Температуропроводность водных растворов пропиленгликолей
- Autores: Богатищева Н.С.1
-
Afiliações:
- Федеральное государственное бюджетное учреждение науки Институт теплофизики Уральского отделения РАН
- Edição: Volume 98, Nº 8 (2024)
- Páginas: 74-79
- Seção: PHYSICAL CHEMISTRY OF SOLUTIONS
- ##submission.dateSubmitted##: 22.01.2025
- ##submission.dateAccepted##: 22.01.2025
- ##submission.datePublished##: 22.08.2024
- URL: https://journals.rcsi.science/0044-4537/article/view/277689
- DOI: https://doi.org/10.31857/S0044453724080103
- EDN: https://elibrary.ru/PJVQMO
- ID: 277689
Citar
Texto integral
Resumo
Измерены коэффициенты температуропроводности растворов 1,2-пропандиол / вода, дипропиленгликоль / вода при атмосферном давлении в интервале температур от 303 К до 353 К и в полном диапазоне концентраций. Измерения температуропроводности выполнены методом лазерной вспышки на установке LFA-457 (Netzsch, Германия). Получено уравнение для расчета коэффициентов температуропроводности исследуемых систем в зависимости от весовой концентрации компонентов и температуры.
Palavras-chave
Texto integral
Повышенный интерес к изучению теплофизических свойств пропиленгликолей и их водных растворов обусловлен их широким применением в различных отраслях промышленности. Благодаря высокой растворяющей способности, гигроскопичности и бактерицидным свойствам, пропиленгликоли активно используются в фармацевтической, косметической и пищевой промышленностях [1]. Способность пропиленгликолей образовывать с водой растворы, характеризующиеся низкой температурой плавления и высокой температурой кипения, позволяет использовать их в качестве антифризов, гидравлических жидкостей и теплоносителей [2]. Причем, в отличие от этиленгликолей, они имеют низкую токсичность, что делает их пригодными для применения как в промышленном, так и бытовом теплообменном оборудовании. Для повышения эффективности работы данных систем, оптимизации состава и условий использования теплоносителей требуется знание их теплофизических свойств в широком диапазоне изменения параметров.
Исследованию теплофизических свойств пропиленгликолей и их водных растворов посвящено большое количество работ. Экспериментальные данные по плотности и теплопроводности водных растворов монопропиленгликоля (1,2-пропандиола), дипропиленгликоля и трипропиленгликоля в широком интервале температур (от 295 до 440 К) приведены в статье [3]. Работа [4] содержит данные о теплопроводности водного раствора 1,2-пропандиола при атмосферном давлении при более низких температурах (от 253.15 до 373.15 K). В монографии [5] представлены прямые измерения температуропроводности 1,2-пропандиола, а также изобарной теплоемкости шести членов гомологического ряда пропиленгликолей. Экспериментальные данные по изобарной теплоемкости 1,2-пропандиола и его водного раствора были собраны и подробно проанализированы в работах [6, 7].
Прямые измерения коэффициента температуропроводности водных растворов пропиленгликолей, вероятно, никогда не проводились. Имеющиеся литературные данные позволяют выполнить расчеты для чистых компонентов исследуемых систем по известной формуле a = l/(rCP), где λ – теплопроводность, ρ – плотность, CP – изобарная теплоемкость вещества. Косвенная оценка температуропроводности растворов произвольного состава осложнена тем, что экспериментальные данные по теплофизическим свойствам приведены в разных температурных диапазонах и для ограниченных концентраций.
Целью настоящей работы являлось измерение коэффициентов температуропроводности растворов 1,2-пропандиол / вода, дипропиленгликоль / вода в широком интервале температур и в полном диапазоне концентраций.
