Влияние температуры и давления метана на спектральные характеристики полос комбинационного рассеяния н-бутана в диапазоне 300–1100 см–1
- Authors: Таничев А.С.1, Петров Д.В.1,2, Матросов И.И.1, Зарипов А.Р.1
 - 
							Affiliations: 
							
- Институт мониторинга климатических и экологических систем СО РАН
 - Национальный исследовательский Томский государственный университет
 
 - Issue: Vol 98, No 6 (2024)
 - Pages: 51-57
 - Section: ЭКСПЕРИМЕНТАЛЬНАЯ И ТЕОРЕТИЧЕСКАЯ СПЕКТРОСКОПИЯ ГАЗОВОЙ ФАЗЫ
 - Submitted: 28.12.2024
 - Accepted: 28.12.2024
 - Published: 29.12.2024
 - URL: https://journals.rcsi.science/0044-4537/article/view/274765
 - DOI: https://doi.org/10.31857/S0044453724060094
 - EDN: https://elibrary.ru/PXRBUE
 - ID: 274765
 
Cite item
Full Text
Abstract
Исследованы изменения спектральных характеристик колебательных полос н-бутана в спектральной области 300–1100 см–1 при вариации температуры от 285 до 365 К, а также давления метана в диапазоне 2–40 атм. Установлено, что энтальпия транс–гош-перехода н-бутана в газовой фазе составляет 657±66 кал/моль. Показано, что среда метана в исследуемом диапазоне давлений пренебрежимо мало влияет на конформационное равновесие н-бутана. Определено влияние изменения спектральных характеристик н-бутана на точность измерения состава природного газа с помощью спектроскопии КР.
Keywords
Full Text
Влияние температуры и давления метана на спектральные характеристики полос комбинационного рассеяния н-бутана в диапазоне 300–1100 см–11
ВВЕДЕНИЕ
Спектроскопия комбинационного рассеяния (КР) света является перспективным методом для анализа природного газа. Несмотря на низкое сечение рассеяния процессов КР (σ ~ 10–30 см2/ср), этот метод позволяет измерять концентрации с чувствительностью до единиц ppm [1–6]. Согласно ГОСТ 31371.7–2008 [7], содержание н-бутана в природном газе может варьироваться в диапазоне от 10 ppm до 4%, в зависимости от месторождения. Его основная особенность заключается в том, что он является первым углеводородом в ряду алканов, для которого существуют стабильные конформационные изомеры. Можно выделить две конфигурации н-бутана (рис. 1). Антиперипланарная конфигурация (или транс-конформер) является наиболее устойчивым состоянием с глобальным минимумом на поверхности потенциальной энергии. В данном случае, метильные группы максимально разнесены относительно звена С–С на угол 180°, при котором торсионное напряжение молекулы минимально. Скошенная конформация (или гош-конформер) является менее устойчивой конфигурацией, потенциальная энергия которой на 600–800 кал/моль больше, чем для транс-конформера. В данном состоянии метильные группы сближаются таким образом, что угол между их проекциями относительно центрального звена С–С составляет 60° [8]. При комнатной температуре, газообразный н-бутан представляет собой смесь транс- и гош-конформеров в соотношении 7 : 3 [9]. В силу разных энергий конформеров, изменение температуры инициирует транс–гош-переход, что приводит к изменению их относительных концентраций в среде [10, 11]. Помимо этого, согласно исследованиям [12–16], вариация давления и разное молекулярное окружение также могут приводить к изменению конформационного равновесия. Это объясняется тем, что для поворота звеньев молекулы требуется значительно меньше энергии, чем при изменении длины межатомных связей или углов. Достаточно близкие межмолекулярные столкновения при высокой плотности среды могут исказить геометрию молекулы и тем самым вызвать конформационный переход. Однако этот процесс остается малоизученным для взаимодействия н-бутана с основными компонентами природного газа.
