Nd₂WO₆ c пространственной группой P2₁2₁2₁ (№ 19) в литературе отсутствует.
Ранее в [22] предпринят поиск новых анодных материалов для ТОТЭ. В работе изучена проводимость моноклинного вольфрамата самария Sm2WO6, легированного кальцием в подрешетку самария. Авторы обнаружили значительный рост проводимости на воздухе при 550°C: от 2.62×10–8 См/см для Sm2WO6 до 3.86×10–7 См/см для Sm1.9Ca0.1WO6–δ и 1.20×10–4 См/см для Sm1.8Ca0.2WO6–δ. При этом энергия активации проводимости снижалась от 1.4 до 0.6 эВ. Измерения во влажном водороде, показали, что наиболее высокой проводимостью обладал чистый вольфрамат самария (5.92×10–5 См/см при 550°C), а проводимость легированных кальцием твердых растворов в этих условиях была ниже. Таким образом, учитывая разницу в проводимости материала на воздухе и в водороде [22], очевидно, что на воздухе у Sm1.8Ca0.2WO6–δ преобладает дырочная проводимость, а вклад ионной на полтора порядка ниже. Подчеркнем, что молибдаты лантаноидов Ln2MoO6 с моноклинной структурой, в том числе и молибдат самария Sm2MoO6, также имели дырочную проводимость при высоких парциальных давлениях кислорода [23].
В системе La2O₃–WO₃ обе полиморфные модификации вольфрамата лантана β-La₂WO₆ и α-La₂WO₆ продемонстрировали невысокую проводимость [11, 13].
В 2020 году найден новый класс кислород-ионных проводников Ln14W4O3 c псевдоромбоэдрической структурой [24, 25]. Наиболее высокую кислород-ионную проводимость продемонстрировали соединения неодима и самария [25]. Соединения Ln2WO6 (Ln = Nd, Sm) по составу на диаграмме состояния Ln2O₃–WO₃ близки к соединениям Ln14W4O₃3 и содержат на 13.6 мол. % больше WO₃ [26]. Поэтому Ln2WO6 (Ln = Nd, Sm) могут быть потенциальным анодным материалом для электролитов ТОТЭ на основе Ln14W4O₃3.
Проводимость различных полиморфных модификаций керамики Ln2WO6 (Ln = Nd, Sm, Yb), кроме некоторых шеелитов [16], не была исследована ранее. В настоящей работе, учитывая предыдущий опыт с молибдатами РЗЭ [8], проведен поиск условий для синтеза различных полиморфных модификаций керамики Nd₂WO₆, в том числе, с использованием длительных изотермических отжигов. Получены твердые растворы с моноклинной структурой на основе Nd₂WO₆ с кальцием, определена их область гомогенности. Исследована общая проводимость полученных полиморфных Nd₂WO₆ модификаций и твердых растворов в сухом и влажном воздухе.
ЭКСПЕРИМЕНТАЛЬНАЯ ЧАСТЬ
Синтез керамических образцов вольфрамата неодима Nd₂WO₆ выполнялся из механически активированной (м/а) смеси оксидов Nd₂O₃ (99.9%, Ganzhou Wanfeng Advanced Materials Technology Co., Ltd.) + WO₃ (99.9% MРТУ 6-09-533-66, Россия). Оксид неодима известен своей гигроскопичностью, поэтому перед навеской реактив отжигался при температуре 950°C в течение 1.5 ч с целью удаления воды и углекислого газа. Помол смеси оксидов, взятых в молярном соотношении 1:1, проводился в эксцентриковой вибромельнице конструкции Аронова или в шаровой мельнице SPEX8000М (США) в течение 60 мин. Затем м/а смесь прессовалась в диски толщиной 3–5 мм и диаметром 10 мм при давлении 300–680 МПа. Сырые прессовки без промежуточных отжигов подвергали изотермической выдержке при температурах в широком интервале 440–1600°C. Скорость нагрева печи во всех случаях была одинаковой и составляла 5°C/мин. Во избежание испарения и/или возгонки оксида вольфрама продолжительность изотермической выдержки варьировалась от 1 ч до 6 ч в зависимости от конечной температуры. При самых высоких температурах 1500 и 1600°C продолжительность отжига составляла 1 ч, тогда как с уменьшением температуры продолжительность возрастала. Некоторые образцы подвергались дополнительному длительному отжигу в течение 40–200 ч с целью достижения равновесного состояния. Твердые растворы (Nd₁₋ₓCaₓ)₂WO₆ получали тем же способом из стехиометрических смесей оксидов CaO, Nd₂O₃ и WO₃ при температуре 1400°C. При температуре выше 1400°C образцы плавились. Оксид кальция перед взвешиванием прокаливался при 950°C, 1.5 ч.
