Процессы структурообразования при получении наночастиц L- И D-аспарагината хитозана
- Authors: Шипенок К.М.1, Луговицкая Т.Н.2, Шиповская A.Б.1
-
Affiliations:
- СГУ им. Н. Г. Чернышевского
- УРФУ им. Б. Н. Ельцина
- Issue: Vol 98, No 8 (2024)
- Pages: 133-141
- Section: PHYSICAL CHEMISTRY OF NANOCLUSTERS, SUPRAMOLECULAR STRUCTURES, AND NANOMATERIALS
- Submitted: 22.01.2025
- Accepted: 22.01.2025
- Published: 22.08.2024
- URL: https://journals.rcsi.science/0044-4537/article/view/277715
- DOI: https://doi.org/10.31857/S0044453724080187
- EDN: https://elibrary.ru/PHYLHZ
- ID: 277715
Cite item
Full Text
Abstract
Обсуждаются процессы структурообразования, протекающие в системе хитозан + L-(D-)аспарагиновая кислота + вода при самопроизвольном формировании полимерных наночастиц. Установлено, что молярная электрическая проводимость растворов L-(D-)аспарагината хитозана в координатах Кольрауша уменьшается с повышением концентрации полимера вследствие снижения подвижности ионов кислотного остатка под действием электростатического потенциала макроиона. Концентрационная зависимость удельной электропроводности и гидродинамические параметры указывают на частичную компенсацию зарядов макроцепей посредством формирования ионных пар [~-NH3+] – анион. Обнаруженные закономерности являются сложной функцией ассоциации противоионов с поликатионом, приводящей к фазовой сегрегации полимерного вещества на уровне наночастиц. Эффекты противоионной конденсации и диаметр формирующихся наночастиц в значимой степени определяются мольным соотношения [кислота]: [~-NH2] и энантиомерной формой кислотного остатка.
Full Text
Явление противоионной конденсации в синтетических полиэлектролитах, движущими силами которого является ассоциация противоионов на заряженных фрагментах макромолекулярной цепи, глубоко изучено теоретически и подтверждено экспериментально [1, 2]. Практическое применение таких самоорганизующихся полиэлектролитных систем привело к разработке широкого круга полимерных материалов: от хемомеханических рН-чувствительных систем и суперадсорбентов до новых средств доставки лекарств, ароматизированных тканей [3–6] и др.
По всей вероятности, в полиэлектролитных системах природного происхождения, в частности, в растворах хитозана (CS), также имеет место явление противоионной конденсации. В водно-кислотной среде вследствие протонирования NH2-групп формируется солевая форма полимера – положительно заряженный полиэлектролит (~-NH3+) с ионной проводимостью. Основной вклад в перенос электричества в таких растворах вносят свободные противоионы, а также избыточные ионы гидроксония [7, 8]. Однако в литературе имеются лишь единичные публикации, в которых упомянуты ассоциативные взаимодействия в системе CS-кислота [7, 9, 10]. Например, методами фурье-спектроскопии комбинационного рассеяния света и квантовохимического моделирования установлено, что взаимодействие между макромолекулой протонированного CS (~-NH3+) и ацетат-ионом в разбавленных растворах уксусной кислоты сопровождается комплексообразованием (солеобразованием) полимера с ацетат-ионом с образованием ионных пар типа [~-NH3+·CH3COO–] [11]. Авторы [7] сообщили о стабилизации солевой формы CS с уксусной, муравьиной и пропионовой кислотами посредством сложных ион-ионно–водородных контактов. В работах [9, 10] предположили, что в солевых комплексах CS с указанными выше кислотами, а также масляной и углекислотой реализуются не только меж- и внутримолекулярные водородные связи, и классические кулоновские взаимодействия, но и специфические кулоновские координации в виде ионных ассоциаций, а также гидрофобные ион-дипольные контакты. Варьирование константы диссоциации CS в водных растворах уксусной кислоты в зависимости от конформации макромолекул (спираль, клубок), обнаруженное в [12], также может служить подтверждением противоионного связывания поликатион–проитивоионы.