Рис. 1. Пространственная структура (а) транс- и (б) гош-конформеров н-бутана
Каждый из конформеров н-бутана характеризуется специфическим расположением колебательных полос [17–20]. Поскольку добыча и транспортировка природного газа сопряжена с вариацией температуры и давления в широком диапазоне, отношения концентраций конформеров могут быть различными в момент анализа состава, что отразится в спектре КР. В свою очередь, изменение спектральных характеристик может привести к ошибке измерения концентрации как н-бутана, так и других молекул из-за перекрытия их колебательных полос. В работе [20] было показано, что среда метана приводит к сдвигу наиболее интенсивных полос н-бутана в области 2850–3000 см–1, но изменение спектральных характеристик в низкочастотной области не наблюдалось. Последний результат обусловлен сравнительно низким разрешением используемого спектрометра. В данной работе проведено более детальное экспериментальное исследование полос н-бутана в диапазоне 300–1100 см–1, используя улучшенный КР-спектрометр с более высоким разрешением (~ 1 см–1) и чувствительностью.
ЭКСПЕРИМЕНТАЛЬНАЯ ЧАСТЬ
Исследование проведено на КР-спектрометре, детальная схема которого представлена в ранее опубликованных работах [21, 22]. В качестве источника возбуждающего излучения был применен одномодовый твердотельный лазер SLN-532-5000 (Cnilaser, Китай), обеспечивающий 5 Вт выходной мощности в непрерывном режиме на длине волны 532.094 нм. Лазерный луч фокусировался в газовую кювету, представляющей собой полый цилиндр объемом 30 см3 с кварцевыми окнами. Рассеянный свет собирался под углом 90 градусов к направлению распространения лазерного луча с помощью двух линзовых объективов с относительными отверстиями 1 : 4 (f = 105 мм) и 1 : 4.5 (f = 210 мм). Спектры были зарегистрированы на монохроматоре МДР-23 (относительное отверстие – 1 : 8, f = 600 мм), оснащенном дифракционной решеткой 2400 штр/мм и ПЗС-матрицей Hamamatsu S10141 (2048×512 пикселей) с термоэлектрическим охлаждением до –10°С. Используя входную щель размером 50 мкм × 6 мм, спектральное разрешение составило 1.0 см–1 на частоте 587 и 0.75 см–1 на частоте 814 см–1. Спектральная дисперсия составила около 0.18 см–1/пиксел.
Для записи спектров были выбраны спектральные области 290–630 см–1 и 730–1100 см–1, где расположены полосы, соответствующие деформационным колебаниям группы CH2, группы CH3 и цепи С–С–С, а также валентным колебаниям С–С-связи [18]. Чтобы определить влияние температуры на полосы конформеров н-бутана были зарегистрированы спектры чистого н-бутана при температурах 285, 325 и 365 К и давлении 2 атм. В дополнение к этому были получены спектры бинарной смеси н-бутан/метан (4/96) в диапазоне давлений 2–40 атм при температуре 300 К. Газовая смесь была подготовлена в отдельной смесительной камере, используя образцы чистого н-бутана (>99.75%) и метана (>99.99%) при необходимых парциальных давлениях. Температура и давление газа в кювете контролировались с помощью термопары и манометра с точностью ±1 К и ±0.01 атм, соответственно. Чтобы корректно извлечь полосы н-бутана из спектра смеси, необходимо было выделить вклад полос метана. Для этого были использованы спектры чистого метана при тех же давлениях. Калибровка шкалы частот спектрометра выполнена, используя известные положения линий чисто вращательной S-ветви водорода [23, 24]. В связи с этим небольшое количество чистого водорода (менее 1%) добавлялось к н-бутану перед каждой регистрацией серии спектров.
ОБСУЖДЕНИЕ РЕЗУЛЬТАТОВ
Поскольку молекула н-бутана включает в себя N = 14 атомов, в основе спектра его каждого конформера лежит 36 фундаментальных колебаний, в соответствии с правилом 3N-6. Как показано на рис. 2, в диапазоне 300–1100 см–1 спектра КР основной вклад дают полосы ν9, ν10 и ν11 для транс-конформера, а также группа колебаний ν13, ν14, ν15, ν16, ν17 и ν35 гош-конформера [18, 25]. При давлении близком к атмосферному, прослеживается несимметричная и холмообразная форма наиболее интенсивных полос, что связано со сложной и протяженной вращательной структурой спектра, формируемой огромным числом плотно расположенных линий [25–27]. Рост давления приводит к большему перекрытию контуров отдельных колебательно-вращательных линий н-бутана за счет столкновительного уширения. В свою очередь, перекрытие линий вызывает перераспределение интенсивности к центру полосы из-за интерференции переходов (эффект столкновительного сужения) и сдвигу всего контура [28–30]. В результате, при высокой плотности газа происходит коллапс вращательной структуры полосы, при котором несимметричная форма сглаживается и устремляется к контуру Лоренца. Как было отмечено в работе [31], подобный эффект также прослеживается в спектре этана в области полосы ν3, форма которой изменяется намного быстрее с ростом давления. Важно отметить, что не все полосы сужаются с ростом давления из-за конкуренции процессов столкновительного уширения и сужения [28]. В частности, в полосах ν10(T) и ν11(T) доминирующими являются процессы уширения.
