Низкотемпературная теплоемкость монокристалла вольфрамата цинка
- Authors: Мусихин А.Е.1, Миллер Е.Ф.1, Гельфонд Н.В.1, Шлегель В.Н.1
-
Affiliations:
- Институт неорганической химии им. А. В. Николаева СО РАН
- Issue: Vol 98, No 9 (2024)
- Pages: 45-49
- Section: 100-ЛЕТИЮ ЛАБОРАТОРИИ ХИМИЧЕСКОЙ ТЕРМОДИНАМИКИ МГУ
- Submitted: 07.03.2025
- Accepted: 07.03.2025
- Published: 30.12.2024
- URL: https://journals.rcsi.science/0044-4537/article/view/282756
- DOI: https://doi.org/10.31857/S0044453724090062
- EDN: https://elibrary.ru/OOEDHY
- ID: 282756
Cite item
Full Text
Abstract
Получена теплоемкость вольфрамата цинка методом релаксационной калориметрии в интервале ~2.6–40 K. Выполнена экстраполяция теплоемкости к нулю температур и определена характеристическая температура Дебая при нуле. Сделана оценка представленных в литературе экспериментальных данных по теплоемкости. Получены уточненные значения термодинамических функций в интервале 0–301 K.
Full Text
ВВЕДЕНИЕ
Молибдаты и вольфраматы двухвалентных катионов являются перспективными материалами для использования в экспериментах по регистрации редких событий, включая поиск темной материи и обнаружение безнейтринного двойного бета-распада, а также для использования в качестве элементов лазеров, различных датчиков и сенсоров. Для их применения, особенно в качестве криогенных сцинтилляционных болометров, необходима возможность получения монокристаллов большого размера с высоким химическим и оптическим качеством, которые должны обладать низким собственным радиофоном и высоким энергетическим разрешением для обеспечения хорошей селективности при разделении сигналов. Это и обуславливает широкий интерес научного сообщества к этим объектам. Однако теплоемкость этих объектов, особенно в области низких температур, зачастую исследована не полностью, а значения термодинамических функций при стандартных температурах требует уточнения.
Исследуемый в данной работе вольфрамат цинка, ZnWO4, соответствует описанным выше требованиям и является как лазерным, так и сцинтилляционным материалом и перспективным криогенным болометром [1–5]. Его дополнительными преимуществами являются негигроскопичность, тепловая и радиационная стабильность. Структура ZnWO4 изучена [6–8], кристалл имеет моноклинную сингонию и относится к пространственной группе вольфрамита (P2/c). Температура плавления составляет 1474 K [9]. В литературе представлены экспериментальные данные по теплоемкости в интервале 5–550 K [10, 11] и 81–301 K [12], а также приращение энтальпии в высокотемпературном интервале до 1200 K [13]. Представленные в литературе данные имеют нетипичное поведение вблизи нуля и не согласуются друг с другом в рамках экспериментальной неопределенности. Это продиктовало необходимость повторного измерения данных вблизи нуля для подтверждения надежности литературных данных и уточнения термодинамических данных при стандартной температуре.
ЭКСПЕРИМЕНТАЛЬНАЯ ЧАСТЬ
Образец
Монокристалл вольфрамата цинка высокого качества без оптических дефектов был выращен по методу Чохральского в условиях низких тепловых градиентов (LTG Cz). В рамках метода градиенты температуры в расплаве ограничиваются на уровне не более ~1 K см–1, коэффициент использования шихты достигает ~95%, а выращенные кристаллы имеют высочайшее качество.
Экспериментальная теплоемкость
Теплоемкость вольфрамата цинка была измерена релаксационным методом на комплексе автоматизированных измерений физических свойств материалов PPMS-9+Evercool II (Quantum Design, США) в Ресурсном центре “Центр диагностики функциональных материалов для медицины, фармакологии и наноэлектроники” Научного парка СПбГУ. Из выращенного монокристалла ZnWO4 был изготовлен образец в форме прямоугольного параллелепипеда с основанием 2.0 × 2.0 мм и массой 46.16 мг. Экспериментальная теплоемкость образца измерялась как в режиме нагрева образца, так и в режиме охлаждения. Каждая серия составляла 27 точек интервала ~2.6–40 K, разбиение по оси температур осуществлялось в логарифмическом масштабе. Используемая молярная масса вычислена из формулы ZnWO4 как 313.22 г моль–1. Относительная неопределенность измерений теплоемкости составляет ~2.0% или менее, и величина ее зависит от диапазона температур, в которых проводятся измерения [14]. Неопределенность по температуре составляет 0.5%. Результаты измерений приведены на рис. 1 совместно с литературными данными [11].