Нам представляется, что такие ассоциативные процессы, особенно на начальном этапе конденсации противоионов, могут способствовать формированию специфических наноразмерных полимерных структур, перспективных для создания систем пролонгированной доставки лекарств, трансфекции ДНК и невирусных генных векторов, тераностики, высокочувствительных биосенсоров и др. Например, в системе CS + L-аспарагиновая кислота (AspA) + Н2О могут протекать процессы противоионной конденсации, сопровождающиеся фазовой сегрегацией полимерного вещества на уровне нано- и микрочастиц [13]. Данные ассоциативные процессы наиболее интенсивны в первые 24 ч с момента приготовления раствора и усиливаются с повышением концентрация CS [14]. При этом вследствие биологической активности L-AspA ее водные растворы рассматриваются в качестве биосовместимой среды для растворения CS [15, 16].
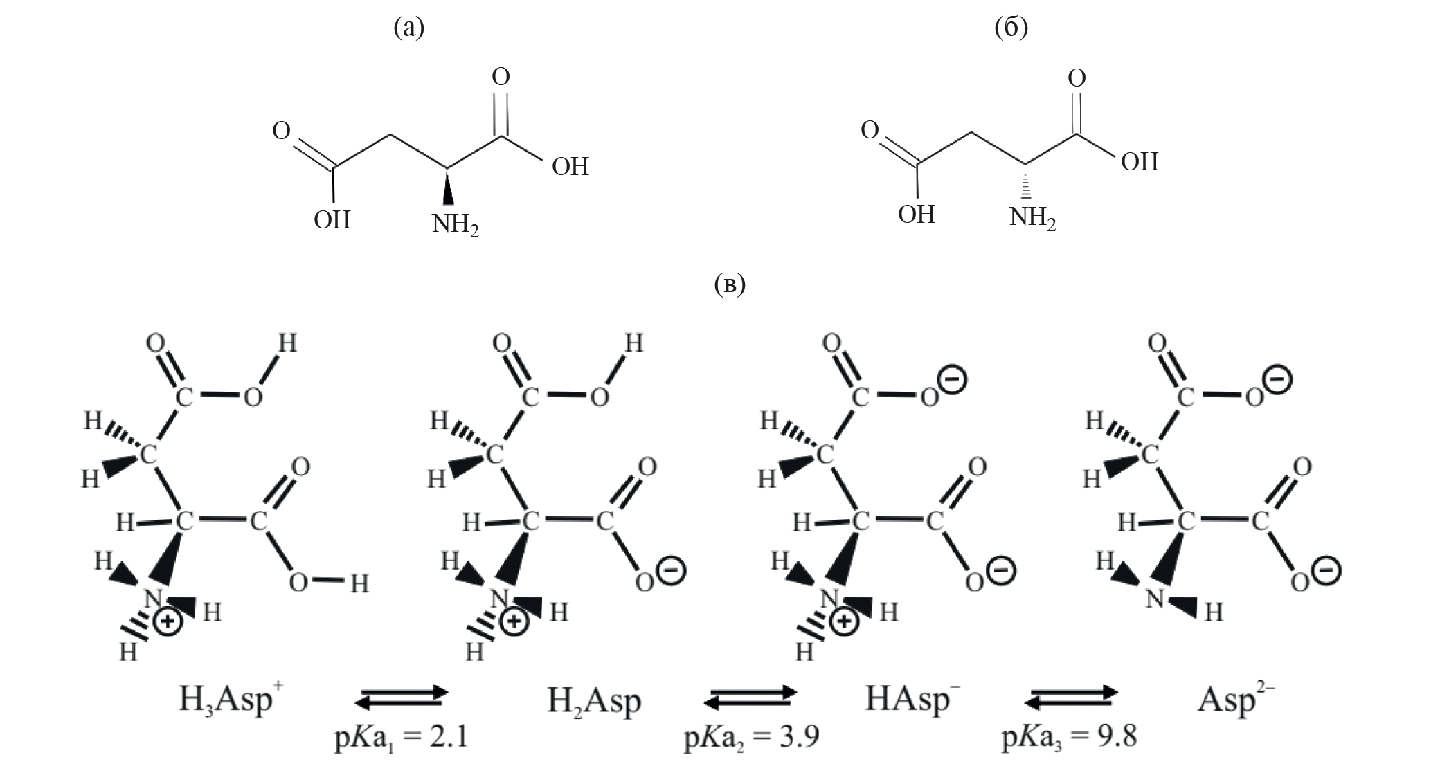
Между тем, AspA имеет два энантиомера, отличающихся пространственной конфигурацией NH2-групп (рис. 1а, б) и биологической функциональностью [17, 18]. L-AspA и D-AspA имеют невысокую растворимость в воде [19] и в зависимости от рН существуют в различных пропорциях ионов водорода, катионов, диполярных ионов, анионов и дианионов (рис. 1в) [20, 21].
