Квантовая эволюция и резонанс в простой одноканальной модели
- Авторы: Михайлова Т.Ю.1
-
Учреждения:
- Институт общей и неорганической химии им. Н. С. Курнакова РАН
- Выпуск: Том 98, № 8 (2024)
- Страницы: 106-113
- Раздел: СТРОЕНИЕ ВЕЩЕСТВА И КВАНТОВАЯ ХИМИЯ
- Статья получена: 22.01.2025
- Статья одобрена: 22.01.2025
- Статья опубликована: 22.08.2024
- URL: https://journals.rcsi.science/0044-4537/article/view/277704
- DOI: https://doi.org/10.31857/S0044453724080154
- EDN: https://elibrary.ru/PJBURP
- ID: 277704
Цитировать
Полный текст
Аннотация
Задача об эволюции системы в одномерном потенциале с резонансом формы рассмотрена численно на регулярной сетке с элиминируемым краем. Отмечено, что этот подход позволяет рассматривать задачу о стоке вероятности через границу сетки в рамках полностью L2-техники. Для гамильтониана с модельным потенциалом Бэйна с чисто непрерывным спектром проведено численное моделирование эволюции различных начальных состояний. Показано, что состояния, наиболее долгоживущие в прямом временном смысле, отвечают L2-резонансам, т. е. полюсам аналитического продолжения резольвенты, решениям задачи Зигерта и т. п. Отмечено, что временные границы неэкспоненциального распада состояний общего положения оказываются значительно шире предложенных ранее в литературе и лишь эволюция состояний, приготовленных в соответствии с параметрами L2-резонансов, может иметь полностью экспоненциальный характер.
Ключевые слова
Полный текст
Введение
В современной научной литературе мы можем найти множество работ, посвященных методам расчета резонансных параметров и связанным с ними чисто математическим задачам – спектральной концентрации и областям локализации резонансных полюсов на римановых поверхностях, тонкой регуляризации расходящихся резонансных волновых функций [1] (и ссылки в [1]) и т. д. Многие методы, которые долгое время были популярны в ядерной физике, в настоящее время применяются и совершенствуются для описания атомных и молекулярных проблем. Закон экспоненциального распада долгоживущего состояния был предложен Гамовым в 1928 году [2], и с тех пор сотни работ были посвящены обсуждению отклонений от этого закона, эффекту Зенона и временному масштабу неэкспоненциального поведения вероятности выживания [3–5] (и цитированная в этих работах литература). В настоящее время известны оценки ts, tl для временных интервалов [0, ts] и [tl,∞] неэкспоненциальности распада на малых и больших временах [5].
Теория метода
Определения и постановка задачи. Введем следующие обозначения: SP(t) ≡ |<j(t)|j>|2 = = |<j|exp(–iHt)|j> |2 – вероятность выживания состояния j, под действием оператора эволюции с гамильтонианом Н; ε = Re(Eres) – положение (энергия) резонансного состояния; Γ = – Im(Eres) – полуширина резонансного состояния; T ≡ время жизни резонансного состояния, соответствующее моменту времени t, для которого SP(t)=1/2.
Два последних параметра связаны обратной пропорциональностью: для идеально экспоненциального распада SP(t) = exp(–2Γt), так что T=(–1/(2Γ))ln(1/2). (Здесь и всюду далее мы используем атомные единицы измерения).
Что такое резонансное состояние (оно же – долгоживущее состояние или просто резонанс)? С классической точки зрения
(i) резонанс отвечает полюсу S-матрицы или полюсу резольвенты. В строгом смысле, по определению [6], спектральная точка E* является резонансной, если (для плотного в L2 набора функций ϕ) функционалы <ϕ|(E – h)–1|ϕ> и <ϕ|(E – h0)–1|ϕ> имеют аналитическое продолжение из верхней комплексной полуплоскости C+ в нижнюю C– (т. е. из области ImE> 0 в ImE< 0) и при этом <ϕ|(E - h0)–1|ϕ> регулярно в точке E*, а <ϕ|(E - h)–1|ϕ> имеет полюс в точке E*. (Здесь h – гамильтониан рассматриваемой квантовой системы, а h0–гамильтониан системы сравнения.)
(ii) Или, альтернативно, резонансное состояние подразумевает граничное условие исходящей волны – так называемый резонанс Зигерта [7], который буквально определен в терминах подхода матрицы рассеяния как состояние, которому отвечают уходящие волны без падающих волн.
(iii) Или же предполагается, что резонансные точки спектра для задачи о потенциале с компактным носителем не зависят от расширения сетки далеко за пределами потенциала, другими словами, стабилизированы [8].