Дифрактограммы для рентгенофазового анализа (РФА) были получены с использованием дифрактометра Rigaku Smartlab SE (Япония) в непрерывном режиме. Съемка выполнялась в интервале углов 10–70° с шагом 0.01°, скорость движения гониометра 5°/мин. Фазовый анализ, расчет параметров решетки и уточнение структуры по методу Ритвельда проводились с помощью программы Smartlab Studio II. Визуализация структур выполнялась в программном пакете VESTA 3 [27].
Чтобы установить, произошла ли потеря оксида вольфрама WO₃, для определения соотношения Nd/W у вольфрамата неодима с различной предысторией, мы использовали метод масс-спектрометрии c индуктивно-связанной плазмой (ИСП-МС) (Vista Pro, (ICP) атомно-эмиссионный спектрометр (Varian, Австралия)).
Спектры поглощения материалов рассчитывали по их спектрам диффузного отражения, измеренным на спектрофотометре TerraSpec 4 Hi-Res (Malvern Panalytical, Великобритания) в диапазоне длин волн от 350 до 2500 нм (от 28 000 до 4 000 см⁻¹) при спектральном разрешении 3 нм. В диапазоне от 350 до 1000 нм и 6 нм в остальной части спектра. Функцию отклика спектрофотометра учитывали через регулярные промежутки времени с использованием сертифицированного в Labsphere (Labsphere, Inc., США) стандарта отражения из Spectralon. Полосы поглощения аппроксимировали набором гауссиан с использованием Origin версии 8 (OriginLab Corp., США).
Для измерения проводимости на цилиндрические керамические образцы наносились и вжигались при 1000°C электроды из платиновой пасты ChemPur C3605. Измерения выполнялись методом импеданс-спектроскопии с использованием потенциостата/гальваностата P-40X (Россия) в сухой и влажной атмосфере. Диапазон частот составлял от 0.1 Гц до 500 кГц, интервал температур 500–900°C, сухая атмосфера создавалась при прохождении воздушного потока через осушитель KOH (pH₂O = 2.6 × 10–6 атм.), а влажная – при прохождении воздушного потока через водяной сатуратор, выдерживаемый при 20°C, что обеспечивало постоянную влажность 2.3% (pH₂O = 0.023 атм.). Измерения выполнялись при охлаждении, для достижения равновесия образец выдерживался при каждой температуре по меньшей мере 40 мин.
ОБСУЖДЕНИЕ РЕЗУЛЬТАТОВ
Фазообразование и полиморфизм Nd₂WO₆ и твердых растворов на его основе (Nd₁₋ₓCaₓ)₂WO₆ (x= 0, 0.01, 0.025, 0.1)
На рис. 1 представлены данные РФА керамик Nd₂WO₆, полученных отжигом м/а смеси оксидов при различных температурах. Вольфрамат неодима, отожженный при температурах ≤ 600°C (рис. 1, кривые 1 и 2), является рентгеноаморфным. При повышении температуры синтеза до 700–900°C (рис. 1, кривые 3 и 4) образуется смесь двух кристаллических ромбических фаз пр. гр. P2₁2₁2₁(№ 19): β-Nd₂WO₆ и δ-Nd₂WO₆ [12]. Фаза β-Nd₂WO₆ изоструктурна β-La₂WO₆ и, насколько нам известно, ранее о ее существовании в этой системе в литературе не сообщалось. Использование при синтезе реагентов, подвергнутых предварительной м/а, часто позволяет понизить температуру синтеза или даже получить соединения, которые не синтезируются традиционными методами. Так, например, при исследовании синтеза из м/а смеси оксидов La2O₃+MoO₃ впервые был получен гексагональный молибдат лантана La15Mo8.5O48 в виде нанокерамики [28].
Рис. 1. Дифрактограммы керамик Nd₂WO₆, полученных отжигом м/а смеси оксидов Nd₂O₃+WO₃ (1) 440°C, 6 ч, (2) 600°C, 4 ч, (3) 700°C, 4 ч, (4) 900°C, 4 ч, (5) 1200°C, 4 ч, (6) 1400°C, 4 ч, (7) 1500°C, 1 ч, (8) 1600°C, 1 ч.
В области температур 1200–1500°C по данным РФА (рис. 1, кривые 5–7) формируется моноклинная модификация Nd₂WO₆ пр. гр. C12/c1 (№ 15) [16]. После короткого отжига при температуре 1600°C в течение 1 ч реализуется ромбическая модификация δ-Nd₂WO₆ пр. гр. P2₁2₁2₁ (№ 19). Примеры результатов уточнения кристаллических структур по методу Ритвельда для всех трех полученных модификаций Nd₂WO₆ представлены на рис. 2.