Рис. 1. Структурные формулы энантиомеров L-AspA (а), D-AspA (б) и структуры ионов AspA при разном значении рН (в).
Наноразмерная солевая форма CS с L- и D-AspА нетоксична, гемо- и биосовместима, проявляет высокую ростостимулирующую активность в отношении тест-растений с наилучшим эффектом для солевого комплекса с D-антиподом AspА [22]. Вероятно, что подобное проявление биологической активности обусловлено не только стереоспецифическим пространственным упорядочением CS·L-AspA и CS·D-AspA, но особенностями противоионной конденсации энатиомерных солевых систем. Для подтверждения этого предположения нами выполнен комплекс физико-химических исследований системы CS + L-(D-)AspA + Н2О с применением кондуктометрического, вискозиметрического и потенциометрического методов анализа. Особое внимание уделено влиянию концентрации L-(D-)AspA на ассоциативные процессы.
Цель работы – оценка процессов структурообразования, протекающих в системе CS + L-(D-)AspA + Н2О при самопроизвольном формировании полимерных наночастиц, и влияния энантиомерной формы кислоты на физико-химические свойства растворов и размерно-морфологические характеристики наночастиц солевых комплексов CS⋅L-(D-)AspА.
Экспериментальная часть
Материалы и объекты исследования. Использовали CS со средневязкостной молекулярной массой Mh = 200 кДа и степенью деацетилирования 82 мол. % (ЗАО “Биопрогресс”, РФ); порошки (“х.ч.”) L-AspA (ЗАО “Биоамид”, РФ) и D-AspA (ЗАО “Вектон”, РФ); NaOH (ЗАО “База № 1 Химреактивов”, РФ); КCl (АО “Химреактив”, РФ); бидистиллированную воду.
Объектами исследования выбраны водные растворы CS в L-(D-)AspA с разным мольным соотношением полимер/кислота ([AspA]/[–NH2], моль/осново-моль): свежеприготовленные и хранившиеся в условиях комнатной атмосферы в течение tʹ = 7–10 сут, и выделенные из данных растворов воздушно-сухие образцы полимерных наночастиц.
Водные растворы L-(D-)AspA концентрации СAspA = 0.05–0.8 г/дл готовили по методике из работы [23]. Физико-химические свойства растворов представлены в табл. 1.
Таблица 1. Удельная электропроводность и рН водных растворов L- и D-AspA, степень диссоциации и кажущаяся константа диссоциации L- и D-AspA в водной среде
СAspА, г/дл | æуд×105, См/м | рН | αʹ, отн. ед. | рКа2 | ||||
L-AspA* | D-AspA | L-AspA* | D-AspA | L-AspA** | D-AspA | L-AspA** | D-AspA | |
0.05 | 42.1 | 51.8 | 3.4 | 3.4 | 0.50 | 0.56 | 5.49 | 5.47 |
0.1 | 43.8 | 62.6 | 3.3 | 3.3 | 0.48 | 0.51 | ||
0.2 | 64.5 | 78.3 | 3.1 | 3.2 | 0.27 | 0.33 | ||
0.4 | 72.6 | 89.1 | 3.0 | 3.0 | 0.17 | 0.24 | ||
0.8 | 92.1 | 96.0 | 3.0 | 2.9 | 0.08 | 0.10 | ||
* Данные работы [23]
** Данные работы [13]
Растворы солей CS·L-(D-)AspA в дистиллированной воде концентрации СCS = 0.2–1.2 г/дл получали на колбонагревателе Labdevices HMS-100D (Китай) при 50.0±0.1°C и перемешивании магнитной мешалкой со скоростью 400 об./мин. В колбу на 100 мл наливали 50 мл Н2О, подогревали до указанной температуры, засыпали навеску CS и перемешивали 20 мин для набухания частиц полимера. Далее в колбу вносили навеску AspA, добавляли 50 мл Н2О, перемешивали в течение 2–3 ч до растворения CS, охлаждали до комнатной температуры и фильтровали через воронку Шотта-160.