Все эти определения равносильны.
С точки зрения динамических подходов, рассматривающих разрешенную во времени задачу, резонанс – это состояние с необычно большим временем жизни по сравнению с соседними состояниями. Чтобы описать эволюцию такого состояния во времени, мы должны решить одну из важных задач в численном описании молекулярной эволюции, которая возникает из-за конечности используемой сетки или базиса: эволюционирующий волновой пакет отражается от границы сетки/базиса как от непроницаемой потенциальной стенки. Популярным методом обхода этой проблемы является формальное разделение координатного пространства на область взаимодействия и асимптотическую область, в которой потенциал U(x) примерно равен нулю, и введение комплексного поглощающего потенциала или комплексного поворота в асимптотической области. Эта стратегия использует тот факт, что в асимптотической области оператор эволюции такой же, как и в случае свободной частицы и может быть легко оценен для любого временного шага.
В ранних работах [9, 10] нами предложен самый простой метод исследования долгоживущих состояний в модельном одномерном потенциальном барьере – как для оценки положения и времени жизни резонанса (для потенциала такого вида резонанс принято называть “резонансом формы”), так и для моделирования квантовой эволюции. На данный момент, с учетом прогресса вычислительной техники, эта простая модель позволяет с желаемой точностью явно отслеживать поведение произвольного начального состояния во времени и в том числе, исследовать возможную неэкспоненциальность его распада.
Модель. Мы рассматриваем одномерное уравнение Шредингера на положительной полуоси [0, ∞) в рамках трехточечной конечно-разностной схемы (FD) на регулярной сетке.
Будем считать, что барьерный потенциал U(x) (см. рис. 1) не зависит от времени и быстро затухает. Таким образом, мы можем рассматривать его как потенциал конечного радиуса действия, т. е. локализованный в интервале первых M узлов сетки, если М достаточно велико. Следующие N узлов отвечают области свободного движения и N может расти неограниченно. Другими словами, предполагается, что область [0, M∆] отвечает локализации потенциала, а оставшаяся часть сетки [(M+1)∆, N∆] – асимптотической области, где ∆ – шаг регулярной сетки.
где .
Рис. 1. Потенциал Бэйна U(x) = 7.5x2exp(–x) на равномерной сетке. Серой штриховой линией показано положение резонансного уровня (2). По оси абсцисс – координата в а.е, по оси ординат – энергия в а. е.
При таком разбиении тридиагональная матрица гамильтониана Hfd имеет блочный вид
,
размерность H – M×M, а H0 – размерности N×N – имеет вид
Очевидна хюккелеподобная форма матрицы асимптотического блока H0. Поэтому любую функцию f от такого оператора легко выразить аналитически:
а в пределе N→∞ как
Спектр H0 лежит в пределах [0.4γ] для любого N и непрерывен в пределе N → ∞. Погрешность конечно-разностной схемы составляет порядка (∆2). Подчеркнем, что переход к пределу N → ∞ критически важен в задаче о поиске резонансов среди состояний непрерывного спектра, именно он обеспечивает рассмотрение задачи на полной полуоси и отвечает за неэрмитовость эффективного гамильтониана.
Итак [9], конечно-разностной задаче на всей полуоси при начальном условии j(0) = 0 отвечает матрица гамильтониана вида:
,
причем для матрицы V-представление особенно просто – все ее элементы, кроме одного, равны нулю. Если |M> – соответствующий дискретизованному представлению волновой функции единичный базисный вектор с ненулевой координатой M для задачи из блока H, а |1> – первый базисный вектор блока H0, то
Благодаря прозрачности такой FD-схемы, можно напрямую использовать любое из приведенных выше определений резонанса. То есть, и аналитическое продолжение матричного элемента резольвенты, и наложение граничного условия исходящей волны, и использование стабилизационной устойчивости дают [9] одно и то же уравнение для резонансных параметров:
(1а)
. (1б)
Подчеркнем, что переход к пределу N → ∞ критически важен в задаче о поиске резонансов среди состояний непрерывного спектра, именно он отвечает рассмотрению задачи на полной полуоси и обеспечивает неэрмитовость эффективного гамильтониана.
Таким образом, расчет резонансных параметров сводится к самосогласованному поиску собственных значений для неэрмитова эффективного гамильтониана, так что Re(E) = ε определяет положение резонанса, а –Im(E) = Γ определяет полуширину и время жизни. Для модельного потенциала Бэйна (рис. 1, [11, 12])
таким способом легко вычислить параметры – энергию и полуширину – резонансного состояния:
(2)
найденный корень и соответствующий собственный вектор Heff показаны на рис. 1, 2.