Рис. 1. Экспериментальные данные о теплоемкости ZnWO4: кружки – данные настоящей работы; звездочки – данные [11]; сплошная кривая – сглаженное описание экспериментальных данных.
ОБСУЖДЕНИЕ РЕЗУЛЬТАТОВ
Экстраполяция теплоемкости к нулю температур
Для вычисления интегральных термодинамических функций при стандартной температуре была сделана экстраполяция полученных данных по теплоемкости к нулю и проведено сглаживание экспериментальной кривой Cp(T). При этом мы полагали, что ниже 2.6 K теплоемкость ZnWO4 не имеет аномальных вкладов.
Из рис. 1 видно, что теплоемкость, деленная на куб температуры, выходит на “полочку”, что значит, что экспериментальные точки теплоемкости вблизи нуля (ниже 8 K) принадлежат области справедливости закона Дебая. Однако эта область характеризуется повышенным экспериментальным разбросом, что делает решение неустойчивым при варьировании начальной и конечной точек. Чтобы расширить экспериментальный интервал, на основе которого будет выполнена экстраполяция теплоемкости, была использована комбинация теплоемкостей модели Дебая CD(T, θD) и Эйнштейна CE(T, θE) [15, 16]:
(1)
Путем замены переменных:
и
уравнение (1) может быть преобразовано к линейному виду:
(2)
Такая процедура делает решение более устойчивым, тем самым повышает достоверность поиска параметров, а также дает асимптотически верное описание вблизи нуля.
Область справедливости (1) определена как 0–14 K, наилучшее описание экспериментальных данных было достигнуто при значениях параметров θD = 403.1 K, θE = 95.9 K и η = 0.0136. При этом предполагалось, что ниже 2.6 K теплоемкость ZnWO4 не имеет аномальных вкладов. Результат приведен на рис. 2 в специальных координатах Y(X), относительное отклонение экспериментальных точек приведено на рис. 3 (треугольники). Экспериментальная точка #3 при 3.21 K статистически значимо отклоняется (4.21%), поэтому она была исключена из рассмотрения при расчете. Соответствующее значение характеристической температуры Дебая при нуле ΘD(0) для ZnWO4 составило 405 K.
Рис. 2. Теплоемкость ZnWO4 в координатах Y(X): треугольники – экспериментальные значения; прямая линия – описание экспериментальных точек уравнением Y(X) = 0.0136·X, область справедливости которого лежит в интервале 0–14 K.
Описание теплоемкости в интервале 0–40 K
Для описания экспериментальной теплоемкости использован подход, когда теплоемкость представляется в виде теплоемкости модели Дебая и суммы теплоемкостей модели Эйнштейна. При этом из 3n колебательных мод три акустические моды описываются теплоемкостью Дебая CD(T, θD) с характеристической частотой θD, а остальные моды являются оптическими и описываются теплоемкостями Эйнштейна CE(T, θE) c соответствующей характеристической частотой θE. Величина n отражает количество атомов в молекуле и равна 6. Учитывая, что экспериментальная теплоемкость содержит ангармонический вклад, сумма колебательных мод, соответствующих теплоемкостям Эйнштейна не будет ограничиваться условием 3(n – 1). В итоге уравнение для описания теплоемкости имеет вид:
. (3)
Здесь коэффициент при теплоемкости Дебая равен 1/6, а параметр θD = 222.9 K соответствует найденной ранее характеристической температуре Дебая при нуле ΘD(0) = 405 K. Далее вклад теплоемкости Дебая вычитается из общей экспериментальной теплоемкости, и результат описывается набором теплоемкостей Эйнштейна CE,i(T). Нахождение параметров θE,i и ai уравнения (3) осуществлялось для i = 1,2,3 (I = 3) исходя из минимума суммы квадратов отклонений, при этом значение первой характеристической частоты Эйнштейна θE,1 = 95.9 K определено ранее при экстраполяции теплоемкости к нулю и не варьировалось. Наилучший результат был достигнут при значениях параметров θE,2 = 149 K, θE,3 = 314 K и a1 = 0.01204, a2 = 0.0356, a3 = 0.2473. Полученная функция теплоемкости приведена на рис. 1 в координатах C/T 3 от T (сплошная кривая). Относительные отклонения полученного описания от экспериментальных точек приведены на рис. 3 (кружки), относительное среднеквадратичное отклонение от экспериментальных данных составляет 1.0% в интервале 2.6–11 K и 0.17% в интервале 11–40 K.