Гравиметрические измерения проводили на аналитических весах “Ohaus Discovery” SC2020 (США), точность взвешивания ± 0.0001 г. Водородный показатель (рН) измеряли на рН-метре Mettler Toledo Five Easy FE20 pH-meter (MTD, Сингапур), точность определения ±0.01 pH, повторность пятикратная.
Методы исследования. Электропроводность определяли измерением сопротивления (R) системы на кондуктометре WTW inoLab Cond 7110 при 25°C с точностью ±0.5%. Использовали термостатированную ячейку объемом 25 мл. Удельную электропроводность (ӕуд, См·м–1) рассчитывали по данным трех параллельных измерений с учетом удельной электропроводности воды (ӕН2О, См∙м–1):
где К = 0.1213 м–1 – постоянная ячейки, определенная по 0.01 Н раствору КCl.
Молярную электропроводность (λ, См·моль–1 см2) рассчитывали по соотношению:
где СCS – молярная концентрация полимера в растворе, осново-моль/дм3.
Степень протонирования (α, мол. %) CS в водном растворе L-(D-)AspА определяли методом потенциометрии на автоматическом титраторе Mettler Toledo G20 (США) с использованием стеклянного электрода и стандарт-титра 0.06 М NaOH при 25°C по методике [24], точность определения 0.1 мол. %, повторность трехкратная. Степень диссоциации (αʹ, отн. ед.) и кажущаяся константа диссоциации (рКа2) L-(D-)AspА в водном растворе определены методом кондуктометрии в условиях равновесия Н2Asp ↔ H+ + HAsp– с учетом основности кислоты согласно [21]. Значения α рассчитывали по формуле:
Вискозиметрические измерения проводили в вискозиметре Уббелоде (РФ) с диаметром капилляра 0.56 мм при 25°C. Разведение исходного раствора полимера CS·L-(D-)AspA заданной концентрации проводили водным раствором L-(D-)AspА соответствующей СAspA. Число вязкости (ηуд/СCS, дл/г) рассчитывали по соотношению:
ηуд/СCS = (t – t0)/(t0∙СCS),
где t и t0 – время истечения раствора полимера и кислоты, с; точность измерения t и t0 составила ±0.1 с, повторность трехкратная. Предельное число вязкости ([η], дл/г) определяли по начальному прямолинейному участку зависимости lnηуд = f (СCS) согласно работе [25]. Эффективный радиус (Ref, нм) макромолекулярного клубка при бесконечном разбавлении рассчитывали по формуле:
Nа – постоянная Авогадро, моль–1; [η] выражена в мл/г.
Изображения сканирующей электронной микроскопии (СЭМ) получали на микроскопе MIRA\\LMU (Tescan, Чехия) при напряжении 30 кВ и проводящем токе 400 пА с внутрилинзовым SE-детектором In-Beam SE тёмного/яркого поля и энергодисперсионным детектором (EDX). Пробоподготовка образцов: каплю раствора с добавкой ~0.3 мас. % стабилизатора (полиолат кремния) наносили на алюминиевую подложку с поливинилформалевым покрытием и сушили 5 мин в вакууме на установке K450X Carbon Coater.
Изображения атомно-силовой микроскопии (АСМ) получали на микроскопе Интегра Спектра (ООО “НТМДТ-СИ”, РФ) в контактном режиме с использованием NSG11 зонда с резонансной частотой 320 кГц, упругой постоянной 40 Н/мкм и кривизной острия 10 нм. АСМ-изображения обрабатывали в программе Gwyddion 2.48. Пробоподготовка образцов: каплю раствора наносили на поверхность свежего скола слюды и сушили 15 мин при 40°C в сушильном шкафу ULAB UT-4603 (Китай).
Обсуждение результатов
Донорно-акцепторное взаимодействие CS с L-AspA или D-AspA в водной среде сопровождается формированием солевых комплексов и макромолекулы полимера приобретают свойства катионного полиэлектролита (~-NH3+). При этом характер концентрационных зависимостей электропроводности CS∙L-AspA и CS∙D-AspA свидетельствует, что полимерные соли следует отнести к числу слабых электролитов (рис. 2). Обнаруженные нами для системы CS + L-AspA + Н2О процессы противоионной конденсации [13], когда часть противоионов НAsp– находится в ассоциированном (связанном) состоянии с -NH3+-группами макроцепи с образованием ионных пар и мультиплетных структур, проявляются и для системы CS + D-AspA + Н2О.