Эволюция квантового состояния во времени. Прямое использование упомянутой стратегии возможно в рамках нашего приближения FD для одномерной квантовой задачи с потенциалом конечного диапазона U(x). Зависящее от времени уравнение Шредингера для нашей модельной системы имеет вид
(3)
Для заданного начального состояния a(t0)=a0 и b(t0)= 0 с использованием техники разделения и представления взаимодействия, приходим к следующему соотношению (при этом с корректным учетом краевых эффектов, т. е. обеспечив подавление отражений эволюционирующего волнового пакета от правой границы сетки численного интегрирования) [10]:
(4a)
(4b)
(4c)
Здесь J1(x) – функция Бесселя первого порядка, aM=<M|a(t)>.
Ключевые вопросы эволюции квантового состояния. Эффект Зенона и неэкспоненциальность распада на малых временах эволюции подробно обсуждаются в [3–5]. Особенности поведения SP(t) в пределе малых времен связаны со значением дисперсии для начального состояния. Действительно, разложение в ряд амплитуды выживания <j|exp(–iHt)|j> дает t2-зависимость для уменьшения SP(t)
Хотя формально средние значения моментов могут и не существовать (и в этих случаях распад может, например, демонстрировать на малых временах t1/2-зависимость [5]), однако для наших H и j дисперсия определена.
В пределе больших времен t3 зависимость распада SP(t) следует из асимптотического ее разложения и отмечена еще Гольдбергером и Ватсоном [13].
Обозначив через R отношение R = (ε/(2Γ)), авторы [5] предложили простые оценки временной шкалы в терминах R: значение переменной времениt, которое может отвечать неэкспоненциальному поведению SP(t), в пределе малых времен лежит в интервале [0, ts], где
а в пределе больших времен в интервале [tl,∞), где t1 имеет вид
здесь C1, C2 – численные константы, получаемые с помощью фитирования.
Для исследуемого резонанса в потенциале Бэйна (2) эти соотношения дают оценки для ts порядка 10–3 а.е., для tl – порядка 103 а.е. В наших численных экспериментах мы рассматриваем интервалы времени 0.01–15 а.е., что заведомо попадает в область [ts, tl], где ожидается чисто экспоненциальный распад состояния.
Таким образом, нам хотелось бы получить ответ на следующие вопросы.
- Какое состояние имеет наибольшую вероятность выживания в заданном потенциале?
- В какой степени и в каком смысле это наиболее долгоживущее состояние напоминает резонансное состояние?
- Следует ли SP(t) хорошо известному закону экспоненциального затухания? Поскольку мы имеем в виду экспоненциальный распад с временном разрешением, вопрос звучит так: в самом ли деле для любого момента t временной шкалы SP(t) = exp(–2Γt) с постоянным значением Γ? Заметим здесь, что в среднем, т. е. в смысле L2, экспоненциальность распада не вызывает сомнений в соответствии с теоремой Фока–Крылова [14].
Экспериментальная часть
Численные эксперименты в потенциале Бэйна. При решении задачи (4) для пошаговой аппроксимации оператора эволюции на равномерной временной сетке с шагом δ мы используем схему Кранка–Николсон [15]
Выбор величины шага по времени и координате, конечно, должен быть согласован. При попытке, исходя из заданного Δ, оценить допустимую величину δ для описания эволюции произвольного состояния, результирующие оценки пессимистичны: шаг δ должен быть выбран настолько малым, что реально наблюдать эволюцию лишь на очень малых временах. Однако если ограничиться случаем, подразумевающим моделирование эволюции заданного стартового вектора, мы приходим к приемлемым оценкам, в самом худшем случае δ ~ Δ2.
Рассмотрим эволюцию в системе с потенциалом Бэйна для трех нижеследующих классов начальных квантовых состояний.
- Собственная функция основного состояния потенциального ящика с бесконечными стенками при разном размере ящика (рис. 3, панель I).
- Первая нечетная собственная функция гармонического осциллятора U(x) = kx2/2 для различных значений k (рис. 3, панель II).
- Собственная функция основного состояния так называемого бэйн-ящика (представляющего собой потенциал Бэйна, обрезанный справа бесконечной потенциальной стенкой) для различных положений потенциальной стенки (рис. 3, панель III).
Варьируя параметр задачи (положение правой стенки либо силовую постоянную), мы сначала выбираем состояние с наибольшим временем жизни T в данном классе начальных состояний. Затем мы отслеживаем поведение во времени выбранных состояний.