Используемый для измерения температуропроводности исследуемых образцов метод лазерной вспышки имеет ряд достоинств, среди которых следует отметить бесконтактность, высокую воспроизводимость результатов эксперимента и широкий диапазон температур измерения. Малая продолжительность проведения единичного измерения (менее 1 с) и небольшой объем исследуемого вещества (50–80 мкл) позволяет получить экспериментальные данные, не искаженные влиянием конвекции и термодиффузии в опытах с жидкими растворами.
Второй целью работы являлось исследование температурной и концентрационной зависимостей температуропроводности бинарных систем. Ранее, в работах по изучению теплообмена в бинарных жидких растворах [8, 9] было обнаружено, что введение в систему второго компонента способствует появлению дополнительного термического сопротивления, о чем свидетельствует отрицательное отклонение концентрационной зависимости теплопроводности от аддитивного значения. Было предположено, что существование избыточного термического сопротивления в системах вызвано рассеянием гиперакустических волн на флуктуациях концентрации [10]. Учитывая, что величина отклонения от аддитивности зависит от разности теплопроводности исходных компонент l1 и l2, Л. П. Филиппов предложил формулу для расчета теплопроводности бинарного раствора: , где w – концентрация первого компонента, α – коэффициент, характеризующий отклонение теплопроводности бинарных растворов от аддитивности [8].
В данной работе используется аналогичное уравнение для описания температуропроводности водных растворов пропиленгликолей. Полученное уравнение позволяет рассчитать температуропроводность исследуемых систем в зависимости от температуры для любой концентрации компонентов, не прибегая к дополнительным измерениям.
Экспериментальная часть
Список объектов исследования и чистота образцов в соответствии с сертификатом производителя приведены в табл. 1. В эксперименте использовались образцы веществ производства фирмы Sigma Aldrich с чистотой не менее 99 мол. %. Растворы изготавливались на основе бидистиллированной воды. Весовая концентрация пропиленгликолей в растворе составляла 0, 25, 50, 75, 100%. Навеска образцов проводилась на электронных весах Сартогосм “СЕ224-С”. Масса образцов определялась с точностью ±0.01 г. Приведенная неопределенность концентрации составила ±0.1 мас. %.
Таблица 1. Объекты исследования
Название вещества | Химическая формула | CASRN | Чистота (мол. %) | М, г/моль |
Пропиленгликоль (1,2-пропандиол) | C3H8O2 | 57-55-6 | 0.995 | 76.09 |
Дипропиленгликоль | C6H14O3 | 25265-71-8 | 0.99 | 134.17 |
Примечание. Чистота – содержание основного вещества (мол. %) в образцах в соответствии с сертификатом производителя (Sigma Aldrich).
Методика эксперимента. Измерения коэффициента температуропроводности были выполнены методом лазерной вспышки с помощью установки LFA-457 Netzsch. Контейнер с исследуемой жидкостью помещался в держателе внутри высокотемпературной электропечи. После установления заданной температуры, которая измеряется термопарой, контейнер снизу нагревается с помощью твердотельного импульсного лазера на иттрий-алюминиевом гранате, легированном ионами неодима, с длиной волны излучения 1064 нм. В экспериментах с жидкостями длительность импульса составляла 0.3 мс. Температуропроводность определяется по зависимости изменения температуры от времени верхней поверхности контейнера, регистрируемой высокочувствительным ИК-детектором MCT (ртуть-кадмий-теллурид). Для расчета коэффициента температуропроводности исследуемого вещества проводился анализ трехслойной системы, основанный на теории Ли [11]. С этой целью использовалось поставляемое вместе установкой программное обеспечение Netzsch.
Для работы с жидкими соединениями были изготовлены контейнеры из нержавеющей стали, каждый из которых представляет собой цилиндрическую емкость с тонким дном и углублением в центре крышки [12]. Температуропроводность материала контейнера предварительно исследовалась в отдельных экспериментах. Одним из основных факторов, влияющих на погрешность измерений температуропроводности методом лазерной вспышки жидких соединений, является толщина слоя исследуемой жидкости [13]. Конструкция контейнера позволяет создать плоскопараллельный слой жидкости известной толщины, величина которого не меняется в ходе эксперимента. В опытах использовались два контейнера с разной толщиной: 0.40 мм и 0.48 мм. Оценка параметра подобия Рэлея, который определяет поведение жидкости под действием градиента температуры, позволила исключить возникновение конвективных потоков при выбранных параметрах эксперимента.