Рис. 2. Концентрационные зависимости эквивалентной (а) и удельной электропроводности (б) свежеприготовленных водных растворов CS в L-AspА (1, 2) и D-AspА (1ʹ, 2ʹ) с САspА = 0.4 (1, 1ʹ) и 0.8 г/дл (2, 2ʹ).
Анализ концентрационной зависимости эквивалентной электропроводности в координатах Кольрауша показывает, что при всех исследуемых САspА значения λ растворов уменьшаются с увеличением концентрации CS (рис. 2а). Такое, противоречивое на первый взгляд, явление отражает особенности электрохимического поведения малодиссоциирующих полиэлектролитных систем. Так, с повышением СCS в водном растворе закономерно увеличивается число ионогенных групп -NH3+ и, соответственно, количество способных к переносу заряда частиц. В свою очередь интенсификация диссоциации AspA в присутствии CS, о чем сообщалось в [14], вызывает увеличение плотности заряда макроцепи и приводит к усилению электростатического притяжения противоионов. В результате значимо повышается степень связывания поликатионов с противоионами (~-NH3+ + HAsp–) и последние уже не участвуют в переносе электричества. Относительная доля связанных противоионов от общего их числа в растворе возрастет с увеличением “нейтрализованных” ионогенных групп, что и отражается в уменьшении λ.
Предложенное объяснение ассоциативно-диссоциативных процессов подтверждается и концентрационной зависимостью удельной электропроводности растворов CS∙L-(D-)AspA (рис. 2б). Для обеих энантиомерных солевых форм наблюдается увеличение ϰуд с повышением СCS при САspА = const. При этом линейная зависимость ϰуд = f (СCS) реализуется лишь в области малых концентраций полимера, а в области высоких – отклонение от линейности тем больше, чем выше СCS. Непропорциональный темп повышения ϰуд с увеличением СCS еще раз подтверждает процесс противоионного электростатического связывания ~-NH3+ и HAsp–.
С увеличением концентрации L-(D-)AspA удельная и эквивалентная проводимости раствора закономерно повышаются (рис. 2), но реализуемые значения λ и ϰуд значимо ниже водных растворов индивидуальных энантиомеров AspA (табл. 1). Учитывая, что электропроводность определяется количеством заряженных частиц и их подвижностью [7, 8], такое поведение обусловлено, с одной стороны, солеобразованием полимер–кислота, а с другой, повышением общего количества свободных ионов (переносчиков электричества) вследствие смещения кислотно-основного равновесия в сторону кислоты.
Обращает внимание, что при СCS < 0.1–0.2 г/дл абсолютные числовые значения λ и ϰуд растворов CS∙L-AspA и CS∙D-AspA слабо зависят от энантиомерной формы кислоты, а при СCS > 0.2 г/дл – несколько выше для растворов CS∙D-AspA. Это указывает на интенсификацию протолиза D-AspA в присутствии CS по сравнению с аналогичным процессом для L-AspA, приводящую к реализации более высоких значений степени протонирования CS∙D-AspA (табл. 2).
