Одноэлектронный перенос в реакциях радикального присоединения
- Authors: Томилин О.Б.1, Бояркина О.В.1, Князев A.В.2, Родин E.А.1
-
Affiliations:
- ФГБОУ ВО “Национальный исследовательский Мордовский государственный университет им. Н. П. Огарёва”
- Национальный исследовательский Нижегородский государственный университет им. Н. И. Лобачевского
- Issue: Vol 98, No 8 (2024)
- Pages: 121-132
- Section: STRUCTURE OF MATTER AND QUANTUM CHEMISTRY
- Submitted: 22.01.2025
- Accepted: 22.01.2025
- Published: 22.08.2024
- URL: https://journals.rcsi.science/0044-4537/article/view/277711
- DOI: https://doi.org/10.31857/S0044453724080175
- EDN: https://elibrary.ru/PIYQSR
- ID: 277711
Cite item
Full Text
Abstract
Предложенная гипотеза об изменении спинового состояния двухцентровой двухэлектронной связи реагирующей молекулы под возмущающим действием органического радикала открывает новые возможности уточнения механизма радикального присоединения к олефинам и сопряженным диенам. Изменение спинового состояния молекулы этилена и s-транс-бутадиена-1,3 создает предпосылки для реализации одноэлектронного переноса в реакционной системе. Одноэлектронный перенос изменяет распределение эффективных зарядов на атомах реакционной системы, обеспечивая их кулоновское взаимодействие, что позволяет интерпретировать образование конечных продуктов в рамках фундаментального физического взаимодействия – электромагнитного взаимодействия.
Full Text
Введение
Многочисленные экспериментальные данные (см., например [1, 2]) по радикальному присоединению к алкенам и диенам демонстрируют эффективность синтезов высокофункциональных соединений, как экономичных методов получения целевых продуктов из легкодоступных исходных веществ. Экспериментально установлено, что данные реакции являются региоселективными и экзотермичными. Среди возможных факторов, влияющих на скорость реакций радикального присоединения, указываются прочность образующейся связи, стерические затруднения, электростатические эффекты и стабильность образующихся радикалов [3–5].
Результатом экспериментальных работ стало создание качественного механизма присоединения радикалов к алкенам на стадии зарождения цепи (рис. 1), согласно которому первоначально образуется π-комплекс, представляющий собой ассоциат радикала с двойной связью ненасыщенного соединения (первичный комплекс межмолекулярных столкновений) [6, 7]. Далее в ассоциате происходит взаимодействие атома радикала с каким-то определенным атомом углерода двойной связи, при этом образуется неустойчивое σ-переходное состояние с зарождением новой связи, которое трансформируется в конечный продукт радикального присоединения.
Рис. 1. Качественный механизм радикального присоединения к алкенам.
Трансформация π-комплекса предполагает реализацию радикального механизма – взаимодействия атомов с максимальной спиновой плотностью, исходя из индекса свободной валентности. Однако это взаимодействие противоречит фундаментальному физическому взаимодействию – кулоновскому взаимодействию. Данное обстоятельство определяет неуниверсальность использования спиновой плотности на атомах в качестве индекса реакционной способности. Согласно [8, 9], реакционная способность и спиновая плотность на атомах в ряде реакций не коррелируют друг с другом. Кроме того, остается неясным, каким-образом происходит распаривание π-электронов двойной связи алкена для последующего взаимодействия с неспаренным электроном радикала.
Более детальное рассмотрение механизма взаимодействия радикала с двойной связью алкена возможно только с использованием тех или иных квантово-механических моделей, описывающих электронную структуру π-комплекса и его последующую эволюцию. Постановка проблемы механизма эволюции структуры π-комплекса также инициируется значительным циклом экспериментальных работ по термической цис-транс-изомеризации алкенов [10–13]. Логичным механизмом термической цис-транс-изомеризации в газовой фазе является предположение о торсионном вращении метиленовых групп под влиянием внешних воздействий, которое должно сопровождаться изменением состояния π-электронной связи.
Для этилена плоской структуры симметрии D2h (все атомы располагаются в плоскости Y0Z, ось Z проходит через два атома углерода) является следующий порядок расположения электронных состояний с учетом π–π*-возбуждения электрона: основное синглетное1Ag, низшие возбужденные триплетное3B1u и синглетное1B1u состояния [14].
Особенностью возбужденного синглетного состояния1B1u является близкое значение его энергии с энергиями ридберговских s-, p- и d-состояний [15], что может приводить к их искусственному смешиванию. В связи с этим использование метода многоконфигурационного взаимодействия, количественного описания электронной корреляции, учет динамической поляризации σ-углеродной связи позволяют корректно установить его валентную природу [16, 17]. Так, например, определение пространственной протяженности волновой функции ϕ электронных состояний, как математического ожидания одноэлектронной матрицы плотности <j|Sixi2|j>, показало увеличение данной величины (≈18) для состояния 1B1u, по сравнению с основным 1Ag и первым возбужденным триплетным 3B1u состояниями (≈12). Для ридберговского состояния 21B1u (3dπ) величина математического ожидания одноэлектронной матрицы плотности <j|Sixi2|j> равна ≈90, что свидетельствует о существенно большей диффузности.
Согласно исследованиям Р. Малликена [14], вращение метиленовой группы относительно С‒С-связи приводит к пересечению основного синглетного 1Ag и низшего триплетного 3B1u электронных состояний. Частично “скрученный” этилен имеет симметрию D2 (1A и 3B1 – основное синглетное и низшее триплетное состояния, соответственно), который при дальнейшем повороте CH2-группы переходит в “перпендикулярный” этилен симметрии D2d (состояния 1B1 и 3A2 соответственно) c ортогональным расположением метиленовых групп друг относительно друга. Для этилена симметрии D2d (ϕ=90°) триплетное состояние 3A2 становится более стабильным, чем синглетное состояние 1B1. Ниже показан положительный поворот атомов водорода метиленовой группы против часовой стрелки на угол ϕ:
Найденный результат открывает возможность реализации триплетного пути по поверхности потенциальной энергии (ППЭ) при меньших значениях энергии в отличие от синглетного пути, активационный барьер которого равен 50–65 ккал/моль при термической цис-транс-изомеризации алкенов в газовой фазе [10].