Для отработки методики и оценки точности измерений температуропроводности жидких веществ методом лазерной вспышки с помощью описанного выше оборудования, предварительно были выполнены измерения температуропроводности толуола, н-тетрадекана и н-гексадекана в температурном диапазоне 303–343 К. Для веществ, взятых в качестве эталонных, максимальные отклонения полученных результатов от литературных данных, представленных в источниках [14–16], не превышали 4%.
Измерения температуропроводности пропиленгликолей выполнены при атмосферном давлении в температурном диапазоне 303–393 К в статической инертной атмосфере (Ar. 99.998 мол. %). В эксперименте использовалось три – четыре образца каждого вещества, для которых осуществлялось два прохода по температуре с шагом 10 К (с повышением и понижением температуры). Погрешность определения температуры составляла ±0.5 К. При каждой температуре было выполнено 12 измерений, которые затем усреднялись. При этом разница между экспериментальными данными, полученными при работе с разными образцами исследуемых растворов, не превышала 2%.
Обсуждение результатов
Чистые вещества. Результаты измерения температуропроводности 1,2-пропандиола и дипропиленгликоля представлены на рис. 1. Зависимость температуропроводности пропиленгликолей от температуры в исследованном температурном диапазоне в пределах погрешности измерений может быть представлена линейной функцией:
(1)
где Т в К; aPG(T) в м2с–1.
Значения коэффициентов bi даны в табл. 2.
Рис. 1. Температуропроводность чистых пропиленгликолей в зависимости от температуры: 1,2-пропандиол: ■ – настоящая работа, □ – [5]; ∆ – [3, 17]; ◊ –[3, 6]; Дипропиленгликоль: ● – настоящая работа, ○ – [3, 5], ∇ – [3, 17].
Таблица 2. Коэффициенты (1) и (3) для расчета температуропроводности водных растворов
Коэффициент | 1,2 – Пропандиол | Дипропиленгликоль |
b0×107, м2/с | 1.03 | 0.85 |
b1×1011, м2/(c K) | –9.1 | –6.9 |
MAD, % | 0.9 | 1.4 |
AAD, % | 0.5 | 0.6 |
k | 0.6 | 0.6 |
MAD | 1.5 | 1.7 |
AAD | 0.7 | 0.8 |
Примечание.
Температуропроводность воды в интервале температур 303–343 К в пределах погрешности измерений описывается полиномом второй степени (aW(T), м2с–1; T, K):
(2)
Среднее абсолютное процентное отклонение экспериментальных данных от результатов расчета по (1), рассчитанное по формуле составляет 0.5% для пропиленгликоля и 0.6% для дипропиленгликоля. Здесь aexp и acalc – экспериментальные и рассчитанные по уравнению значения температуропроводности, N – число экспериментальных точек.
Коэффициенты температуропроводности пропиленгликолей и воды, рассчитанные по (1) и (2), в зависимости от температуры приведены в табл. 3. (1) и (2) допускают экстраполяцию в обе стороны по шкале температур, соответствующих жидкому состоянию вещества при атмосферном давлении.