Таблица 2. Физико-химические, гидродинамические и электрохимические параметры свежеприготовленных и хранивших растворов CS∙L-AspA и CS∙D-AspA
САspА, г/дл | [AspA]/[-NH2]*, моль/ осново- моль | рН* | α*, мольн. % | t′, сут | [η], дл/г | Rэф, нм | –Δ[η], % | –Δ[æ]*, % | ∆[H3O+]‧105*, моль/дм3 | |||||||
ХТЗ∙L- AspА | ХТЗ∙D- AspА | ХТЗ∙L- AspА | ХТЗ∙D- AspА | ХТЗ∙L- AspА | ХТЗ∙D- AspА | ХТЗ∙L- AspА | ХТЗ∙D- AspА | ХТЗ∙L- AspА | ХТЗ∙D- AspА | ХТЗ∙L- AspА | ХТЗ∙D- AspА | ХТЗ∙L- AspА | ХТЗ∙D- AspА | |||
0.2 | 1.01 | 4.3 | 4.3 | 26.8 | 32.8 | 0 | 13.1 | 15.2 | 74.6 | 78.4 | 3.8 | 19.1 | – | – | 0.53 | 0.83 |
4 | 12.6 | 12.3 | 73.6 | 73.1 | ||||||||||||
0.4 | 2.03 | 3.5 | 3.5 | 16.8 | 23.7 | 0 | 11.4 | 11.6 | 71.1 | 71.6 | 7.0 | 9.5 | 11.1 | 14.9 | 3.40 | 6.34 |
4 | 10.6 | 10.5 | 69.4 | 69.3 | ||||||||||||
0.8 | 4.06 | 3.1 | 3.0 | 7.5 | 9.2 | 0 | 8.3 | 8.5 | 64.1 | 64.6 | 4.9 | 8.2 | 5.3 | 7.8 | 23.4 | 28.1 |
4 | 7.9 | 7.8 | 63.0 | 62.9 | ||||||||||||
* Определено для растворов CS∙L-AspA и CS∙D-AspA с СCS = 0.25 г/дл.
Изучение гидродинамических свойств показало, что CS∙L-AspA и CS∙D-AspA в водной среде проявляет свойства полиэлектролита с частично скомпенсированным зарядом. Концентрационная зависимость ηуд/СCS отличается от классических полиэлектролитных систем, число вязкости которых возрастает с понижением концентрации полимера за счет отталкивания одноименно заряженных звеньев вследствие их пространственной удаленности от свободных противоионов. Функция ηуд/СCS = f (СCS) растворов CS∙L-AspA и CS∙D-AspA имеет плато и ниспадающую ветвь, либо небольшой максимум (рис. 3а, б). Это свидетельствует о смешанном полиэлектролитно-иономерном состоянии макроцепей, когда часть противоионов кислотного остатка ассоциирована с макрокатионом. При этом соотношение между свободными и связанными формами противоионов определяется балансом их трансляционной энтропии (энтропии независимого поступательного движения) и процессом образования ионных пар между ~-NH3+ и НAsp–.
Рис. 3. Концентрационные зависимости числа вязкости водных растворов CS в L-AspА (а, б) и D-AspА (в, г) с САspА = 0.2 (1), 0.4 (2) и 0.8 г/дл (3): свежеприготовленных (а, в) и через 4 сут хранения (б, г).
Доля ассоциированных противоионов (ионных пар) возрастает с увеличением концентрации L-(D-)AspA (СCS = const) и, соответственно, мольного соотношения [AspA]/[–NH2]. При этом уменьшается электростатическое отталкивание протонированных аминогрупп полимерной цепи и, следовательно, объём, занимаемый макромолекулой в растворе. На это указывает понижение числа вязкости (ηуд/СCS), предельного числа вязкости ([η]), эффективного радиуса макроклубка (Rэф) с повышением СAspA (рис. 3а, б; табл. 2). Возможно, состояние макроцепей с частично компенсированным зарядом обусловлено природой AspA, склонной к биполярной ионизации в водной среде с формированием нескольких ионных форм при одном значении рН, что и предопределяет преобладание конденсации противоионов над диссоциацией ионогенных групп.
Высокая подвижность заряженных частиц CS∙L-(D-)AspA отразилась и на кинетической стабильности растворов. Оказалось, что выдерживание полимерной системы в условиях комнатной атмосферы сопровождается значимым понижением ηуд/СCS, [η], Rэф, ϰуд и повышением рН, в отдельных случаях – трансформируется характер зависимости ηуд/СCS = f (СCS) (рис. 3в, г; табл. 2). Изменения Δ[η] и Δ[æ] во времени наиболее интенсивны в растворах с САspА = 0.2 и 0.4 г/дл, в которых солевые комплексы характеризуются более высокой степенью протонирования, ∆[H3O+] – в растворе с САspА = 0.8 г/дл, а также для D-энантиомерного комплекса полимер–кислота. На 5–6 сут выдерживания наблюдается опалесценция, при более длительном t′ – фазовое разделение. Так, для системы на основе CS∙L-AspA на ~7 сут фиксируется выпадение водонерастворимого хлопьевидного осадка, а на основе CS∙D-AspA на ~10 сут – водонерастворимого мелкодисперсного порошка. Наибольший временной интервал до высаждения полимерной фазы наблюдается при более высокой концентрации L-(D-)AspA (бóльшем мольном соотношении [AspA]/[–NH2]).