Рис. 2. Влияние температуры и давления на колебательные полосы КР н-бутана в области 290–450 см–1 (а), 770–860 см–1 (б) и 940–1090 см–1 (в). Нижние спектры соответствуют чистому н-бутану при температурах 285, 325 и 365 К (давление 2 атм). Сверху приведены спектры чистого н-бутана при давлении 2 атм и смеси н-бутан/метан (4/96%) при давлении 20 и 40 атм (температура 300 К), где полосы метана были вычтены. Все спектры нормированы по интегральной интенсивности. Полосы транс- и гош-конформеров обозначены символами (T) и (G) соответственно. Положения линий водорода обозначены звездочками
С повышением температуры пиковая интенсивность полос н-бутана падает из-за Больцмановского перераспределения населенностей вращательных уровней. В центре полосы находятся переходы с наибольшей населенностью, интенсивность от которых переходит к линиям с высокими вращательными квантовыми числами, расположенным на крыльях полос. В результате, наблюдается эффект обратный столкновительному сужению – вращательная структура полос расходится и усложняется с ростом температуры. Кроме того, происходит рост интенсивностей горячих полос, расположенных вблизи фундаментальных мод, вклад которых маскируется [18, 27]. Интересно отметить, что пиковая интенсивность полосы ν16 гош-конформера остается практически неизменной из-за компенсации разнонаправленных процессов перераспределения интенсивностей колебательно-вращательных линий и концентраций конформеров. Изменение концентраций в области полос транс-конформера, напротив, наиболее заметно из-за суммарного действия этих процессов.
Энтальпия перехода между конформерами является одной из фундаментальных физических величин, описывающих внутреннее строение алканов. Однако среди представленных в литературе значений для энтальпии н-бутана в газовой фазе [10, 11, 17–19, 27, 32–41] наблюдается значительное расхождение от 560 до 1130 кал/моль. Используя полученные спектры, в данной работе была определена энтальпия транс–гош-перехода. Концентрации конформеров, температура среды и энтальпия связаны уравнением изохоры Вант-Гоффа [11, 40]:
, (1)
где CT и CG – концентрации транс- и гош-конформеров при температуре T, ΔН – энтальпия транс–гош-перехода, R – универсальная газовая постоянная, ΔS – изменение энтропии. Для определения относительных концентраций конформеров спектроскопическим методом необходимо измерить их вклады в спектр н-бутана по отдельности. Сложность данного подхода заключается в том, что газовой фазе нельзя выделить полностью изолированные полосы транс- или гош-конформера. Как можно видеть из рис. 2, измерение интенсивности в любой области спектра н-бутана сопряжено со взаимным перекрытием полос из-за их протяженной вращательной структуры. Чтобы минимизировать эту ошибку мы измерили суммарные интегральные интенсивности всех полос, попадающих в диапазон 300–1100 см–1, отдельно для транс- и гош-конфигураций н-бутана. Линии водорода были вычтены из спектров перед проведением измерений. В этой связи, уравнение (1) может быть сведено к виду:
, (2)
, (3)
где и – суммарные интенсивности полос транс- и гош-конформеров н-бутана в спектре. Согласно полученной зависимости (рис. 3а), величина энтальпии перехода транс–гош составляет 657±66 кал/моль (доверительная вероятность 95%), что согласуется с наиболее поздними теоретическими (647±7 кал/моль) и экспериментальными (660±22 кал/моль) исследованиями [10, 11]. Ошибка измерения обусловлена шумом в экспериментальных спектрах, вариацией перекрытия полос конформеров, вносимым вкладом неучтенных горячих полос, а также зависимостью самой величины энтальпии от температуры среды [11, 18, 27]. Как показано на рис. 3, отношение интенсивностей транс/гош в случае смеси н-бутана с метаном при высоком давлении немного ниже по сравнению с чистым н-бутаном при комнатной температуре. Смещение отношения при давлении 40 атм эквивалентно концентрациям конформеров в чистом н-бутане при температуре 307 К и давлении 2 атм. Однако, мы полагаем, что наблюдаемое изменение отношения может быть вызвано не столько конформационным перераспределением, сколько вносимой систематической погрешностью за счет уширения полос с ростом давления.