Из численных экспериментов (см. правые панели рис. 3) ясно, что наилучшие собственные функции бэйн-ящика распадаются заметно медленнее по сравнению с функциями потенциального ящика и гармонического осциллятора. С использованием вариационных методов и теории возмущений этот факт может быть подтвержден явно аналитически для используемой FD-модели. Мы также видим, что SP(t) почти для всех пробных состояний демонстрирует немонотонное убывание при сравнительно небольших временах эволюции, которые, однако, существенно больше, чем ts. Единственными исключениями являются собственные состояния бэйн-ящика с энергией (средним значением гамильтониана), близкой к резонансному положению (2). Чем ближе значение <j|H|j> к ε, тем медленнее распадается j. Обозначим такие состояния j как AR – (approximate resonant) – приближенные резонансные состояния. Вероятность выживания у AR-функций снижается гораздо медленнее, чем у других.
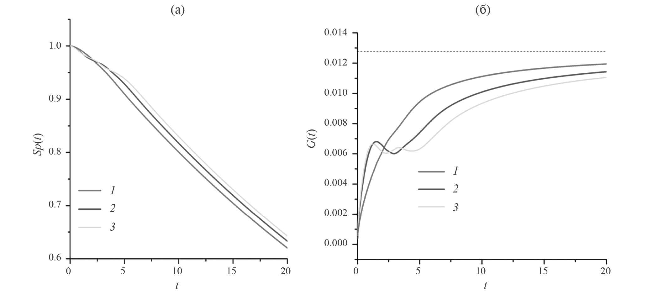
Если посмотреть состояния бэйн-ящика с большим квантовым числом, мы можем выбрать положение обрезающей стенки таким, чтобы для каждого квантового числа у нас имелась собственная функция со средней энергией, близкой к ε. Рассмотрев несколько состояний такого типа, можно заметить (рис. 4), что им отвечает монотонное убывание вероятности выживания, скорость распада падает с ростом размера ящика и значения времени жизни Т переоценены для широких ящиков, т. е. полуширина G таких состояний на начальном этапе осциллирует, а затем медленно стремится снизу к постоянному асимптотическому значению Г. Осцилляции связаны с перекрыванием эволюционирующей и исходной функций справа от барьера. Однако, строго говоря, теория резонансного распада построена именно для начальных состояний, локализованных слева от барьера, поэтому подобный артефакт неудивителен.
Во избежание недоразумений заметим, что важным для медленного убывания SP(t) является не формальная близость средней энергии гамильтониана на данном начальном состоянии к положению резонанса, а сходство волновых функций. Например, кроме AR-2 (состояния 2 на рис. 4) с энергией ε, в том же потенциале можно построить стартовую волновую функцию как линейную комбинацию двух окаймляющих AR-2 состояний – основного и второго возбужденного, подобрав коэффициенты разложения так, что средняя энергия гамильтониана на такой стартовой функции в точности совпадает с ε. Распад такой стартовой функции, оказывается, наоборот, очень ускорен, а причина этого в том, что она по cамому своему построению ортогональна AR.
Хотя вероятность выживания SP(t) убывает для AR-состояний монотонно, в идеальном временном разрешении закон распада таких состояний отличен от экспоненциального не только на интервале [0, ts], но гораздо дольше во времени. Это ясно видно на правой панели рис. 4.
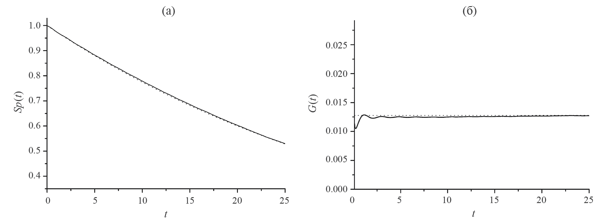
Единственное состояние, которое распадается чисто экспоненциально в смысле полного временного разрешения – это “чистый резонанс” (рис. 2), то есть, в данном случае – решение задачи (1), использованное в качестве стартового состояния для эволюции в соответствии с соотношениями (3), (4); рис. 5а показывает его SP(t).
Рис. 2. Волновая функция резонансного состояния (2) в потенциале Бэйна. По оси абсцисс – координата в а. е.
Рис. 3. Различные начальные состояния (а) и SP(t) для них (б). На левой панели жирной черной линией показан потенциал, серой сплошной линией – соответствующая этому потенциалу собственная функция, используемая как начальное состояние. Кривые на правой панели маркированы средней энергией соответствующего начального состояния.