Таким образом, возникают два альтернативных механизма термической цис-транс-изомеризации [18]: синглетный, когда не происходит изменения спинового состояния молекулы алкена при прохождении потенциального барьера, и триплетный, когда при взаимодействии ППЭ синглетных и триплетных состояний в местах их пересечения происходит изменение спинового состояния в результате распаривания π-электронов.
Триплетный механизм важен для фотосенсибилизированной цис-транс-изомеризации [19]. Кроме того, термическая цис-транс-изомеризация алкенов катализируется парамагнитными молекулами и атомами, такими как O2, NO, свободные радикалы и др. [11–13]. Интерпретация этого результата заключается в том, что в присутствии парамагнитных веществ усиливается спин-орбитальное возмущение электронов, происходит смешивание триплетных и синглетных состояний молекулы. В [20] показано для различных бирадикалов, что возникающее в результате спин-орбитального взаимодействия синглет-триплетное “смешивание” состояний должно компенсироваться изменением орбитального углового момента электронов.
Каталитическое влияние парамагнитных молекул и свободных радикалов на цис-транс-изомеризацию алкенов может быть рассмотрено в рамках теории спинового катализа [13]. Теория спинового катализа включает в себя две составляющие: статическую, изучающую спиновые волновые функции и спиновые состояния, и динамическую, исследующую эволюция спиновых состояний в процессе химических взаимодействий.
Формально каталитическая цис-транс-изомеризация под действием свободного радикала представляет собой эволюцию трехспиновой системы триады, в которой двумя радикалами являются метиленовые группы молекулы этилена с антипараллельными спинами π-электронов, третьим радикалом является парамагнитная частица с неспаренным электроном: H2С↑–↓СHY+↑X. В этой модели триплетное состояние π-электронной системы двойной связи алкена генерируется торсионным термическим вращением метиленовой группы вокруг С–С связи, которое ускоряется за счет обменного взаимодействия с неспаренным электроном катализатора Х.
Полное число возможных спиновых состояний в триаде равно 8. Обменное взаимодействие приводит к расщеплению этих состояний на две группы: четыре квартетных состояния Q и Qʹ с полным спином S=3/2 и спиновыми проекциями SZ=±3/2, ±1/2 и четыре дублетных состояния D и Dʹ с полным спином каждого из них S = 1/2 и проекциями SZ= ±1/2:
Квартетные Qʹ и дублетные Dʹ состояния различаются проекцией спина электронов алкена и радикала на направление внешнего магнитного поля, состояния Q и D – фазой прецессии спина. В дублетном состоянии D противоположно направленные спины π-электронов алкена прецессируют в противофазе, в квартетном состоянии Q – синфазно.
Два дублетных состояния D соответствуют синглетному состоянию π-электронной системы двойной связи исходного и конечного продуктов цис-транс-изомеризации, которые в результате обменного взаимодействия трансформируются в состояния D′. В этом случае эволюция спинового состояния алкена при изменении угла ϕ от 0° до 180° в присутствии катализатора – парамагнитной частицы имеет вид D→D′→D.
Торсионное вращение метиленовой группы в s-транс-бутадиене-1,3 не приводит к изомеризации молекулы относительно двойной связи, как в случае алкенов. Наиболее подробно изучены синглетные и триплетные возбужденные электронные состояния плоского бутадиена-1,3 [21]. В [22] исследованы ППЭ возбужденных состояний s-транс-бутадиена-1,3 в зависимости от торсионного вращения метиленовой группы и удлинения двойной связи. Было показано, что такая геометрическая релаксация энергетически выгодна для низшего триплетного состояния s-транс-бутадиена-1,3. Установлено, что основной вклад в низшие синглетное и триплетное состояния s-транс-бутадиена-1,3 при ортогональном расположении метиленовой группы вносит конфигурация основного состояния аллильного радикала.
В связи с вышеизложенным можно предположить, что закономерности радикального присоединения к двойной связи молекулы определяются эволюцией квартетных спиновых состояний, которая может иметь два альтернативных варианта: либо распад “квартетных триад”, либо их трансформация за счет “посторонних” химических реакций [13].
В настоящей статье исследована динамика трансформации квартетных спиновых состояний реагирующих систем этилен–радикал и s-транс-бутадиен-1,3–радикал при пошаговом изменении координаты реакции в сечении ППЭ. В качестве радикала рассматривался радикал Cl3C∙, образующийся на стадии инициирования. Радикальное присоединение полигалогенметанов к алкенам и сопряженным диенам происходит термически в присутствии инициаторов, образующих радикалы, а именно: органических перекисей, карбонилов металлов и окислительно-восстановительных систем [3–5, 23, 24]. Температура реакции достигает 100 °C и выше.
На стадии зарождения цепи взаимодействия в реагирующих системах этилен–радикал и s-транс-бутадиен-1,3–радикал могут быть представлены реакциями:
ĊCl3 + CH2 == CH2 → Cl3CCH2ĊH2 (1)
где A – радикальный фрагмент аллильного типа.
При обычных температурах бутадиен-1,3 находится главным образом (> 96%) в более стабильной трансоидной конформации. Константы скорости присоединения свободных радикалов к бутадиену значительно выше, чем при присоединении к этилену, что объясняется резонансной стабилизацией образующегося радикального фрагмента аллильного типа A (2) [3].
Экспериментальная часть
Оптимизация геометрии электронных состояний систем этилен – радикал и s-транс-бутадиен-1,3 – радикал проводилась неограниченным вариантом метода теории функционала плотности при использовании обменно-корреляционного функционала B3LYP и базиса 6–311G(2d,2p). Как было указано выше, первое возбужденное триплетное состояние этилена, как и основное синглетное состояние, не имеет вклада от ридберговских состояний, поэтому дополнительные диффузные функции не были добавлены в базис расчета.
Для вычислений энергий диссоциации основных дублетных состояний комплексов межмолекулярных столкновений этилена и s-транс-бутадиена-1,3 с трихлорметильным радикалом использовался неограниченный по спину метод Хартри–Фока и корреляционно-согласованный базисный набор Даннинга aug-cc-pVDZ. Электронная корреляция учитывалась в рамках локального варианта метода связанных кластеров с учетом одно- и двукратных возбуждений и неитерационной поправки на трехкратные возбуждения DLPNO-CCSD(T) (NormalPNO). Расчеты проводились в программном пакете Orca v. 4.0.1.2 [25]. Для всех расчетов использовались критерии сходимости для ССП и оптимизации геометрии, определенные как VeryTightSCF и VeryTightOpt.