Таблица 3. Температуропроводность (a) чистых компонентов исследуемых растворов (сглаженные данные)
T, К | a×108, м2/c | ||
1,2 – Пропандиол | Дипропиленгликоль | Вода | |
303 313 323 333 343 353 363 373 383 393 | 7.5 7.5 7.4 7.3 7.2 7.1 7.0 6.9 6.8 6.7 | 6.4 6.3 6.3 6.2 6.2 6.1 6.0 5.9 5.9 5.8 | 14.6 15.0 15.4 15.7 16.0 |
Экспериментальные данные, полученные в настоящей работе, сравниваются с результатами прямых измерений температуропроводности, представленных в источнике [5] и с результатами расчета на основе литературных данных по изобарной теплоемкости, теплопроводности и плотности. Для расчета температуропроводности пропиленгликолей были использованы данные по теплопроводности и плотности, представленные в источнике [3], поскольку они даны в более широком температурном диапазоне и находятся в хорошем согласии с данными других авторов [4]. Анализ литературы показал, что результаты измерения изобарной теплоемкости, представленные в статьях [6, 7] и [17], существенно отличаются, поэтому для расчета температуропроводности использовались данные из обоих источников.
Как видно из рис. 1, результаты измерения температуропроводности пропиленгликолей, полученные в настоящей работе, завышены относительно других литературных данных. Отличие от результатов прямых измерений температуропроводности, представленных в работе [5], составляет десятые доли процента при комнатной температуре, которое, однако, увеличивается с ростом температуры, достигая максимального значения 2% в исследованном температурном диапазоне. Наибольшее отклонение от наших данных, составляющее 3%, наблюдается для температуропроводности, рассчитанной на основе экспериментальных данных по изобарной теплоемкости С. К. Ли и др. [17]. Для воды отклонение полученных результатов от литературных данных (NIST) [18] не превышает 2% в исследованном температурном диапазоне.
Растворы. Результаты измерения температуропроводности водных растворов пропиленгликолей в зависимости от температуры приведены в табл. 4. Весовая концентрация пропиленгликолей в растворе составляла 25, 50, 75%.
Таблица 4. Температуропроводность водных растворов пропиленгликолей, w – массовая концентрация пропиленгликоля в растворе
T, К | a×107, м2/c | ||
w=25% | w=50% | w=75% | |
1,2 – пропандиол/вода | |||
303 313 323 333 343 353 | 1.19 1.21 1.23 1.25 1.27 1.28 | 1.00 1.01 1.02 1.02 1.03 1.03 | 0.85 0.85 0.84 0.84 0.84 0.83 |
дипропиленгликоль/вода | |||
303 313 323 333 343 353 | 1.17 1.19 1.21 1.23 1.24 1.25 | 0.92 0.93 0.94 0.94 0.95 0.95 | 0.76 0.76 0.75 0.75 0.75 0.75 |
На рис. 2 представлены температурные зависимости коэффициента температуропроводности системы 1,2-пропандиол / вода. Параметром являлась весовая концентрация 1,2-пропандиола в растворе.
Рис. 2. Температурные зависимости температуропроводности системы 1,2-пропандиол / вода для различных весовых концентраций 1,2-пропандиола в растворе: ▲ – 25%, ♦ – 50%, ▼ – 75%, 100% ■ – настоящая работа; □ – [5]; ∆ – [3, 17]; ◊ – [3, 6]; вода ● – настоящая работа, ○ – [18].