Рис. 3. Зависимости натурального логарифма отношения интенсивностей полос транс- и гош-конформеров н-бутана от температуры (а) и давления (б). Линейная аппроксимация показана сплошной линией. Доверительные интервалы указаны для 95% доверительной вероятности
Оценим влияние изменения спектральных характеристик н-бутана на ошибку измерения концентраций основных компонентов природного газа с помощью спектроскопии КР. Принимая во внимание расположение характеристических полос других молекул в составе природного газа [42], точность измерения н-пентана является наиболее чувствительной к изменениям в спектре н-бутана. Это обусловлено перекрытием его характеристических полос (839 и 867 см–1) полосами ν10(T) и ν15(G) н-бутана, которые относятся к различным конформерам (рис. 4). Мы оценили ошибку измерения н-пентана с помощью следующего выражения:
, (4)
Рис. 4. Спектры КР н-бутана и н-пентана в диапазоне 600–1600 см–1. Полосы транс- и гош-конформеров н-бутана обозначены символами (T) и (G) соответственно
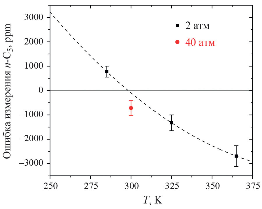
где C – концентрация н-бутана в природном газе, A – интегральная интенсивность в спектре н-бутана, вычисленная в области характеристического пика н-пентана 822.5–855.9 см–1 [42], B – интегральная интенсивность характеристического пика н-пентана в чистом газе, T и P –давление и температура среды, T0 = 300 К, P0 = 2 атм. Расчеты были выполнены для 4% н-бутана в природном газе. Как показано на рис. 5, вариация температуры анализируемой пробы газа в широком диапазоне 270–370 К приводит к абсолютной ошибке измерения н-пентана порядка 0.1%, в случае использования референсного спектра н-бутана, полученного при комнатной температуре. Отклонение температуры газа в пределах ±5 К приведет к ошибке 290 ppm. С ростом давления природного газа ошибка измерения также возрастает и достигает 700 ppm при 40 атм. Отметим, что требуемый диапазон изменения концентрации н-пентана в природном газе составляет от 10 ppm до 2% [7]. Таким образом для измерения н-пентана с точностью 10 ppm, флуктуации температуры и давления пробы не должны превышать ±0.2 К и ±0.6 атм.
Рис. 5. Абсолютная ошибка измерения концентрации н-пентана (используя полосу с частотой 839 см–1) в природном газе в случае игнорирования влияния температуры и давления метана на спектр н-бутана. Концентрация н-бутана составляет 4%. Доверительные интервалы указаны для 95% доверительной вероятности
ЗАКЛЮЧЕНИЕ
В данной работе показано, что вариация температуры более чем на 0.2 К и давления более чем на 0.6 атм приводит к значимым изменениям формы колебательных полос в спектре КР н-бутана. Помимо перераспределения интенсивности между колебательно-вращательными линиями внутри каждой полосы, вариация температуры приводит к изменению относительной интенсивности полос н-бутана из-за конверсии конформеров транс–гош. Среда метана оказывает пренебрежимо малый эффект на конформационное равновесие н-бутана в диапазоне давления 0–40 атм при комнатной температуре. Энтальпия перехода между транс- и гош-конформерами н-бутана в газовой фазе, вычисленная из полученных экспериментальных данных и усредненная по диапазону температуры 285–365 К, составила 657±66 кал/моль. Доминирующий вклад в ошибку измерения вносят эффекты уширения и сужения полос при вариации давления и температуры газа. Одним из способов ее минимизации является применение модельных спектров каждого конформера полученных на основе параметров каждой колебательно-вращательной линии. Необходимо отметить, что на текущий момент квантово-химические модели не позволяют проводить расчеты вращательной структуры спектров молекул с большим количеством атомов с требуемой точностью. Однако, принимая во внимание динамику их развития, мы полагаем, что в ближайшем будущем появятся более совершенные версии и позволят решить данную задачу. Использование этих данных, в свою очередь, повысит точность измерений состава природного газа с помощью спектроскопии КР.