Рис. 2. Уточнение структуры исследуемых керамик по методу Ритвельда. а) Образец, полученный после отжига при 700°C, 4 ч, состоит из двух ромбических фаз пр. гр. P2₁2₁2₁ (19): β-Nd₂WO₆ и δ-Nd₂WO₆. На вставке проекция структуры β-Nd₂WO₆. б) Моноклинный Nd₂WO₆, полученный после отжига при 1500°C, 1 ч. На вставке проекция структуры моноклинной модификации Nd₂WO₆ пр. гр. C12/c1 (15). в) Ромбический δ-Nd₂WO₆, полученный после отжига при 1600°C, 1 ч. На вставке проекция структуры ромбической модификации δ-Nd₂WO₆ пр. гр. P2₁2₁2₁ (№ 19). Черточками отмечены позиции пиков, снизу приведена разность между экспериментальными и расчетными данными.
Интересный результат был получен при дополнительных отжигах керамик (рис. 3). В то время как отжиг моноклинной фазы Nd₂WO₆ в течение 40 и 80 ч при 1200°C не привел к какому-либо существенному изменению структуры (рис. 3, кривая 3), дополнительный отжиг керамики, полученной сначала при 900°C, 4 ч, в течение 96 ч при этой же температуре дал возможность получить чистую ромбическую модификацию δ-Nd₂WO₆, не прибегая к высокотемпературному отжигу при 1600°C (рис. 3, кривая 2). δ-Nd₂WO₆, получаемый при высоких температурах, согласно [15] является метастабильным. Его метастабильность подтвердил дополнительный отжиг образца δ-Nd₂WO₆, полученного при 1600°C, 1ч, при 1400°C в течение 1 ч. После такой процедуры δ-Nd₂WO₆ полностью перешел в моноклинную фазу (рис. 3, кривая 4). Образец, подвергнутый выдержке при 600°C в течение 100 ч, остался преимущественно рентгеноаморфным (рис. 3, кривая 1). На его дифрактограмме слегка проявились основные линии фазы β-Nd₂WO₆.
Рис. 3. Дифрактограммы керамик Nd₂WO₆, полученных длительным отжигом: 600°C, 4+96 ч (1); 900°C, 4+96 ч (2); 1200°C, 80 ч (3) и керамики от 1600°C, 1 ч после повторного отжига при 1400°C, 1 ч (4).
В табл. 1 представлены результаты расчетов параметров элементарных ячеек моноклинных и ромбических вольфраматов неодима. Объем элементарной ячейки ромбического δ-Nd₂WO₆, полученного при 900°C, больше, чем у образца, полученного при 1600°C. Среди моноклинных вольфраматов наибольший объем элементарной ячейки имеет образец, полученный отжигом при 1400°C в течение 1 ч. Таким образом, увеличение температуры синтеза и/или времени отжига приводит к уменьшению объема элементарных ячеек обеих модификаций вольфрамата неодима.
Таблица 1. Результаты уточнения параметров структуры образцов Nd₂WO₆ по методу Ритвельда
Пр. гр. | Условия получения | а, Å | b, Å | c, Å | V, Å3 | β, ° | Rwp, % | ||
Т, °C | τ, ч | ||||||||
P2₁2₁2₁ (19) δ | 1600 | 1 | 5.36845(6) | 9.24840(10) | 10.18863(11) | 505.861 | 90 | 10.41 | |
900 | 4+96 | 5.36723(10) | 9.24778(19) | 10.1896(2) | 506.948 | 9.90 | |||
C12/c1 (15) | 1500 | 1 | 16.6248(2) | 11.37052(14) | 5.52467(7) | 995.560 | 107.5814(5) | 8.15 | |
1400 | 1 | 16.6258(2) | 11.37039(15) | 5.52460(7) | 997.547 | 107.5830(6) | 8.03 | ||
1200 | 4 | 16.6268(2) | 11.37132(16) | 5.52406(7) | 997.101 | 107.5853(7) | 7.93 | ||
1200 | 40 | 16.6282(3) | 11.37167(19) | 5.52486(9) | 996.939 | 107.5802(8) | 9.87 | ||
1200 | 80 | 16.6265(3) | 11.37086(17) | 5.52426(9) | 996.484 | 107.5836(8) | 9.13 | ||
P2₁2₁2₁ (19) | β≈90% | 900 | 4 | 7.36629(11) | 10.25876(16) | 12.5250(2) | 946.501 | 90 | 6.42 |
δ≈10% | 5.3662(2) | 9.2461(4) | 10.1926(4) | 505.727 | |||||
β≈75% | 700 | 4 | 7.3715(4) | 10.2660(6) | 12.5339(7) | 948.513 | 7.90 | ||
δ≈25% | 5.3142(18) | 9.261(3) | 10.143(3) | 499.195 | |||||
Известно, что при высокотемпературных отжигах WO₃ способен испаряться из его соединений. Ранее мы наблюдали это для композитов La10W2O21/γ-La6W2O15, содержащих Nd [9]. Учитывая этот факт и уменьшение объема элементарной ячейки вольфраматов неодима при длительных и/или высокотемпературных отжигах, было выдвинуто предположение о том, что ромбическая фаза δ-Nd₂WO₆ образуется в результате испарения WO₃ и, как следствие, нарушения стехиометрии. Для проверки этого предположения проводилось измерение соотношения катионов Nd/W методом масс-спектрометрии с индуктивно связанной плазмой. Оказалось, что стехиометрия действительно сдвинута в сторону, обедненную W, однако соотношение катионов в ромбических и моноклинном образцах практически не отличается (табл. 2).