Метод DLPNO-CCSD(T) при изучении межмолекулярных нековалентных взаимодействий различных систем сравним по точности с методом CCSD(T) [26]. Успешное применение данного метода для изучения систем с открытой оболочкой представлено в [27]. Применение метода DFT/B3LYP для изучения электронного строения бирадикалов [28] и механизмов реакций с участием триплетных состояний молекул [29, 30] показало удовлетворительные результаты.
Рассчитанные неограниченным вариантом метода теории функционала плотности DFT/B3LYP с указанным базисом геометрические параметры для молекул плоского этилена (D2h) r(C=C)=1.324 Å, <CCH=121.7° и s-транс-бутадиена-1,3 (C2h) r(C=C)=1.334 Å, r(C–C)=1.455 Å, <CCH=124.3° удовлетворительно согласуются с экспериментальными данными [31]: 1.330 Å, 121.5° и 1.338 Å, 1.454 Å, 123.6° соответственно.
Согласно проведенным расчетам, разность между вычисленными полными энергиями E плоского этилена (D2h) в основном синглетном состоянии1Ag и “перпендикулярного” этилена (D2d) в основном триплетном состоянии3A2, как ∆E=E(3A2)-E(1Ag), составила 2.8 эВ без учета энергии нулевых колебаний (ZPE) и 2.65 эВ с добавленным значением ZPE. Полученные значения удовлетворительно согласуются с рассчитанной величиной ∆E методом CCSD(T) с базисом cc-pVnZ (n = D, T, Q, 5) [15], и экспериментально определенной величиной торсионного барьера этилена [32]. В целом отметим, что абсолютная ошибка в вычисленной энергии перехода этилена не превышает 0.2 эВ.
Исследование сечений ППЭ взаимодействия трихлорметильного радикала с молекулами этилена и s-транс-бутадиена-1,3 в различных электронных состояниях при пошаговом изменении координаты реакции проводилось в зависимости от торсионного угла ϕ вращения метиленовых групп молекул, валентного угла θ между углеродными атомами этилена (s-транс-бутадиена-1,3) и радикала Cl3C∙ и расстояния R между взаимодействующими атомами молекул и радикала. Интервалы изменения каждой координаты реакции указаны в разделе обсуждения результатов. Величина изменения валентного угла при построении сечения ППЭ составила Δθ=5°, торсионного угла Δϕ=1°, расстояния между взаимодействующими атомами молекулы и радикала ΔR=0.01 Å.
Для построения внутренней координаты реакции (IRC) в масс-взвешенных координатах использовался алгоритм Морокума, реализованный в программе Orca. Кроме того, исследование ППЭ проводилось путем сканирования сечения ППЭ вдоль координаты реакции. В каждой точке фиксированного значения координаты реакции проводилась оптимизация геометрии реакционной системы, определялись полная энергия системы Etot, величины спиновой плотности pi и эффективных зарядов δi на атомах, вычисленные по Малликену. Для фиксированных значений валентного θ и торсионного ϕ углов, длин связей C–Cl использовалась constrained оптимизация.
Обсуждение результатов
Рассмотрим первичные комплексы межмолекулярных столкновений радикала Cl3C∙ с молекулами этилена (D2h) и s-транс-бутадиена-1,3(С2h). Основным электронным состоянием данных комплексов, как и в случае цис-транс-изомеризации алкенов, является дублетное состояние D, возбужденными квартетными состояниями – Q и Qʹ (см.выше). Согласно [33] радикал Cl3C∙ имеет форму пирамиды с углом ClCCl ≈117°. Основное электронное состояние радикала представляет собой дублет 2A1 (C3v), волновая функция которого является симметричной относительно всех операций симметрии группы C3v. В комплексе межмолекулярных столкновений радикала с плоским этиленом (D2h) симметрия системы понижается до точечной группы симметрии Cs. Плоскость симметрии σ в комплексе C2H4(D2h)-CCl3 симметрии Cs совпадает с одной из плоскостей симметрии группы С3v радикала и проходит через одну из трех связей C–Cl. Обозначим основное дублетное состояние радикала как D0.
Волновая функция основного электронного состояния плоского этилена 1Ag (D2h) симметрична относительно плоскости σ (Сs), совпадающей с σxz (D2h) при условии расположения координатных осей согласно [14]. Таким образом, основное дублетное состояние комплекса C2H4-CCl3 можно представить как 1Ag·D0 (2Aʹ в точечной группе симметрии Cs). Волновая функция возбужденного триплетного состоянии 3B1u этилена (D2h) также симметрична относительно плоскости σ (Сs), поэтому квартетное состояние комплекса C2H4 (D2h)-CCl3 симметрии Cs имеет вид 4Aʹ (3B1u·D0).
В “перпендикулярном” этилене (D2d) волновые функции синглетного 1B1 и триплетного 3A2 состояний антисимметричны относительно плоскости σ (Сs), поэтому в комплексе C2H4(D2d)-CCl3 симметрии Cs дублетное состояние имеет симметрию2Aʺ (1B1·D0), квартетное – 4Aʺ (3A2·D0). В комплексах столкновений C2H4(D2)-CCl3 (0°<ϕ<90°) общей симметрии С1 дублетные и квартетные состояния могут быть обозначены как 2A (1A·D0) и 4A (3B1·D0) соответственно.
Возможны два принципиальных вида пространственной координации радикала Cl3C∙ по отношению к двойной углеродной связи молекулы в комплексах C2H4(D2h)-CCl3 и s-транс-С4H6(C2h)-CCl3:
Схема 3
в зависимости от валентного угла θC2C1C3: тригональная модель 1 – радикальный центр располагается на линии, перпендикулярной связи С–С, и линейная модель 2 – радикальный центр располагается на линии связи С–С. В этих моделях трихлорметильный радикал может находиться в заслоненной или анти-конформации по отношению к С1H2-группе молекулы. Структура комплекса межмолекулярных столкновений характеризовалась также изменением расстояния RC1C3 между атомом С1 этилена (s-транс-бутадиена-1,3) и атомом С3 трихлорметильного радикала. Геометрические параметры варьировались в следующих интервалах: 3 Å≤RC1C3≤5 Å и 80°≤θC2C1C3≤180°.