Исследование выполнено за счет гранта Российского научного фонда № 19-77-10046, https://rscf.ru/project/19-77-10046/.
1 Иркутская обл., пос. Чара, 3–7 июля 2023 года.
About the authors
А. С. Таничев
Институт мониторинга климатических и экологических систем СО РАН
							Author for correspondence.
							Email: tanichev_aleksandr@mail.ru
				                					                																			                												                	Russian Federation, 							Томск						
Д. В. Петров
Институт мониторинга климатических и экологических систем СО РАН; Национальный исследовательский Томский государственный университет
														Email: dpetrov@imces.ru
				                					                																			                												                	Russian Federation, 							Томск; Томск						
И. И. Матросов
Институт мониторинга климатических и экологических систем СО РАН
														Email: tanichev_aleksandr@mail.ru
				                					                																			                												                	Russian Federation, 							Томск						
А. Р. Зарипов
Институт мониторинга климатических и экологических систем СО РАН
														Email: tanichev_aleksandr@mail.ru
				                					                																			                												                	Russian Federation, 							Томск						
References
- Guo J., Luo Z., Liu Q. et al. // Sensors. 2021. V. 21. № 10. P. 3539. https://doi.org/10.3390/s21103539
 - Knebl A., Domes C., Domes R. et al. // Anal. Chem. 2021. V. 93. № 30. P. 10546. https://doi.org/10.1021/acs.analchem.1c01500
 - Hanf S., Keiner R., Yan D. et al. // Ibid. 2014. V. 86. № 11. P. 5278. https://doi.org/10.1021/ac404162w
 - Petrov D.V., Matrosov I.I., Zaripov A.R. et al. // Sensors. 2022. V. 22. № 9. P. 3492. https://doi.org/10.3390/s22093492
 - Wang J., Chen W., Wang P. et al. // Opt. Express. 2021. V. 29. № 20. P. 32296. https://doi.org/10.1364/oe.437693
 - Bai Y., Xiong D., Yao Z. et al. // J. Raman Spectrosc. 2022. V. 53. № 5. P. 1023. https://doi.org/10.1002/jrs.6320
 - ГОСТ 31371.7–2008. Газ природный. Определение состава методом газовой хроматографии с оценкой неопределенности. Часть 7. Методика выполнения измерений молярной доли компонентов.
 - Allinger N.L., Fermann J.T., Allen W.D. et al. // J. Chem. Phys. 1997. V. 106. № 12. P. 5143. https://doi.org/10.1063/1.473993
 - Rosenthal L., Rabolt J.F., Hummel J. // Ibid. 1982. V. 76. № 2. P. 817. https://doi.org/10.1063/1.443052
 - Balabin R.M. // J. Phys. Chem. A. 2009. V. 113, № 6. P. 1012. https://doi.org/10.1021/jp809639s
 - Barna D., Nagy B., Csontos J. et al. // J. Chem. Theory Comput. 2012. V. 8, № 2. P. 479. https://doi.org/10.1021/ct2007956
 - Whalley E. // Rev. Phys. Chem. Japan. 1980. V. 50. P. 119
 - Taniguchi Y. // J. Mol. Struct. 1985. V. 126. P. 241. https://doi.org/10.1016/0022-2860(85)80117-4
 - Taniguchi Y., Takaya H., Wong P.T.T. et al. // J. Chem. Phys. 1981. V. 75, № 10. P. 4815. https://doi.org/10.1063/1.441908
 - Dare-Edwards M.P., Gardiner D.J., Walker N.A. // Nature. 1985. V. 316, № 6029. P. 614. https://doi.org/10.1038/316614a0
 - Kasezawa K., Kato M. // J. Phys. Chem. B. 2009. V. 113, № 25. P. 8607. https://doi.org/10.1021/jp900073p