Таблица 2. ИСП-МС данные микроанализа полиморфов номинального состава Nd₂WO₆
Номинальный | Структура | Условия синтеза | Номинальное | Измеренное | |
Т, °C | τ, ч | ||||
Nd₂WO₆ | δ-Nd₂WO₆ | 900 | 4+96 | 2 | 2.17 ± 0.03 |
Nd₂WO₆ моноклинный | 1400 | 4 | 2.17 ± 0.03 | ||
δ-Nd₂WO₆ | 1600 | 1 | 2.18 ± 0.03 | ||
Соотношение катионов практически одинаково и составило Nd/W = 2.17:1 после отжигов в интервале 900–1400°C и 2.18:1 после отжига при 1600°C, 1 ч. Исходя из этого, можно утверждать, что δ-Nd₂WO₆ действительно является полиморфной модификацией Nd₂WO₆. Следует упомянуть, что при исследовании методом ИСП-МС молибдатов РЗЭ Ln2(MoO4)3 (Ln = La, Pr, Nd, Eu, Gd) с номинальным соотношением катионов Ln/Mo = 1:1.5, они также имели отклонения по составу. Для La2(MoO4)3 соотношение La/Mo = 1:1.39, для других молибдатов: Nd/Mo=1:1.4, Eu/Mo=1.41, Gd/Mo =1.43 [4]. Молибдаты La2(MoO4)3 принадлежат области фазовой диаграммы Ln2O₃–MoO₃, обогащенной оксидом молибдена. Таким образом, при исследовании как молибдатов, так и вольфраматов РЗЭ, летучесть этих оксидов из их соединений при T ≥ 900°C приводит к смещению номинального состава в сторону меньшего содержания этих оксидов.
Таким образом, в ходе синтеза из м/а смеси WO₃ частично испаряется и образуется соединение, обедненное вольфрамом Nd₂.17WO6+y, в котором часть позиций W занято Nd. Этот процесс может быть описан следующим квазихимическим уравнением:
(1)
и приводит к образованию дополнительных кислородных вакансий в структуре. Поскольку в монокристаллах Nd₂WO₆ соотношение катионов равно 2, а керамики при таком методе синтеза образуются со сдвинутым составом Nd₂.17WO6+y, можно утверждать, что вольфрамат неодима Nd₂WO₆ обладает областью гомогенности 48–50 мол. % WO₃ в системе Nd₂O₃—WO₃.
Рис. 4. Дифрактограммы моноклинных твердых растворов (Nd₁₋ₓCaₓ)₂WO₆, х = 0(1), 0.01(2), 0.025(3), 0.1(4). Символами обозначены пики примесных фаз * – CaCO₃, • – CaWO₄.
На рис. 4 представлены дифрактограммы твердых растворов Ca, полученных на основе моноклинной модификации Nd₂WO₆ при 1400°C. Образцы, содержащие 1 и 2.5% кальция, оказались изоструктурными нелегированному Nd₂WO₆ пр. гр. C12/c1 (15)). Легирование 10% Ca в неодимовую подрешетку привело к образованию примесных фаз CaCO₃ и CaWO₄. При увеличении содержания Ca в системе объем элементарной ячейки уменьшается (табл. 3).