В совокупности исследования электрохимических и вискозиметрических свойств системы CS + L-(D-)AspA + Н2О, ее кинетической стабильности подтверждают эффекты противоионной конденсации в обеих энантимерных формах солей. Вероятно, противоионам термодинамически не выгодно находиться в свободном состоянии и они продолжают образовывать ионные пары с NH3+-группами полимерных цепей, теряя трансляционную подвижность, но выигрывая в электростатическом взаимодействии с поликатионом. Это приводит к экранированию электростатического отталкивания между одноименно заряженными звеньями макроцепи и способствует диполь-дипольному взаимодействию ионных пар, их объединению в мультиплетные структуры и, как следствие, уплотнению макроклубков с формированием наноразмерных зародышей полимерной фазы.
На СЭМ-изображениях высушенных микропроб свежеприготовленного раствора CS∙L-(D-)AspA визуализируются наноразмерные структуры, близкой к сферической формы, и их агрегаты (рис. 4). Элементный состав (СЭМ-EDX) наноразмерной полимерной фазы показал содержание 42.95 ± 1.2% углерода, 21.09 ± 0.9% азота и 35.96 ± 1.0% кислорода. Это подтверждает предположение, что наночастицы представлены солевой формой полимера – L-(D-)аспарагинатом CS.
Рис. 4. СЭМ- (а, б) и АСМ-изображения наночастиц (в, г), выделенных из свежеприготовленных растворов CS в L-AspA (а) и D-AspA (б) с СCS = 0.25 г/дл и САspА = 0.4 г/дл.
На АСМ-фотографиях проб также наблюдаются дискретные и агрегированные сферические наноструктуры. Однако, размер частиц несколько больше, что, по-видимому, обусловлено способом препарирования системы. Тем не менее, морфологическая картина СЭМ- и АСМ-изображений образцов одинаковая и во всех случаях средний эффективный диаметр (d) наночастиц CS∙D-AspA меньше, чем CS∙L-AspA. Это коррелирует с результатими вискозиметрических измерений растворов CS∙L-(D-)AspA. Несмотря на более высокие значения [η] и Rэф свежеприготовленных растворов CS∙D-AspA, протекающие во времени ассоциативные процессы вызывают более значимое уплотнение макроклубков, чем в растворах CS∙L-AspA (табл. 2). Это создает наиболее благоприятные стерические условия для формирования более уплотненной структуры и, соответственно, приводит к формированию наночастиц меньшего размера.
Заключение
Можно констатировать, что кооперативные взаимодействия между фиксированными зарядами поликатиона и низкомолекулярными противоионами в системе CS + L-(D-)AspA + Н2О сопровождаются формированием ионных пар, мультиплетных структур и самопроизвольным формированием полимерных наночастиц. Реализующиеся эффекты в значимой степени определяются концентрацией и энантиомерной формой кислоты. Процесс первичной противоионной конденсации интенсифицируется повышением САspА, а объединение ионных пар в мультиплетные структуры при выдерживании растворов во времени – понижением. Усиление диссоциации кислоты в присутствии CS наиболее выражено в системе на основе D-AspA. Более интенсивное протекание ассоциативных процессов во времени реализуется для D-солевых комплексов полимер–кислота.
Придание наночастицам L- и D-аспарагината CS агрегативной и седиментационной устойчивости путем стабилизации поверхности защитной оболочкой является предметом дальнейших сообщений.
Работа выполнена при финансовой поддержке Российского научного фонда, проект № 22-23-00320, https://rscf.ru/project/22-23-00320/.
About the authors
К. М. Шипенок
СГУ им. Н. Г. Чернышевского
Author for correspondence.
Email: tlugovitskaja@mail.ru
Russian Federation, 410012, Саратов
Т. Н. Луговицкая
УРФУ им. Б. Н. Ельцина
Email: tlugovitskaja@mail.ru
Russian Federation, 620002, Екатеринбург
A. Б. Шиповская
СГУ им. Н. Г. Чернышевского
Email: tlugovitskaja@mail.ru
Russian Federation, 410012, Саратов
References
- Волков Е.В., Филиппова О.Е., Хохлов А.Р. // Коллоидн. журн. 2004. Т. 66. № 6. С. 739.