Исследуем устойчивость комплексов C2H4(D2h)-CCl3 и s-транс-С4H6(C2h)-CCl3 в основном состоянии. Во-первых, неограниченным вариантом метода функционала плотности было проведено сканирование ППЭ для комплексов C2H4-CCl3 и s-транс-С4H6-CCl3 в основном состоянии1Ag·D0 (состояние 2A′ в точечной группе симметрии Cs и 2A в точечной группе симметрии С1 соответственно) при изменении координаты реакции RC1C3=5–3 Å для каждого фиксированного значения θC2C1C3=80°–180° (ΔθC2C1C3=5°). Величина θC2C1C3 = 80°±3° соответствует положению атома С3 радикала над центром масс молекулы этилена.
Во-вторых, для каждой кривой ППЭ методом UHF-DLPNO-CCSD(T) была определена энергия диссоциации, аналогично определенной в [34] для комплекса этилена и кислорода в основном состоянии, как De=E(5 Å)–E(Re), где E – значения полной энергии комплекса при RC1C3= 5 Å и Re – значении RC1C3 в комплексе с наименьшей полной энергией в сечении ППЭ. Величины Re в комплексах при различных значениях θ составили 3.6–4 Å.
Полученные результаты величины De основного состояния1Ag·D0 комплекса C2H4-CCl3 представлены на рис. 2. Согласно проведенным расчетам, величины De основного состояния1Ag·D0 комплекса C2H4-CCl3 при увеличении валентного угла θC2C1C3 от 80° до 95° для заслоненной и до 105° для анти-конформации увеличиваются от 6.3 кДж/моль (Re = 3.82 Å) до 6.7 (3.67 Å) и до 7.2 кДж/моль (3.63 Å) соответственно. При дальнейшем увеличении угла θC2C1C3 величина De уменьшается и при значении θC2C1C3=180° составляет 4.9 кДж/моль (3.94 Å).
Рис. 2. Энергия диссоциации De комплекса столкновений C2H4-CCl3 в основном состоянии1Ag·D0 для заслоненной (1) и анти-конформации (2), в основном состоянии1A·D0 при ϕ=42° (3) в зависимости от угла θC2C1C3.
Таким образом, большее значение энергии диссоциации комплекса C2H4(D2h)-CCl3 обусловлено преимущественной реализацией тригональной модели 1 пространственной координации радикала по отношению к двойной связи. Изменение конформации трихлорметильного радикала по отношению к С1H2-группе несущественно влияет на изменение устойчивости комплекса.
Полученные значения энергии диссоциации удовлетворительно согласуются с энергией взаимодействия комплекса этилена с ацетиленом и димера этилена, вычисленных методом CCSD(T) с базисом aug-cc-pVDZ-DK [35]. Кроме того, небольшая устойчивость комплекса C2H4(D2h)-CCl3 соответствует исследованиям комплекса плоского этилена с триплетным кислородом [34], проведенных ограниченным по спину методом Хартри–Фока с учетом конфигурационного взаимодействия в базисе 6–31G(d). В основном состоянии молекулы этилена и кислорода образуют малоустойчивый комплекс межмолекулярных столкновений, электронные характеристики которого соответствуют таковым для отдельных молекул.
Также была определена величина De для основного состояния1A·D0 (2A в точечной группе симметрии C1) комплекса C2H4(D2)-CCl3 при торсионном угле вращения ϕ=42°. Как показано на рис. 2 (кривая 3), торсионное вращение метиленовой группы этилена в комплексе столкновений C2H4-CCl3 приводит к увеличению энергии диссоциации De, которая имеет максимальное значение 9 кДж/моль при θC2C1C3=105° и Re=3.49 Å.
В рассмотренных комплексах C2H4-CCl3 плотность неспаренного электрона pi сконцентрирована на атоме C3 (0.76 а. е.) и атомах хлора (0.08 а. е.) трихлорметильного радикала, что соответствует распределению спиновой плотности в отдельных молекуле и радикале.
Аналогичные результаты были получены для основного состояния1Ag·D0 комплекса s-транс-С4H6(C2h)-CCl3 (2A в точечной группе симметрии С1). В данном комплексе при изменении валентного угла величина De достигает максимального значения 9.1 кДж/моль при θC2C1C3=100° и Re=3.6 Å. При вращении метиленовой группы s-транс-бутадиена-1,3 энергия диссоциации комплекса увеличивается, например, при значении угла вращения ϕ=31° (состояние1A·D0) величина De имеет наибольшее значение 10.2 кДж/моль при θC2C1C3=105° и Re=3.59 Å.
Рассмотрим зависимости полной энергии Еtot. дублетных и квартетных электронных состояний комплексов столкновений C2H4-CCl3 и s-транс-С4H6-CCl3 от торсионного угла ϕ при RC1C3=3.6 Å (рис. 3).
Рис. 3. Энергии Еtot дублетных и квартетных электронных состояний комплексов межмолекулярных столкновений C2H4-CCl3 (а) и s-транс-С4H6-CCl3 (б) в зависимости от торсионного угла ϕ при RC1C3=3.6 Å.
Степень чистоты электронных состояний комплексов столкновений С2H4-CCl3 и s-транс-С4H6-CCl3, как величины среднего значения оператора квадрата спина электрона, представлена в табл. 1.
Таблица 1. Среднее значение оператора квадрата спина электрона <Ŝ2> электронных состояний комплексов столкновений C2H4-CCl3 и s-транс-С4H6-CCl3
ϕ, ° | 0 | 20 | 40 | 50 | 60 | 70 | 80 | 90 |
С2H4-CCl3 | ||||||||
Состояние D (Q) | 1Ag·D0 | 1A·D0 | Q | |||||
<Ŝ2> | 0.754 | 0.754 | 0.754 | 0.754 | 0.870 | 1.368 | 1.725 | 1.734 |
Состояние Qʹ | 3B1u·D0 | 3B1·D0 | 3A2·D0 | |||||
<Ŝ2> | 3.760 | 3.760 | 3.759 | 3.759 | 3.759 | 3.758 | 3.758 | 3.758 |
s-транс-С4H6-CCl3 | ||||||||
Состояние D (Q) | 1Ag·D0 | 1A·D0 | Q | |||||
<Ŝ2> | 0.754 | 0.754 | 0.754 | 0.755 | 0.981 | 1.455 | 1.748 | 1.760 |
Состояние Qʹ | 3Bu·D0 | 3A·D0 | 3Aʺ·D0 | |||||
<Ŝ2> | 3.760 | 3.762 | 3.770 | 3.776 | 3.779 | 3.782 | 3.783 | 3.783 |
Из данных табл. 1 видно, что для дублетных состояний при значении торсионного угла ϕ>60° комплексов С2H4-CCl3 и s-транс-С4H6-CCl3 величина =0.75 увеличивается. Это означает, что в рамках используемого неограниченного варианта метода функционала плотности происходит искусственное смешивание квазивырожденнных дублетных D и квартетных Q состояний (см. выше) при изменении фазы прецессии спинов π-электронов двойной связи этилена (s-транс-бутадиена-1,3) и их распаривании. Дальнейшее существенное увеличение значений до 1.7–1.8 свидетельствует об уменьшении полной энергии квартетных состояний Q, по сравнению с дублетными состояниями.