Обзор литературных данных по теплоемкости
Проведено сравнение полученных нами результатов с представленными в литературе. Данные [11] систематически отклоняются от наших данных в большую сторону и эти отклонения составляют от 0.6 до 3.6% с аномальными выбросами до 94%. Анализ данных [11] показал, что в них ниже 15 K присутствует аномальный вклад, это хорошо видно, например, на рис. 1 (звездочки). Принимая во внимание, что у авторов [11] были проблемы с примесью оксида цинка (в предыдущей публикации [10] был использован образец ZnWO4, загрязненный примесью ZnO), можно предположить, что они не достигли своей цели в очистке образца. Он все еще содержал какое-то количество примесей, в том числе оксид цинка, который в низкотемпературной области имеет аномальный вклад в теплоемкость типа Шоттки [17]. Таким образом, полученная ими теплоемкость имеет стороннюю компоненту и, как следствие, некорректно нормирована. В литературе присутствуют данные [12], полученные адиабатическим методом в интервале 81–301 K. Исследуемый в работе [12] образец высокого качества и чистоты был выращен низкоградиентным методом Чохральского. Данные [11] также систематически отклоняются от данных [12] на 6–12%, что подтверждает присутствие в этих данных сторонней компоненты теплоемкости, связанной с возможным присутствием примесей в образце. Учитывая, что приращение энтальпии до 1200 K [13] измерялось тем же коллективом авторов, что и теплоемкость [10, 11], можно ожидать аналогичных проблем с представленными данными. Из сказанного следует, что данные о теплоемкости и приращении энтальпии в интервале 300–1200 K требуют уточнения.
Сглаженное описание теплоемкости и термодинамические функции в интервале 0–301 K
При совокупном рассмотрении данных настоящей работы и данных [12] в уравнение (3) добавляется еще один член с параметрами θE,4 = 644 K и a4 = 0.4357. Таким образом, уравнение (3) с найденными параметрами является функцией, описывающей сглаженную теплоемкость ZnWO4 в интервале 0–301 K. Относительное среднеквадратичное отклонение экспериментальных точек от полученного описания в интервале 81–301 K составляет 0.8%. Соответствующие относительные отклонения приведены на рис. 3 (ромбы), они повторяют характер отклонений сглаженного описания теплоемкости полиномом, приведенным в работе [12] (рис. 3, плюсы).
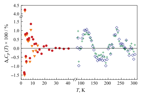
Рис. 3. Относительное отклонение экспериментальных значений от сглаженной теплоемкости (нулевая ордината) для ZnWO4: треугольники – описание уравнением (1) в интервале 2.6–14 K; кружки и ромбы – описание уравнением (3) данных настоящей работы в интервале 2.6–40 K и данных [12] при 81–301 K соответственно, плюсы – сглаженное описание экспериментальной теплоемкости полиномом по данным [12]. Экспериментальная точка #3 при 3.21 K статистически значимо отклоняется (треугольник и кружок, 4.2%), она была исключена из рассмотрения при нахождении сглаженного описания.
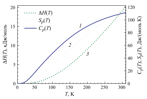
На основе сглаженной зависимости Cp(T) в температурном интервале 0–301 K вычислены термодинамические функции вольфрамата цинка: энтропия Sp(T), энтальпии ∆H(T) и свободная энергия Гиббса ΔG(T). Результаты приведены на рис. 4 и 5.
Рис. 4. Термодинамические функции ZnWO4 в интервале 0–301 K: теплоемкость Cp(T) (1), энтропия Sp(T) (2) и энтальпия ∆H(T) (3).