Рис. 4. Зависимости SP(t) и G(t) = – ln(SP(t))/(2t) для состояний типа AR c квантовыми числами 1(1),2(2),3(3) и средней энергией Hmean = 3.4263 а. е. Ось абсцисс – время в а. е. На правой панели пунктиром показана полуширина Г(t) резонансного состояния (2).
Рис. 5. Распад резонансного состояния (решения задачи(1)). Зависимости SP(t) (а) и G(t) = – ln(SP(t))/(2t) (б) показаны сплошной линией. Пунктиром на левой панели показана функция exp(–2Гt), а на правой – полуширина Г резонансного состояния (2). Ось абсцисс – время в а. е.
Обсуждение результатов
Сравнивая эволюционирующие функции, мы видим, что выбранное нами AR-1 (на рис. 6 это состояние 1 с рис. 4) похоже на резонансное состояние (рис. 2) в добарьерной области и пытается смоделировать его в области больших значений x, где резонансное состояние ведет себя как уходящая волна в полном соответствии с его определением. Однако, поскольку функция “чистого резонанса” является собственной функцией неэрмитова гамильтониана из (1), она существенно комплексная и не может быть преобразована к вещественной. Таким образом, она вряд ли могла бы быть приготовлена в реальном эксперименте в качестве начального состояния при эволюции, то есть, на практике даже “идеальный эксперимент с высоким разрешением” всегда должен демонстрировать картину неэкспоненциального распада, по крайней мере, на малых и средних временах эволюции.
Рис. 6. Эволюция состояния AR-1: волновая функция в момент времени t = 0 (а) и t = T/2 (б). На оси абсцисс – координата в а. е.
Неэкспоненциальный распад часто отмечается и подробно описан для многомерных и многоканальных моделей [16, 17], в частности, для модели Винтера [16]. Поэтому интересно отметить, что подобный эффект имеет место и в рассматриваемой простейшей одномерной одноканальной задаче.
С благодарностью хочу отметить неоценимый вклад моего безвременно ушедшего соавтора Владимира Ивановича Пупышева как в наши работы, лежащие в основе применяемого здесь подхода, так и в программную реализацию вычислительного пакета на основе такого подхода.
Работа выполнена в рамках государственного задания ИОНХ РАН в области фундаментальных научных исследований (1.4.1. Фундаментальные основы химии).
Об авторах
Т. Ю. Михайлова
Институт общей и неорганической химии им. Н. С. Курнакова РАН
Автор, ответственный за переписку.
Email: tttat@yandex.ru
Россия, Москва
Список литературы
- Julve J., de Urries F.J. //J.Phys.A. 2010. V.43.P.175301.
- Gamow G. // Z. Angew.Phys. 1928. V.51. P. 204.
- Wang S.M., Nazarewicz W., Volya A. et al. // Phys.Rev.Research. 2023. V.5. P. 023183. doi: 10.1103/PhysRevResearch.5.023183
- Luo S., Zhang Z. // Lett.Math.Phys. 2005. V.71. P. 1. doi /10.1007/s11005-004-5095-4
- Garcia-Calderon G., Riquer V., Romo R. // J.Phys.A. 2001. V.34. P. 4155.
- Reed M., Simon B. Methods of Modern Mathematical Physics, V.3, 4, Academic Press Inc. 1978.
- Siegert A.J.F. // Phys.Rev. 1939. V.56. P. 750.
- Hazi A.U., Taylor H.S. // Phys.Rev.A. 1970. V.1. P. 1109.
- Михайлова Т.Ю., Пупышев В.И. // Опт. спектр. 1999. Т. 87. C.35.
- Mikhailova T.Yu, Pupyshev V.I. // Rus. J. Phys. Chem.A. 2000. V. 74. P. 30.
- Bain R.A., Bardsley J.N., Junker B.R. et al .//J.Phys.B. 1974 V.7. P. 2189.
- Li S., Wang L., Liu X.J. et al // Chin.Phys.Lett. 2008. V.25. P. 1255.
- Goldberger M.L., Watson K.M. // Phys. Rev. 1964.V. 136. P.B1472.
- Крылов Н.С., Фок В.Α. // ЖЭТФ. 1947. Т. 17. С. 93.
- Crank J., Nicolson P. // Proc. Camb. Phil. Soc. 1947. V. 43. P. 50. doi.org/10.1017/S0305004100023197.
- Peshkin M., Volya A, Zelevinsky V. // Europhys. Lett. 2014. V. 107, N. 4, P. 40001. doi.org/10.1209/0295-5075/107/40001.
- García-Calderón G., Romo R. // Phys.Rev.A. 2019. V. 100. P. 032121. doi: 10.1103/physreva.100.032121.
Дополнительные файлы