Отметим также полное отсутствие спинового “загрязнения” для квартетных состояний Qʹ: ≈ 3.75. Как видно из рис. 3, состояния Q и Qʹ комплексов С2H4-CCl3 и s-транс-С4H6-CCl3 являются изоэнергетическими (разность в значениях полной энергии не превышает абсолютную ошибку 0.2 эВ) при значениях торсионного угла 80°–100°, что подтверждает их квартетную природу.
В отличие от процессов изомеризации алкенов, катализируемой радикалами, в реакциях присоединения радикал является участником химического процесса. В связи с этим были построены сечения ППЭ основных дублетных D- и квартетных Q- состояний комплексов C2H4-CCl3 и s-транс-С4H6-CCl3 с различными значениями ϕ при уменьшении координаты реакции RC1C3 от значения Re (значения RC1C3 в комплексе столкновений с наибольшей величиной энергии диссоциации De) до 1.5 Å
Для построения сечения ППЭ основного дублетного состояния1Ag·D0 комплекса плоского этилена (s-транс-бутадиена-1,3) и трихлорметильного радикала была определена внутренняя координата IRC. Начальное направление IRC соответствовало геометрии переходного состояния TS и задавалось нормальной модой с мнимой частотой. Для состояний D и Q комплексов C2H4-CCl3 и s-транс-С4H6-CCl3 с фиксированными значениями ϕ>0 было осуществлено сканирование ППЭ вдоль координаты реакции RC1C3. Начальное направление сканирования задавалось геометрией комплекса межмолекулярных столкновений.
Для определения минимального угла ϕ торсионного вращения метиленовых групп в этилене и s-транс-бутадиене-1,3, необходимого для распаривания электронов π-связи, была определена величина энергетического барьера ∆Еtot. в сечении ППЭ комплексов для каждого значения ϕ (табл. 2).
Таблица 2. Величина потенциального барьера ∆Еtot. (кДж/моль) в сечении ППЭ
ϕ, ° | 0 | 20 | 31 | 42 | >42 |
Состояние | 1Ag·D0 | 1A·D0 | |||
C2H4-CCl3 | |||||
∆Еtot. | 33.36 | 28.39 | 18.38 | 7.6 | –* |
s-транс-С4H6-CCl3 | |||||
∆Еtot. | 17.48 | 13.94 | 7.7 | – | – |
* Значение ∆Еtot. не превышает абсолютную ошибку 7.02 кДж/моль.
Величина энергетического барьера ∆Еtot. основного дублетного состояния комплекса плоского этилена (s-транс-бутадиена-1,3) с трихлорметильным радикалом определялась по уравнению:
(3)
где ΔЕ – разность между полными энергиями Еtot. переходного состояния TS и исходными реагентами: плоским этиленом (s-транс-бутадиеном-1,3) и трихлорметильным радикалом, ΔZPE – соответствующая разность в значениях энергии нулевых колебаний. Переходное состояние определялось наличием одной мнимой частоты при вычислении матрицы Гессе.
Для основных дублетного и квартетного (Q) состояний комплексов C2H4-CCl3 и s-транс-С4H6-CCl3 при фиксированных значениях ϕ> 0 величина ∆Еtot. определялась по уравнению:
(4)
где величина Еtot. (TS) определялась как точка в сечении ППЭ.
Из табл. 2 видно, что величина потенциального барьера ∆Еtot. имеет максимальное значение для основных дублетных состояний 1Ag·D0 комплексов C2H4(D2h)-CCl3 и s-транс-С4H6(C2h)-CCl3 и уменьшается при торсионном вращении метиленовой группы. Значение ∆Еtot. = 33.36 кДж/моль (7.98 ккал/моль) для комплекса C2H4(D2h)-CCl3 (состояние1Ag·D0) превышает среднее значение энергии активации 6.3 ккал/моль, определенной в результате кинетических исследований в [24], на 7.02 кДж/моль (1.68 ккал/моль). Как показано в табл. 2, минимальный барьер, для которого величина ∆Еtot. превышает абсолютную ошибку 1.68 ккал/моль, характерен для дублетных состояний 1A·D0 комплексов C2H4(D2)-CCl3 и s-транс-С4H6(C1)-CCl3 при ϕ=42° и 31° соответственно.
Сечения ППЭ для состояний D (1Ag·D0 и 1A·D0 (ϕ=42°)) и Q (ϕ=90°) комплекса C2H4-CCl3 при изменении координаты реакции RC1C3 представлены на рис. 4. Определение IRC показало, что конечный продукт имеет симметрию Cs c анти-конформацией трихлорметильного фрагмента по отношению к C1H2-группе и соответствует трихлорпропильному радикалу (1) в основном дублетном состоянии Dʹ (см выше) c локализацией неспаренного электрона на атоме С2 этиленового фрагмента (p(С2) ≈ 1 а. е.). Исходный реагент представляет собой комплекс межмолекулярных столкновений C2H4(D2h)-CCl3 в основном дублетном состоянии 1Ag·D0.
Рис. 4. Сечения ППЭ комплекса C2H4-CCl3 для дублетных 1Ag·D0, 1A·D0 (ϕ=42°) и квартетного Q (ϕ=90°) состояний при изменении координаты реакции RC1C3.