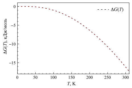
Рис. 5. Свободная энергия Гиббса ∆G(T) для ZnWO4 в интервале 0–301 K.
Уточненные значения термодинамических функций ZnWO4 при стандартных условиях (T = 298.15 K, p = 0.10 МПа) составили:
Cp°(T) = 109.9 ± 1.0 Дж моль–1 K–1,
Sp°(T) = 116.9 ± 1.3 Дж моль–1 K–1,
∆0298.15H(T) = 18.94 ± 0.18 кДж моль–1,
∆0298.15G(T) = –15.92 ± 0.20 кДж моль–1.
ЗАКЛЮЧЕНИЕ
Обнаружено нетипичное поведение теплоемкости ниже 15 K в данных работы [11], которые были получены при измерении порошка ZnWO4 адиабатическим методом. Для уточнения значений теплоемкости вблизи нулевых температур проведено экспериментальное исследование теплоемкости монокристаллического образца вольфрамата цинка в интервале 2.6–40 K релаксационным методом, впервые ниже 5 K. Исходя из экспериментальных данных получено описание теплоемкости ZnWO4 в области низких температур на основе физически обоснованного уравнения и вычислена температура Дебая при нуле. Аномального поведения теплоемкости, связанного с присутствием каких-либо фазовых переходов, не обнаружено. Сопоставление с известными данными показало, что экспериментальная теплоемкость работы [11] систематически отклоняется как от полученной нами теплоемкости, так и от приведенной в работе [12]. Например, уточненное значение теплоемкости ZnWO4 при 298.15 K составляет 109.9 Дж моль-1 K-1, оно совпадает с приведенным в работе [12] значением в рамках экспериментальной неопределенности и на 4.5% меньше приведенного в работе [11] значения. Эти факты позволяют сделать вывод о присутствии в теплоемкости образца [11] вклада, связанного с наличием примесных фаз, возможно, оксида цинка, примесь которого на уровне нескольких процентов могла быть не обнаружена на аналитическом оборудовании того времени. Теплоемкость ZnO имеет аномальную компоненту в области низких температур, связанную с эффектом Шоттке [16], вклад которой может дать обнаруженный эффект нетипичного поведения теплоемкости [11] вблизи нуля.
На основе совместного рассмотрения данных настоящей работы и литературных данных [12] получено сглаженное описание теплоемкости в интервале 0–301 K. На основе этих данных вычислены термодинамические функции вольфрамата цинка: энтропия, приращение энтальпии и свободная энергия Гиббса.
БЛАГОДАРНОСТИ
Работа выполнена при финансовой поддержке Российского научного фонда, грант № 23-79-00070.
КОНФЛИКТ ИНТЕРЕСОВ
Авторы заявляют об отсутствии конфликта интересов.
About the authors
А. Е. Мусихин
Институт неорганической химии им. А. В. Николаева СО РАН
Author for correspondence.
Email: musikhin@niic.nsc.ru
Russian Federation, Новосибирск, 630090
Е. Ф. Миллер
Институт неорганической химии им. А. В. Николаева СО РАН
Email: musikhin@niic.nsc.ru
Russian Federation, Новосибирск, 630090
Н. В. Гельфонд
Институт неорганической химии им. А. В. Николаева СО РАН
Email: musikhin@niic.nsc.ru
Russian Federation, Новосибирск, 630090
В. Н. Шлегель
Институт неорганической химии им. А. В. Николаева СО РАН
Email: musikhin@niic.nsc.ru
Russian Federation, Новосибирск, 630090
References
- Xin Wang, Ze Fan, Haohai Yu et al. Characterization of ZnWO4 Raman crystal // Optical Materials Express. 2017. V. 7. P. 1732. https://doi.org/10.1364/OME.7.001732
- Danevich F.A., Kobychev V.V., Nagornyet S.S. et al. ZnWO4 crystals as detectors for 2β decay and dark matter experiments // Nucl. Instr. Meth. A. 2005. V. 544. P. 553. https://doi.org/10.1016/j.nima.2005.01.303
- Kowalski Z., Kaczmarek S.M., Berkowski M. et al. Growth and optical properties of ZnWO4 single crystals pure and doped with Ca and Eu // Journal of Crystal Growth. 2016. V. 457. P. 117. http://doi.org/10.1016/j.jcrysgro.2016.06.043
- Belli P., Bernabei R., Borovlev Yu.A. et al. New development of radiopure ZnWO4 crystal scintillators // Nucl. Instr. Meth. A. 2019. V. 935. P. 89. https://doi.org/10.1016/j.nima.2019.05.014
- Belli P., Bernabei R., Borovlev Yu.A. et al. Optical, luminescence, and scintillation properties of advanced ZnWO4 crystal scintillators // Nucl. Instr. Meth. A. 2022. V. 1029. 166400. https://doi.org/10.1016/j.nima.2022.166400
- Филипенко O.C., Победимская E.A., Белов H.B. и др. Кристаллическая структура цинкового вольфрамата ZnWO4 // Кристаллография. 1968. Т. 13. С. 163. (Filipenko O.S., Pobedimskaya E.A., Belov N.V. et al. Crystal structure of ZnWO4 // Soviet Physics – Crystallography. 1968. V. 13. P. 127–129.)