Таблица 3. Результаты уточнения параметров структуры твердых растворов (Nd₁₋ₓCaₓ)₂WO₆ по методу Ритвельда
Номинальный | Условия получения | Доля Ca, % | а, Å | b, Å | c, Å | V, Å3 | β, град | Rwp, % | |
Т, °C | τ, ч | ||||||||
Nd₂WO₆ | 1400 | 1 | 0 | 16.6258(2) | 11.37039(15) | 5.52460(7) | 997.547 | 107.5830(6) | 8.03 |
(Nd0.99Ca0.01)2 WO6–δ | 1400 | 4 | 1 | 16.6171(2) | 11.36954(16) | 5.51982(7) | 994.443 | 107.5655(7) | 8.79 |
(Nd0.975Ca0.025)2 WO6–δ | 1400 | 4 | 2.5 | 16.6104(3) | 11.37340(19) | 5.50938(9) | 993.765 | 107.5617(8) | 10.32 |
(Nd0.9Ca0.1)2 WO6–δ* | 1400 | 4 | 10 | 16.6030(4) | 11.3712(3) | 5.49513(15) | 988.855 | 107.5760(16) | 11.94 |
* Образец содержит примесные фазы и не является твердым раствором в полном смысле.
Все три позиции неодима в моноклинном Nd₂WO₆ окружены восьмью кислородами, а ионный радиус Å в этом окружении слегка больше Å [29], можно предположить, что уменьшение объема элементарной ячейки свидетельствует об образовании кислородной вакансии и уменьшении окружения Ca²⁺ до 7 ( Å). Образование кислородной вакансии при легировании Ca может быть описано следующим квазихимическим уравнением:
(2)
Подобная зависимость параметров элементарной ячейки от концентрации Ca наблюдалась ранее для пирохлоров Nd₂–xCaxZr2O7–δ [30, 31].
Оптические свойства керамик ромбического δ-Nd₂WO₆ и моноклинного Nd₂WO₆
Рис. 5. Спектры поглощения Nd³⁺ в моноклинном Nd₂WO₆ (1) и ромбических δ-Nd₂WO₆, полученных при 1600 (2) и 900°C (3).
На рис. 5 приведены спектры поглощения, зарегистрированные в диапазоне длин волн 350–2500 нм. Отмеченные на рис. 5 характерные полосы поглощения связаны с 4f-4f-переходами из основного состояния 4I9/2 на возбужденные уровни иона Nd³⁺ и представлены в табл. 4.
Таблица 4. Длины волн (λ) переходов из основного состояния 4I9/2 на возбужденные уровни иона Nd³⁺в моноклинном Nd₂WO₆ и ромбическом δ-Nd₂WO₆
№ | λ, нм | Переходы |
1 | 434 | 2P1/2 + 2D5/2 |
2 | 463–475 | 2K15/2 + 2G9/2+ 2D3/2+4G11/2 |
3 | 518–529 | 4G9/2 + 2K13/2 +4G7/2 |
4 | 560–613 | 4G5/2 + 2G7/2 |
5 | 683–688 | 4F9/2 |
6 | 740–752 | 4F7/2 + 4S3/2 |
7 | 784–823 | 4F5/2 + 2H9/2 |
8 | 879–940 | 4F3/2 |
9 | 1519–1785 | 4I15/2 |
10 | 2288–2474 | 4I13/2 |
Измеренные при комнатной температуре спектры поглощения характеризуются большой шириной линий, что связано со значительной неупорядоченностью структуры представленных керамик. В результате этого ионы Nd³⁺ оказываются распределенными по большому числу разнообразных центров, симметрия кристаллических полей которых незначительно отличается друг от друга. При этом происходит неоднородное уширение полос поглощения, а также сдвиг положения их максимумов. Наибольшее уширение наблюдается для ромбической δ-Nd₂WO₆, синтезированной при 1600°C, 1 ч, (рис. 5, кривая 2) а наиболее упорядочена моноклинная фаза Nd₂WO₆ (рис. 5, кривая 1).
Следует отметить, что очевидные различия в спектрах поглощения ромбических фаз, полученных при 900 и 1600°C (δ-Nd₂WO₆), и моноклинной Nd₂WO₆ наблюдаются в области 9 (1519–1785 нм) и 10 (2288–2474) (рис. 5, табл. 4).
Проводимость полиморфных модификаций Nd₂WO₆ и твердых растворов (Nd₁₋ₓCaₓ)₂WO₆–δ с моноклинной структурой.