- Volkov, E.V., Filippova, O. E., Khokhlov, A. R. // Colloid. J. 2004. V. 66. № 6. P. 663.
- Kramarenko E.Y., Khokhlov A.R. // Polymer Sci. Ser. A. 2007. V. 49. № 9. P. 1053.
- Schneider H.J. // Royal Society of Chemistry. 2022.
- Ge L., Tan X., Sheng R. et al. // Colloid Interface Sci. Commun. 2022. V. P. 100603.
- Кузьменко В.А., Русанова А.И., Одинцова О.И. // Изв. вузов. Химия и химическая технология. 2014. Т. 57. № 6. С. 102.
- Li Q., Song B., Yang Z. et al. // Carbohydr. Polym. 2006. V. 63. № 2. P. 272.
- Бобрешова О.В., Бобылкина О.В., Кулинцов П.И. и др. // Электрохимия. 2004. Т. 40. № 7. С. 793.
- Bobreshova O.V., Bobylkina O.V., Kulintsov P.I. et al. // Rus. J. Electrochem. 2004. V. 40. № 7. P. 694.
- Endres M.B., Weichold O. // Carbohydr. Polym. 2019. V. 208. P. 108.
- Pigaleva M.A., Portnov I.V., Rudov A.A. et al. // Macromolecules. 2014. V. 47. № 16. P. 5749.
- Михайлов Г.П., Тучков С.В., Лазарев В.В. и др. // Журн.физ.химии. 2014. T. 88. № 6. C. 973.
- Mikhailov, G. P., Tuchkov, S. V., Lazarev, V. V. et al. // Rus. J. Phys. Chem. A. 2014. V. 88. P. 936.
- Саломатина Е.В., Маркин А.В., Климова М.Н. и др. // Журн.физ.химии. 2017. T. 91. № 12. С. 2063.
- Lugovitskaya T.N., Shipovskaya A.B., Shmakov S.L. et al. // Carbohydr. Polym. 2022. V. 277. P. 118773.
- Lugovitskaya T.N., Shipovskaya A.B., Shipenok X.M. // Chimica Techno Acta. 2021. V. 8. № 4. P. 20218405.
- Луговицкая Т.Н., Зудина И.В., Шиповская А.Б. // Журн.прикл.химии. 2020. Т. 93. № . 1. С. 90.
- Lugovitskaya T.N., Zudina I.V., Shipovskaya A.B. // Rus. J. Appl. Chem. 2020. V. 93. № 1. P. 80.
- Шиповскаяa А.Б., Луговицкая Т.Н., Зудина И.В. // Микробиология. 2023. Т. 92. № 1. С. 68.
- Shipovskaya A.B., Lugovitskaya T.N., Zudina I.V. // Microbiology. 2023. V. 92. № . 1. P. 75.
- Ayon N.J. // AIMS Molec. Sci. 2020. V. 7. № 3. P. 229.
- Червяков А.В., Захарова М.Н., Пестов Н.Б. // Анналы клин. и эксперим. неврологии. 2014. Т. 8. № 2. С. 51.
- Wang J., Wang J., Liu J. et al. // J. Chem. Eng. Data. 2010. V. 55. № 4. P. 1735.
- Sang-Aroon W., Ruangpornvisuti V. // Int. J. Quantum Chem. 2008. V. 108. № 6. P. 1181.
- Apelblat A., Manzurola E., Orekhova Z. // J. Solution Chem. 2008. V. 37. P. 97.
- Shipovskaya A., Shipenok X., Lugovitskaya T. et al. // Materials Proceedings. 2023. V. 14. № 1. P. 31.
- Луговицкая Т.Н., Шиповская А.Б. // ЖОХ. 2017. Т. 87. № 4. С. 650.
- Lugovitskaya T.N., Shipovskaya A.B. // Rus. J. General Chem. 2017. V. 87. № 4. P. 782.
- Rinaudo M., Pavlov G., Desbrieres J. // Polymer. 1999. V. 40. № 25. P. 7029.
- Wolf B.A. // Macromol. Rapid Commun. 2007. V. 28. № 2. P. 164.
Supplementary files