Сканированные сечения ППЭ дублетного 1A·D0 (ϕ=42°) и квартетного Q (ϕ=90°) состояний комплекса C2H4-CCl3 при значении RC1C3 ≈1.55 Å также имеют экстремум, характерный для дублетного состояния Dʹ (рис. 4).
Рассмотрим изменение величины ⟨Ŝ 2⟩ для дублетных D (1Ag·D0 и 1A·D0) и квартетного Q (ϕ=90°) состояний в комплексах С2H4-CCl3 и s-транс-С4H6-CCl3 при уменьшении координаты реакции RC1C3.Расчеты показывают, что в состоянии 1Ag·D0 комплекса С2H4(D2h)-CCl3 величина ⟨Ŝ 2⟩, равная 0.754 при RC1C3=3.6 Å, увеличивается до 0.777 в переходном состоянии при RC1C3=2.22 Å, а затем уменьшается до 0.754 в трихлорпропильном радикале. При торсионном вращении на угол ϕ=90° (состояние Q) величина ⟨Ŝ 2⟩ комплекса уменьшается при уменьшении координаты реакции RC1C3, например, 1.708, 1.008 и 0.753 при RC1C3= 3.49, 2.6 и 1.55 Å соответственно. При значении угла ϕ=42° в комплексе C2H4-CCl3 (состояние1A·D0) величина ⟨Ŝ 2⟩ имеет незначительный максимум 0.810 при RC1C3=2.35 Å, а при RC1C3=3.49 Å и 1.55 Å ≈ 0.754.
Соответствующие качественные изменения величины ⟨Ŝ 2⟩ наблюдаются и для состояний1Ag·D0 и Q (ϕ=90°) комплекса s-транс-С4H6-CCl3 при уменьшении координаты реакции RC1C3 до 1.5 Å. Для состояния1A·D0 (ϕ=31°) в комплексе s-транс-С4H6-CCl3 величина ⟨Ŝ 2⟩ имеет максимальное значение 0.810 при RC1C3=2.3 Å, а при RC1C3=3.59 и 1.5 Å величина ⟨Ŝ 2⟩ составила 0.755 и 0.780 соответственно.
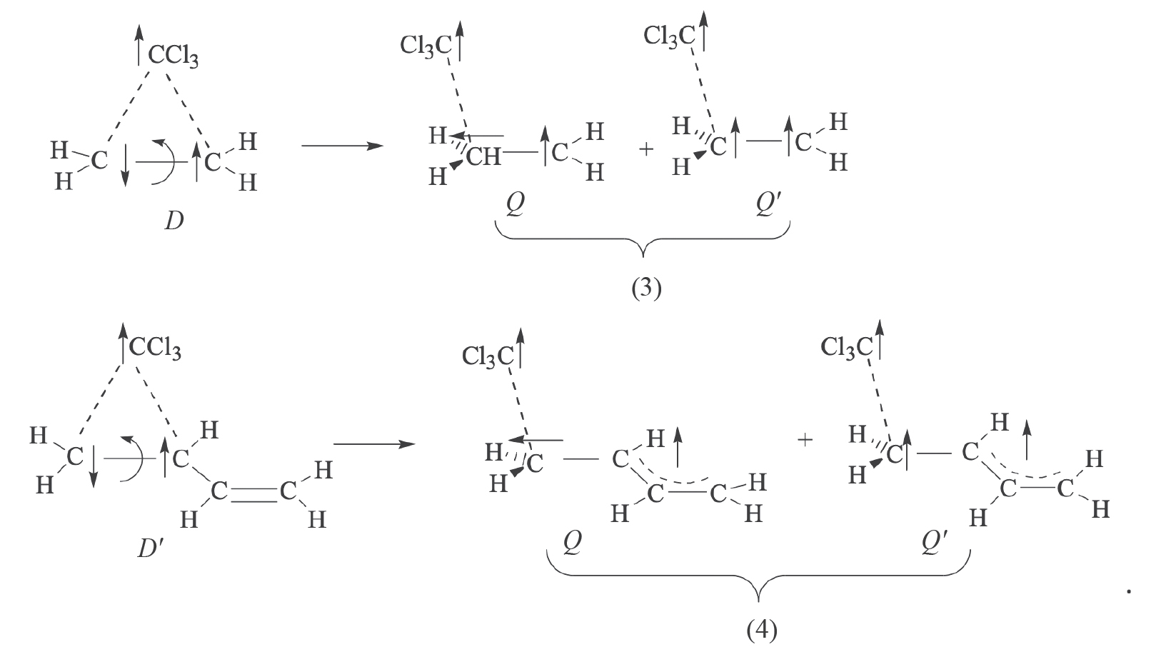
Можно предположить, что в дублетных состояниях1A·D0 торсионное вращение метиленовой группы в комплексах C2H4-CCl3 и s-транс-С4H6-CCl3 обеспечивает распаривание электронов π-связи этилена и s-транс-бутадиена-1,3. В результате происходит трансформация дублетных состояний D (1A·D0) комплексов C2H4-CCl3 и s-транс-С4H6-CCl3 в квартетные состояния Q и Q′, которые можно представить схемой приняв, что знак полного спина системы совпадает со знаком его проекции:
На рис. 5 представлены геометрические параметры и распределение спиновой плотности на атомах комплексов C2H4-CCl3 3 и s-транс-С4H6-CCl3 4 в квартетных электронных состояниях Q′ –3B1·D0 (ϕ=42°) и 3A·D0 (ϕ=31°) при значении RC1C3=2.35 Å и 2.3 Å соответственно. Для предотвращения распада “квартетных триад” при проведении расчетов комплексов 3 и 4 использовалась сonstrained оптимизация длин связей d(C–Cl), значения которых соответствуют длине связи d(C–Cl) в трихлорпропильном радикале.
Рис. 5. Геометрические параметры и распределение спиновой плотности на атомах (а. е.) комплексов C2H4-CCl3 3 и s-транс-С4H6(C1)-CCl3 4 в электронных состояниях3B1·D0 и 3A·D0 соответственно. Атомы обозначены кружками, затемненные кружки – атомы хлора, темные – атомы водорода.
Как видно из рис. 5, три неспаренных электрона в комплексах 3 и 4 локализуются следующим образом: один электрон на атомах трихлорметильного радикала, один электрон на атоме С1 этилена (s-транс-бутадиена-1,3), один электрон на атоме С2 этилена (аллильном (А) плоском структурном фрагменте s-транс-бутадиена-1,3).