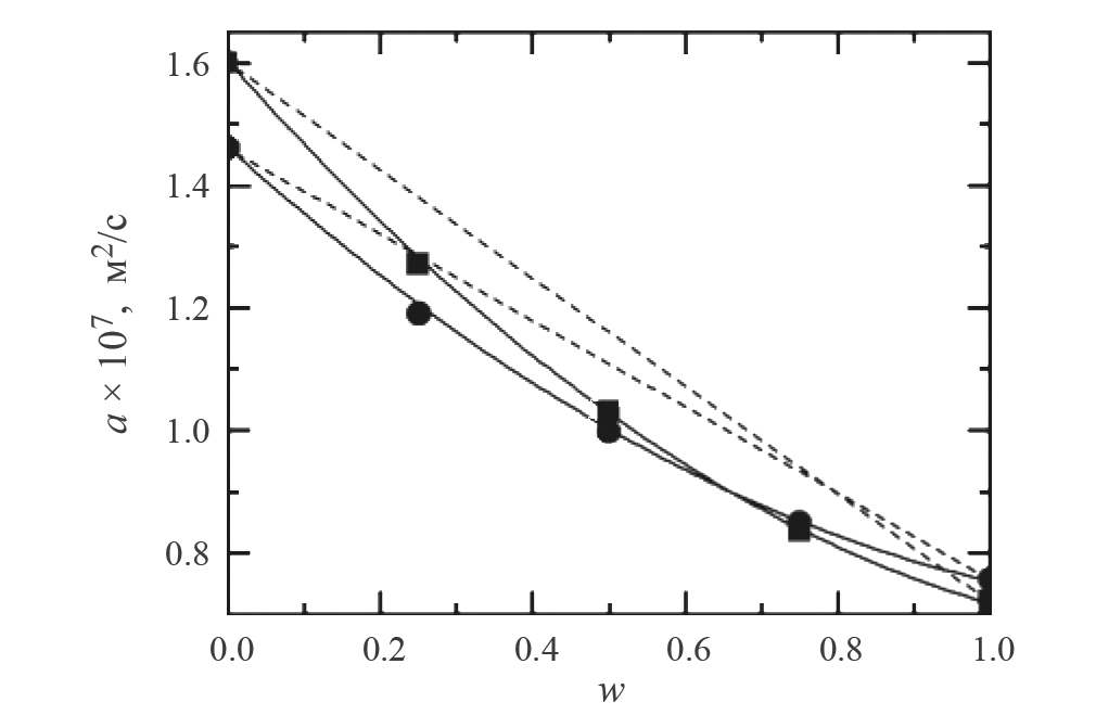
На рис. 3 представлены результаты измерений коэффициента температуропроводности системы 1,2-пропандиол / вода при температурах 303 и 343 К в зависимости от весовой концентрации 1,2-пропандиола в растворе. Пунктирные линии соответствуют аддитивным значениям температуропроводности исследуемой системы, рассчитанным по экспериментальным данным для исходных компонентов. Наблюдается отрицательное отклонение концентрационной зависимости коэффициента температуропроводности раствора от аддитивного значения. Анализ концентрационных зависимостей температуропроводности исследуемых смесей показал, что величина отклонения от аддитивного значения увеличивается с возрастанием разницы между температуропроводностью компонентов раствора, существенно зависит от концентрации компонентов и слабо зависит от температуры смеси. Уравнение для расчета коэффициентов температуропроводности системы пропиленгликоль / вода в зависимости от весовой концентрации компонентов w и температуры T может быть представлено в следующем виде:
(3)
где температуропроводность чистых компонентов является функцией температуры и описывается (1), (2) со значениями коэффициентов bi, приведенными в табл. 2. В результате совместной обработки экспериментальных данных было рассчитано значение коэффициента k=0.6.
Рис. 3. Температуропроводность водного раствора 1,2-пропандиола в зависимости от массовой концентрации 1,2-пропандиола в растворе (w) при T=303.15 (●) и 343.15 K (■).
Уравнение (3) со значениями коэффициентов, приведенными в табл. 2 применимо для расчета температуропроводности исследуемых систем во всем диапазоне концентраций, при этом допускает разумную экстраполяцию в обе стороны по шкале температур. Среднее и абсолютное процентные отклонения результатов расчета по (3) от экспериментальных данных приведены в табл. 2. Результатам расчета по (3) соответствуют сплошные линии на рис. 2 и 3.