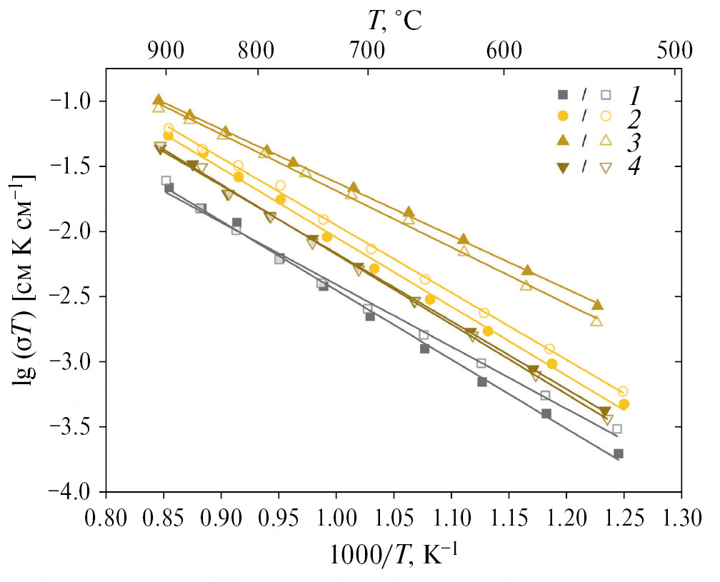
Рис. 6. Аррениусовские зависимости общей проводимости δ-Nd₂WO₆ (1) и моноклинных твердых растворов (Nd₁₋xCax)₂WO₆–δ, х = 0 (2), 0.01 (3), 0.025 (4). Полыми значками отмечены значения проводимости во влажном воздухе.
На рис. 6 представлены температурные зависимости проводимости исследуемых вольфраматов. У δ-Nd₂WO₆ и моноклинного Nd₂WO₆ зависимость проводимости (рис. 6, кривые 1, 2) отличается от проводимости моноклинного Sm2WO6 и твердых растворов на его основе [22]. Здесь возможен протонный вклад в общую проводимость, поскольку наблюдается превышение проводимости во влажном воздухе по сравнению с сухим. Энергии активации в сухом и влажном воздухе типичны для кислород-ионных и протонных проводников (табл. 5). Энергия активации проводимости в сухом воздухе для моноклинного Nd₂WO₆ и ромбического δ-Nd₂WO₆ составили 1.05 и 1.06 эВ, соответственно. Отметим, что энергия активации во влажном воздухе ниже, чем в сухом – 1.03 и 0.95 эВ (табл. 5), что позволяет предположить у них протонный вклад проводимости. Проводимость δ-Nd₂WO₆ ниже проводимости моноклинного вольфрамата. В работе [23] оценивались геометрические размеры пустот и каналов для ионного транспорта молибдатов РЗЭ с разными пространственными группами. Авторы отмечают, что в молибдатах, принадлежащих к пространственной группой C2/c (№ 15), т. е. такой же, как у моноклинного вольфрамата Nd₂WO₆, размер каналов больше, чем у принадлежащих к пространственной группе P2₁2₁2₁ (№ 19). Можно предположить, что зависимость размера каналов в вольфраматах такая же как молибдатах Ln2MoO6 (Ln = Sm, Gd, Dy), и этим объясняется повышенная проводимость в моноклинном Nd₂WO₆ по сравнению с δ-Nd₂WO₆.
Таблица 5. Величины энергий активации общей проводимости δ-Nd₂WO₆ и моноклинных твердых растворов (Nd₁₋ₓCaₓ)₂WO₆–δ (х = 0, 0.01, 0.025) в температурном интервале 500–900°C
Номинальный состав и | Атмосфера | Ea (±0.01), эВ |
δ-Nd₂WO₆, 1600°C, 1 ч | Сухой воздух | 1.06 |
Влажный воздух | 0.95 | |
Nd₂WO₆ моноклинный, 440°C, 6 ч +1500°C, 1 ч | Сухой воздух | 1.05 |
Влажный воздух | 1.03 | |
Nd1.98Ca0.02WO6–δ, 1400°C, 4 ч | Сухой воздух | 0.81 |
Влажный воздух | 0.86 | |
Nd1.95Ca0.05WO6–δ, 1350°C, 4 ч | Сухой воздух | 1.04 |
Влажный воздух | 1.07 |
При легировании кальцием неодимовой подрешетки моноклинного Nd₂WO₆ наблюдался рост проводимости на полпорядка; при этом у твердого раствора (Nd₁₋ₓCaₓ)₂WO₆–δ (x = 0.01) характер проводимости изменился, и она стала преимущественно дырочной, так как во влажном воздухе она ниже проводимости в сухом [32]. Отметим, что введение вакансий кислорода при легировании неодимовой позиции кальцием, описываемое уравнением (2), хотя и привело к росту общей проводимости, однако, проводимость при этом имеет дырочный характер на воздухе, как и в случае Sm1.9Ca0.1WO6–δ [22]. Это может быть обусловлено конкурирующим процессом инкорпорирования кислорода из газовой фазы с образованием дырочных носителей заряда:
. (3)
Известно, что дырочная проводимость флюоритоподобных протоников на основе вольфрамата празеодима Pr6–xWO12–1.5x (x = 0.5, 0.75, 1, 1.25) также возрастала при введении дополнительных вакансий в структуру [32].