Для исследования эволюции квартетного состояния Qʹ (3B1·D0) комплекса 3 рассмотрим изменение спиновой плотности Р на структурных фрагментах C1H2, C2H2, CCl3 при изменении координаты реакции RC1C3=3.48–1.5 Å (рис. 6). Величины Р комплекса определялись суммированием величин спиновой плотности pi каждого i-го атома структурного фрагмента.
Рис. 6. Зависимости спиновой плотности Р на структурных фрагментах комплекса C2H4-CCl3 3 в электронном состоянии3B1·D0 от изменения координаты реакции RC1C3.
Согласно представленным на рис. 6 результатам, при изменении RC1C3 в интервале 3.48–2.35 Å распределение спиновой плотности трех неспаренных электронов комплекса C2H4-CCl3 3 соответствует рис. 5. Однако при RC1C3 < 2.35 Å отмечаются изменения в распределении спиновой плотности на структурных фрагментах (указано пунктиром на рис. 6). Существенные изменения происходят при RC1C3<1.86 Å: величина P(C2H2) остается равной 1 а. е., величина P(CCl3) увеличивается до 2 а. е.
Проведенные исследования показали, что соответствующее изменение спиновой плотности на структурных фрагментах наблюдается для квартетного состояний Q′ –3A·D0 комплекса s-транс-С4H6-CCl3 4 при уменьшении координаты реакции RC1C3 < 2.3 Å. Характерные изменения спиновой плотности происходят при изменении величины RC1C3 < 1.99 Å: значение P(А) ≈ 1 а. е., величина P(C1H2) уменьшается до ≈0.01 а. е., величина P(CCl3) увеличивается до ≈2 а. е.
Подобную трансформацию квартетных электронных состояний3B1·D0 комплекса C2H4-CCl3 и 3A·D0 комплекса s-транс-С4H6-CCl3 можно рассматривать как перенос электрона с этиленового и бутадиенового фрагментов на трихлорметильный радикал, который можно интерпретировать как “постороннюю” химическую реакцию [13]. В результате переноса электрона происходит спиновая релаксация и изменение мультиплетности реакционной системы, в результате которой один неспаренный электрон локализуется на фрагменте С2H2 молекулы этилена и аллильном А-фрагменте s-транс-бутадиена-1,3, а пара электронов с противоположными спинами – на трихлорметильной группе.
Подобная перестройка электронной структуры обеспечивает новое распределение эффективных зарядов на взаимодействующих атомах С1 и С3 в комплексах 3 и 4, что способствует образованию конечных продуктов. Как видно из рис. 7a, в комплексе C2H4-CCl3 3 структурный фрагмент С1H2 имеет положительный суммарный эффективный заряд Δ, а трихлорметильный радикал – отрицательный на всем интервале изменения координаты реакции RC1C3. Одноэлектронный перенос и последующее изменение мультиплетности в результате спиновой релаксации увеличивает кулоновское взаимодействие между атомами C1 и C3 в трихлорпропильном радикале.
Рис. 7. Изменение суммарного эффективного заряда Δ на структурных фрагментах (a) и полной энергии Еtot (б) в зависимости от координаты реакции RC1C3 для состояния3B1·D0 (4А в симметрии C1) комплекса C2H4-CCl3 3 и дублетного состояния Dʹ (2A′ в симметрии Cs) трихлорпропильного радикала.
Величины Δ фрагментов комплексов определялись суммированием величин эффективных зарядов δi каждого i-го атома структурного фрагмента. Координата RC1C3 изменялась в интервале 1.86 Å <RC1C3<3.49 Å для квартетного состояния3B1·D0 комплекса C2H4-CCl3 3 и интервале 1.5 Å<RC1C3<1.86 Å для дублетного состояния Dʹ трихлорпропильного радикала.
Увеличение кулоновского взаимодействия в комплексе C2H4-CCl3 3 можно проиллюстрировать зависимостью Еtot. при изменении координаты реакции RC1C3 (рис. 7б). Одноэлектронный перенос в комплексе C2H4-CCl3 3, вызывающий увеличение кулоновского взаимодействия реагирующих атомов, обеспечивает выигрыш в энергии при образовании конечных продуктов.
Таким образом, трансформация квартетных состояний Q и Qʹ комплексов C2H4(D2)-CCl3 3 и s-транс-С4H6(C1)-CCl3 4 в результате одноэлектронного переноса с последующим образованием конечных продуктов может быть представлена схемами:
Выводы
Проведенные исследования показали, что предложенная гипотеза об изменении спинового состояния двухцентровой двухэлектронной связи реагирующей молекулы под возмущающим воздействием органического радикала открывает новые возможности уточнения механизма радикального присоединения к олефинам и диенам. Образующаяся трирадикальная реакционная система (π-комплекс) в квартетном спиновом состоянии претерпевает изменение из-за одноэлектронного переноса между ее компонентами. Дублетное электронное состояние реакционной системы, как результат эволюции квартетного состояния, представляет собой σ-комплекс, в котором изменяются не только мультиплетность реакционной системы, но и величины распределения эффективных зарядов на ее атомах. Образующееся распределение эффективных зарядов на атомах после одноэлектронного переноса обеспечивает большее кулоновское взаимодействие между реагирующими атомами. Таким образом, образование конечных продуктов осуществляется в рамках фундаментального физического взаимодействия – кулоновского взаимодействия атомов реагирующих молекул.
About the authors
О. Б. Томилин
ФГБОУ ВО “Национальный исследовательский Мордовский государственный университет им. Н. П. Огарёва”
Author for correspondence.
Email: tomilinob@mail.ru
Russian Federation, 430005, Саранск
О. В. Бояркина
ФГБОУ ВО “Национальный исследовательский Мордовский государственный университет им. Н. П. Огарёва”
Email: tomilinob@mail.ru
Russian Federation, 430005, Саранск
A. В. Князев
Национальный исследовательский Нижегородский государственный университет им. Н. И. Лобачевского
Email: tomilinob@mail.ru
Russian Federation, 603022, Нижний Новгород
E. А. Родин
ФГБОУ ВО “Национальный исследовательский Мордовский государственный университет им. Н. П. Огарёва”
Email: tomilinob@mail.ru
Russian Federation, 430005, Саранск
References
- Kim J., Sun X., van der Worp B.A. et al. // Nature Catalysis. 2023. P. 153. doi: 10.1038/s41929-023-00914-7
- Park S., Jeong J., Fujita K., et al. // J. Am. Chem. Soc. 2020. V.142. P. 12708. doi: 10.1021/jacs.0c04598
- Афанасьев И.Б., Самохвалов Г.И. // Успехи химии. 1969. Т. 38. № 4. С. 687. [Afanas’ev I.B., Samokhvalov G.I. // Russ. Chem. Rev.1969. V.38. № 4. P. 318.]