 - Verma A.L., Murphy W.F., Bernstein H.J. // J. Chem. Phys. 1974. V. 60, № 4. P. 1522. https://doi.org/10.1063/1.1681228
 - Murphy W.F., Fernández-Sanchez J.M., Raghavachari K. // J. Phys. Chem. 1991. V. 95, № 3. P. 1124. https://doi.org/10.1021/j100156a020
 - Kint S., Scherer J.R., Snyder R.G. // J. Chem. Phys. 1980. V. 73, № 6. P. 2599. https://doi.org/10.1063/1.440471
 - Petrov D. V., Matrosov I.I., Zaripov A.R. // Opt. Spectrosc. 2018. V. 125, № 1. P. 5. https://doi.org/10.1134/S0030400X18070226
 - Tanichev A.S., Petrov D.V. // J. Raman Spectrosc. 2022. V. 53, № 3. P. 654. https://doi.org/10.1002/jrs.6145
 - Tanichev A.S., Petrov D.V. // Molecules. 2023. V. 28, № 8. P. 3365. https://doi.org/10.3390/molecules28083365
 - Komasa J., Piszczatowski K., Łach G. et al. // J. Chem. Theory Comput. 2011. V. 7, № 10. P. 3105. https://doi.org/10.1021/ct200438t
 - Roueff E., Abgrall H., Czachorowski P. et al. // Astron. Astrophys. 2019. V. 630, № May 2020. https://doi.org/10.1051/0004-6361/201936249
 - Sung K., Steffens B., Toon G.C. et al. // J. Quant. Spectrosc. Radiat. Transf. 2020. V. 251. P. 107011. https://doi.org/10.1016/j.jqsrt.2020.107011
 - Bernath P.F., Bittner D.M., Sibert E.L. // J. Phys. Chem. A. 2019. V. 123, № 29. P. 6185. https://doi.org/10.1021/acs.jpca.9b03321
 - Gassler G., Hüttner W. // Zeitschrift fur Naturforsch. – Sect. A J. Phys. Sci. 1990. V. 45, № 2. P. 113. https://doi.org/10.1515/zna-1990-0206
 - Kozlov D.N., Smirnov V.V., Volkov S.Y. // Appl. Phys. B. 1989. V. 48. P. 273. https://doi.org/10.1007/BF00694359
 - Strekalov M.L., Burshtein A.I. // Chem. Phys. 1981. V. 60. № 1. P. 133. https://doi.org/10.1016/0301-0104(81)80112-7
 - Strekalov M.L., Burshtein A.I. // Ibid. 1983. V. 82. № 1–2. P. 11. https://doi.org/10.1016/0301-0104(83)85344-0
 - Tanichev A.S., Petrov D.V. // Spectrochim. Acta – Part A Mol. Biomol. Spectrosc. 2023. V. 291. P. 122396. https://doi.org/10.1016/j.saa.2023.122396
 - Szasz G.J., Sheppard N., Rank D.H. // J. Chem. Phys. 1948. V. 16. № 7. P. 704. https://doi.org/10.1063/1.1746978
 - Sheppard N., Szasz G.J. // Ibid. 1949. V. 17. № 1. P. 86. https://doi.org/10.1063/1.1747059
 - Ito K. // J. Am. Chem. Soc. 1953. V. 75. № 10. P. 2430. https://doi.org/10.1021/ja01106a046
 - Chen S.S., Wilhoit R.C., Zwolinski B.J. // J. Phys. Chem. Ref. Data. 1975. V. 4. № 4. P. 859. https://doi.org/10.1063/1.555526
 - Durig J.R., Compton D.A.C. // J. Phys. Chem. 1979. V. 83. № 2. P. 265. https://doi.org/10.1021/j100465a012
 - Compton D.A.C., Montero S., Murphy W.F. // Ibid. 1980. V. 84. № 26. P. 3587. https://doi.org/10.1021/j100463a018
 - Colombo L., Zerbi G. // J. Chem. Phys. 1980. V. 73. № 4. P. 2013. https://doi.org/10.1063/1.440298
 - Stidham H.D., Durig J.R. // Spectrochim. Acta Part A Mol. Spectrosc. 1986. V. 42. № 2–3. P. 105. https://doi.org/10.1016/0584-8539(86)80169-6
 - Durig J.R., Wang A., Beshir W. et al. // J. Raman Spectrosc. 1991. V. 22. № 11. P. 683. https://doi.org/10.1002/jrs.1250221115
 - Herrebout W.A., Van Der Veken B.J., Wang A. et al. // J. Phys. Chem. 1995. V. 99. № 2. P. 578. https://doi.org/10.1021/j100002a020
 - Petrov D. // Anal. Chem. 2021. V. 93. № 48. P. 16282. https://doi.org/10.1021/acs.analchem.1c03358
 
Supplementary files
				
			
					
						
						
						
						
				