ЗАКЛЮЧЕНИЕ
Исследовано фазообразование вольфрамата неодима из механически активированных оксидов в широком температурном интервале 25–1600°C. Определены условия образования различных полиморфных модификаций: низкотемпературных ромбических (β-Nd₂WO₆ и δ-Nd₂WO₆ (P2₁2₁2₁ (№ 19))) и высокотемпературной моноклинной Nd₂WO₆ (пр. гр. C12/c1 (15)). Хотя впервые стабилизированные в керамике β-Nd₂WO₆ и δ-Nd₂WO₆ относятся к одной и той же пространственной группе (P2₁2₁2₁ (№ 19), их структуры и соответственно дифрактограммы, различны. Стабилизировать δ-Nd₂WO₆ в чистом виде удалось, используя длительный изотермический отжиг до 100 ч при 900°C. Кроме того, благодаря механической активации удалось получить этот же полиморф кратким отжигом при 1600°C, 1ч.
Изучены оптические спектры для исследуемых керамик, которые продемонстрировали различие δ-Nd₂WO₆ и моноклинного Nd₂WO₆ в ближней ИК-области.
У обеих модификаций вольфрамата неодима δ-Nd₂WO₆ и моноклинного Nd₂WO₆ возможна протонная проводимость с более низкой энергией активацией 1.05 и 1.06 эВ. Однако для кальцийсодержащего твердого раствора (Nd₁₋ₓCaₓ)₂WO₆–δ (x = 0.01), у которого общая проводимость возрастает по сравнению с недопированным моноклинным Nd₂WO₆, преобладает дырочная проводимость на воздухе.
***
Работа поддержана субсидией Минобрнауки, выделенной ФИЦ ХФ РАН на выполнение государственного задания по теме “Наноструктурированные системы нового поколения с уникальными функциональными свойствами” (регистрационный номер № 122040500071-0). Измерения проводимости образцов выполнены в рамках темы государственного задания ФИЦ ПХФ и МХ РАН (номер государственной регистрации № 124013000692-4).
About the authors
E. Д. Балдин
Федеральный исследовательский центр химической физики им. Н. Н. Семёнова РАН
Author for correspondence.
Email: baldin.ed16@physics.msu.ru
Russian Federation, Москва
Н. В. Лысков
Федеральный исследовательский центр проблем химической физики и медицинской химии РАН; Национальный исследовательский университет “Высшая школа экономики”
Email: baldin@chph.ras.ru
Russian Federation, Москва; Черноголовка
В. A. Рассулов
ФГБУ “ВИМС им. Н. М. Федоровского”
Email: baldin@chph.ras.ru
Russian Federation, Москва
A. В. Шляхтина
Федеральный исследовательский центр химической физики им. Н. Н. Семёнова РАН
Email: baldin@chph.ras.ru
Russian Federation, Москва
References
- Pautonnier А., Coste S., Barré M., Lacorre P. // Progress in Solid State Chemistry. 2023. V. 69. P. 100382. https://doi.org/10.1016/j.progsolidstchem.2022.100382
- Chang L.L.Y., Phillips B. // Inorg. Chem. 1964. V. 3. P. 1792.
- Chang L.L.Y., Scroger M.G., Phillips B. // J. Inorg. Nucl. Chem. 1966. V. 28. P. 1179. https://doi.org/10.1016/0022-1902(66)80443-8
- Popov V.V., Menushenkov A.P., Yastrebtsev A.A. et al. // Solid State Sciences 2021. V. 112. P. 106518. https://doi.org/10.1016/j.solidstatesciences.2020.106518
- Morozov V.A., Raskina M.V., Lazoryak B.I. et al. // Chem. Mater. 2014 V. 26 (24). P. 7124–7136. https://doi.org/10.1021/cm503720s.
- Wu C., Ma L., Zhu, Y. et al. // Catalysts. 2022. V. 12. P. 926 doi: 10.3390/catal12080926.
- Партин Г.С. Электропроводность флюоритоподобных сложных оксидов в системе La6WO12─La10W2O21 и Pr6WO12─Pr10W2O21. Магистерская диссертация. Екатеринбург 2015.