Таким образом, получены новые экспериментальные данные по коэффициентам температуропроводности растворов пропиленгликоль / вода, дипропиленгликоль / вода при атмосферном давлении в интервале температур от 303 до 353 К и в полном диапазоне концентраций. По нашим оценкам, погрешность измерения температуропроводности жидкостей методом лазерной вспышки с помощью установки LFA-457 не превышает 5%. Зависимость температуропроводности чистых пропиленгликолей от температуры в жидкой фазе описывается полиномом первой степени. Получено уравнение для расчета коэффициента температуропроводности исследуемых систем в зависимости от весовой концентрации компонентов и температуры.
Исследование выполнено за счет гранта Российского научного фонда № 19-19-00115-П, https://rscf.ru/project/19-19-00115.
Sobre autores
Н. Богатищева
Федеральное государственное бюджетное учреждение науки Институт теплофизики Уральского отделения РАН
Autor responsável pela correspondência
Email: Bogatishcheva@mail.ru
Rússia, Екатеринбург
Bibliografia
- Martin, A.E., & Murphy, F.H. Glycols, Propylene Glycols. Kirk-Othmer Encyclopedia of Chemical Technolog., ohn Wiley & Sons, Inc., Hoboken, NJ, USA. 2000. https://doi.org/10.1002/0471238961.1618151613011820.a01.
- Негорючие теплоносители и гидравлические жидкости: Справочное руководство / Под ред. А.М. Сухотина. Л.: Химия, 1979. 359 с.
- Sun T., Teja A.S. // J. Chem. Eng. Data. 2004. V. 49. P. 1311.
- Deng C., Zhang K. // Int. J. Thermophys. 2021. V. 42. № .81. https://doi.org/10.1007/s10765-021-02837-6.
- Зарипов З.И., Мухамедзянов Г.Х. Теплофизические свойства жидкостей и растворов. Казань: Изд-во Казанского государственного технологического университета, 2008. 376 с.
- Zaripov Z.I., Aetov A.U., Nakipov R.R., et al. // J. of Molecular Liquids. 2020. V. 307. P. 112935. doi: 10.1016/j.molliq.2020.112935.
- Zaripov Z.I., Aetov A.U., Nakipov R.R., et al. // J. Chem. Thermodynamics. 2021. V. 152. P. 106270.
- Филиппов Л.П. Исследование теплопроводности жидкостей. М.: МГУ, 1970. 237 C.
- Кравчун С.Н. // Журн. физ. химии. 1986. Т. 60. № 9. C. 2176.
- Филиппов, Л.П., Кравчун С.Н. // Там же. 1982. Т. 56. № 11. C. 2753.
- Lee H.J. Thermal Diffusivity in Layered and Dispersed Composites: Ph.D. Thesis. West Lafayette, IN: Purdue University, 1975.
- Богатищева Н.С., Файзуллин М.З., Никитин Е.Д. // Журн. физ. химии. 2017. Т. 91. № 9. С. 1484.
- Kuznetsov G., Katz M. // Measurement Techniques. 2017. V.60. P. 1–6. doi: 10.1007/s11018-017-1221-4.
- Tarzimanov A.A., Yuzmukhametov F.D., Gabitov F.R., et al. // High Temperature. 2002. V. 40. № . 4. P. 524.
- Варгафтик Н.Б., Филиппов Л.П., Тарзиманов А.А. и др. Справочник по теплопроводности жидкостей и газов. М.: Энергоатомиздат, 1990. 352 с.
- Варгафтик Н.Б. Справочник по теплофизическим свойствам газов и жидкостей. М.: Наука, 1972. 720 с.
- Li C.-K., Soriano A.N., Li M.-H. // Thermochim. Acta. 2009. V.487. P. 26. https://doi.org/10.1016/j.tca.2009.01.008
- Lemmon E.W., Bell I.H., Huber M.L., McLinden M. O.// NIST Chemistry WebBook, NIST Standard Reference Database Number 69/ Eds. P.J. Linstrom and W.G. Mallard, National Institute of Standards and Technology, Gaithersburg MD, 20899, https://doi.org/10.18434/T4D303
Arquivos suplementares