- Schofield P.F., Knight K.S., Cressey G. Neutron powder diffraction study of the scintillator material ZnWO4 // J. of Materials Science. 1996. V. 31. P. 2873. http://doi.org/10.1007/BF00355995
- Trots D.M., Senyshyn A., Vasylechko L. Et al. Crystal structure of ZnWO4 scintillator material in the range of 3–1423 K // J. of Physics: Condensed Matter. 2009. V. 21. Р.325402. http://doi.org/10.1088/0953-8984/21/32/325402
- O’Hara S., McManus G.M. Czochralski Growth of Low-Dislocation-Density Zinc Tungstate Crystals // J. of Applied Physics. 1965. V. 36. P. 1741. https://doi.org/10.1063/1.1703120
- Lyon W.G, Westrum E.F. Heat capacities of zinc tungstate and ferrous tungstate from 5 to 550 K // The J. of Chemical Thermodynamics. 1974. V. 6. P. 763. https://doi.org/10.1016/0021-9614(74)90141-4
- Landee C.P, Westrum E.F. Thermophysical measurements on transition-metal tungstates I. Heat capacity of zinc tungstate from 5 to 550 K // The J. of Chemical Thermodynamics. 1975. V. 7. P. 973. https://doi.org/10.1016/0021-9614(75)90161-5
- Попов П.А., Скробов С.А., Матовников А.В. и др. Теплопроводность и теплоемкость кристалла ZnWO4 // Физика твердого тела, 2016, Т. 58. С. 827. (Popov P.A., Skrobov S.A., Matovnikov A.V. et al. Thermal conductivity and heat capacity of a ZnWO4 crystal // Physics of the Solid State. 2016. V. 58. P. 853.) https://doi.org/10.1134/S1063783416040193)
- Lyon W.G, Westrum E.F. High-temperature thermal functions and the thermochemistry of zinc tungstate // The J. of Chemical Thermodynamics. 1974. V. 6. P. 781. https://doi.org/10.1016/0021–9614(74)90142–6
- Lashley J.C., Hundley M.F., Migliori A. et al. Critical examination of heat capacity measurements made on a Quantum Design physical property measurement system // Cryogenics. 2003. V. 43. P. 369. https://doi.org/10.1016/S0011-2275(03)00092-4
- Musikhin A.E., Naumov V.N., Bespyatov M.A. et al. Low-temperature properties of BaWO4 based on experimental heat capacity in the range 5.7–304 K // J. of Alloys and Compounds. 2015. V. 639. P. 145. http://doi.org/10.1016/j.jallcom.2015.03.159
- Musikhin A.E., Bespyatov M.A., Shlegel V.N. et al. Low-temperature properties of BaWO4 based on experimental heat capacity in the range 5.7–304 K // J. of Alloys and Compounds. 2019. V. 802. P. 235. https://doi.org/10.1016/j.jallcom.2019.06.197
- Lawless W.N., Gupta T.K. Thermal properties of pure and varistor ZnO at low temperatures // J. of Applied Physics. 1986. V. 60. P. 607. https://doi.org/10.1063/1.337455
Supplementary files