- Shlyakhtina A.V., Avdeev M., Lyskov N.V. et al. // Dalton Trans. 2020. V. 49. P. 2833. DOI https://doi.org/10.1039/C9DT04724G
- Shlyakhtina A.V., Baldin E.D., Vorobieva G.A. et al. // International J. of Hydrogen Energy. 2023. V. 48 (59). P. 22671. https://doi.org/10.1016/j.ijhydene.2023.03.259
- Partin G.S., Korona D.V., Neiman A. Ya., Belova K.G. // Russ. J. Electrochem 2015. V. 51. P. 381. https://doi.org/10.1134/S1023193515050092
- Chambrier M.-H., Kodjikian S., Ibberson R.M., Goutenoire, F. // J. of Solid State Chemistry 2009. V. 182. P. 209. https://doi.org/10.1016/j.jssc.2008.09.010
- Efremov V.A., Tyulin A.V., Trunov V.K. // Soviet Physics Crystallography (translated from Kristallografiya) 1984. V. 29. P. 398.
- Allix M., Chambrier M.-H., Véron, E. et al. // Cryst. Growth Des. 2011. V. 11. P. 5105. https://doi.org/10.1021/cg201010y
- Carlier T., Chambrier M.-H., Anthony Ferri A. et al. // ACS Appl. Mater. Interfaces 2015. V.7 (44). P. 24409. https://doi.org/10.1021/acsami.5b01776
- Carlier T., Chambrier M.-H., Da Costa A. et al. // Chem. Mater. 2020 V. 32. P. 7188. https://dx.doi.org/10.1021/acs.chemmater.0c01405
- Yanovskii V.K., Voronkova V.I. // Solid State Physics. 1977. V. 19. P. 3318.
- Jayalekshmy N.L., Thomas J.K., Solomon S. // Bull. Mater. Sci. 2019. V. 42:178. https://doi.org/10.1007/s12034-019-1887-0
- Chen Y.-C., Weng M.-Z. // J. of the Ceramic Society of Japan. 2016. V. 124(1). P. 98. http://dx.doi.org/10.2109/jcersj2.15155
- Kaczmarek S.M., Tomaszewicz E., Moszyński D. et al. // Materials Chemistry and Physics 2010. V. 124. P. 646. https://doi.org/10.1016/j.matchemphys.2010.07.028
- Yanovskii V.K., Voronkova V.I. // Inorganic Materials (translated from Neorganicheskie Materialy) 1975. V. 11. P. 73.
- Yoshimura M., Sibieude F., Rouanet A., Foex M. // Rev Int Hautes Temp Refract. 1975. V. 12(3). P. 215.
- Li Q., Thangadurai V. // J. of Power Sources 2011. V. 196. P. 169. https://doi.org/10.1016/j.jpowsour.2010.06.055
- Morkhova Y.A., Orlova E.I., Kabanov A.A. et al. // Solid State Ionics. 2023. V. 400. P. 116337. https://doi.org/10.1016/j.ssi.2023.116337
- Shlyakhtina A., Lyskov N., Chernyak S. et al. // IEEE International Symposium on Applications of Feeroelectric, ISAF 2021, International Symposium on Integrated Functionalities, ISIF 2021 and Piezoresponse Force Microscopy Workshop, PFM 2021 – Proceedings 9477315. https://ieeexplore.ieee.org/document/9477315
- Shlyakhtina A.V., Lyskov N.V., Baldin, E. D et al. // Ceramics International. 2023. V. 50. P. 704. https://doi.org/10.1016/j.ceramint.2023.10.149
- Yoshimura M., Rouanet A // Mat. Res. Bull. 1976. V. 11. P. 151. https://doi.org/10.1016/0025-5408(76)90070-2
- Momma K., Izumi F. // J. Appl. Crystallogr.2011. V. 44. P. 1272. http://dx.doi.org/10.1107/S0021889811038970
- Baldin E.D., Gorshkov N.V., Vorobieva, G.A. et al. // Energies. 2023. V. 16(15). P. 5637. https://doi.org/10.3390/en16155637
- Shannon R.D. // Acta Crystallographica. 1976. V. A32. P. 155.
- Shehu A. Structural analysis and its implications for oxide ion conductivity of lanthanide zirconate pyrochlores. PhD thesis. School of Biological and Chemical Sciences Queen Mary University of London. 2018
- Shlyakhtina A.V., Lyskov N.V., Konysheva E. Yu. et al. // J. Solid State Electrochem. 2020. V 24 (7). P. 1475. https://doi.org/10.1007/s10008-020-04574-6
- Korona D.V., Partin G.S., Neiman A.Y. // Russ. J. Electrochem. 2015. V. 51. P. 925. https://doi.org/10.1134/S1023193515100067
Supplementary files