- Энглин Б.А., Фрейдлина Р.Х. // Докл.АНСССР. 1964. Т. 158. № 4. С. 922.
- Нонхибел Д., Уолтон Дж. Химия свободных радикалов. М.: Мир, 1977. 606 c.
- Stefani A.P., Chuang L.-Y.Y., Todd H.E. // J. Am. Chem. Soc. 1970. V.92. № 14. P. 4168. doi: 10.1021/ja00717a004
- Cvetanović R.J. // J. Chem. Phys.1959. V.30. № 1. P. 19. doi: 10.1063/1.1729874
- Танасейчук Б.С., Томилин О.Б., Пряничникова М.К. // ЖOрХ. 2017. V.53. № 672. [Tanaseichuk B.S., Tomilin O.B., Pryanichnikova M.K. // Russ. J. Org. Chem. 2017. V.53. P. 679] doi: 10.1134/S1070428017050062
- Танасейчук Б.С., Томилин О.Б., Пряничникова М.К. // Там же. 2017. V.53. P. 751. [Tanaseichuk B.S., Tomilin O.B., Pryanichnikova M.K. // Russ. J. Org. Chem. 2017. V.53. P. 764.] doi: 10.1134/S1070428017050189
- Lifshitz A., Baue rS.H., Resler E.L. // J. Chem. Phys. 1963. V.38. P. 2056. doi: 10.1063/1.1733933
- Douglas J.E., Rabinovitch B.S., Looney F.S. // Ibid. 1955. V.23. № 2. P. 315. doi: 10.1063/1.1741959
- Rabinovitch B.S., Looney F.S. // Ibid.1955. V.23. № 12. P. 2439. doi: 10.1063/1.1741898
- Бучаченко А.Л., Бердинский В.Л. // Успехи химии. 2004. Т. 73. № 11. С. 1123. [Buchachenko A.L., Berdinsky V.L. // Russ. Chem. Rev. 2004. V.73. № 11. P. 1033.] doi: 10.1070/RC2004v073n11ABEH000888
- Merer A.J., Mulliken R.S. // Chem. Rev. 1969. V.69. № 5. P. 639 doi: 10.1021/cr60261a003
- Feller D., Peterson K.A., Davidson E.R. // J. Chem. Phys. 2014. V.141. P. 104302 doi: 10.1063/1.4894482
- Müller T., Dallos M., Lischka H. // Ibid. 1999. V.110, P. 7176 doi: 10.1063/1.478621
- Angeli C. // J. Comput. Chem. 2009. V.30. № 8. P. 1319. doi: 10.1002/jcc.21155
- Magee J.L., Shand W., Eyring H. // J. Am. Chem. Soc. 1941. V.63. P. 677. doi: 10.1021/ja01848a012
- Korff M., Paulisch T.O., Glorius F. et al. // Molecules. 2022. V.27. P. 5342. doi: 10.3390/molecules27165342
- Salem L., Rowland C. // Angew. Chem., Int. Ed. Engl. 1972. V.11. № 2. P. 92. doi: 10.1002/anie.197200921
- Manna S., Chaudhuri R.K., Chattopadhyay S. // J. Chem. Phys. 2020. V.152. P. 244105. doi: 10.1063/5.0007198
- Bonacic-Koutecky V., Persico M., Dohnert D. et al. // J. Am. Chem. Soc. 1982. V.104. P. 6900. doi: 10.1021/ja00389a003
- Фрейдлина Р.Х., Белявский А.Б. // Изв. АНСССР, ОХН. 1961. С. 177.
- Sidebottom H.W., Tedder J.M. // Int. J. Chem. Kin. 1972. V.4. P. 249. doi: 10.1002/kin.550040212
- Neese F. // Wiley Interdiscip. Rev. Comput. Mol. Sci. 2012. V.2. P. 73. doi: 10.1002/wcms.81
- Liakos D.G., Guo Y., Neese F. // J. Phys. Chem. A. 2020. V.124. № 1. P. 90. doi: 10.1021/acs.jpca.9b05734
- Altun A., Saitow M., Neese F. et. al. // J. Chem. Theory Comput. 2019. V.15. № 3. P 1616 doi: 10.1021/acs.jctc.8b01145
- Gallagher N.M., Bauer J.J., Pink M. et al. // J. Am. Chem. Soc. 2016. V.138. P. 9377. doi: 10.1021/jacs.6b05080
- Плехович С.Д., Зеленцов С.В., Минасян Ю.В. и др. // Химия высоких энергий. 2022. Т. 56. № 1. C. 38. [Plekhovich S.D., Zelentsov S.V., Minasyan Yu.V. et al. // High Energy Chem. 2022. V.56. № 1. P. 32] doi: 10.1134/S001814392201009X
- Kuzmin A.V. Shainyan B.A. // J. Phys. Org. Chem. 2014. V.27. № 10. P. 794. doi: 10.1002/poc.3338
- Craig N.C., Groner P., McKean D.C. // J. Phys. Chem. A. 2006. V.110. № 23. P. 7461. doi: 10.1021/jp060695b
- Wallace R. // Chem Phys Letters. 1989. V.159. № 1. P. 35. doi: 10.1016/S0009-2614(89)87449-4
- Hudgens J.W., Johnson R.D., Tsai B.P. et al. // J. Am. Chem. Soc. 1990. V.112. P. 5763. doi: 10.1021/ja00171a015
- Minaev B.F., Kukueva V.V. // J. Chem. Soc. Faraday Trans. 1994. V. 90. № 11. P. 1479. doi: 10.1039/FT9949001479
- Jurecka P., Sponer J., Cerný J., Hobza P. // Phys Chem Chem Phys. 2006. V.8. № 17. P. 1985. doi: 10.1039/b600027d
Supplementary files
















