Теплоемкость и термодинамические функции твердого раствора Er2O3∙2HfO2
- Authors: Гуськов А.В.1, Гагарин П.Г.1, Гуськов В.Н.1, Хорошилов А.В.1, Гавричев К.С.1
-
Affiliations:
- Институт общей и неорганической химии им. Н.С. Курнакова РАН
- Issue: Vol 98, No 1 (2024)
- Pages: 65-70
- Section: CHEMICAL THERMODYNAMICS AND THERMOCHEMISTRY
- Submitted: 19.07.2024
- Accepted: 19.07.2024
- Published: 19.07.2024
- URL: https://journals.rcsi.science/0044-4537/article/view/259784
- DOI: https://doi.org/10.31857/S0044453724010102
- EDN: https://elibrary.ru/SFUIJB
- ID: 259784
Cite item
Full Text
Abstract
Изобарная теплоемкость образца твердого раствора ЕГ2О3∙2HfOi, охарактеризованного методами РФА, электронной микроскопии и химического анализа, измерена методами релаксационной, адиабатической и дифференциальной сканирующей калориметрии в интервале 2.4–1807 K; рассчитаны термодинамические функции. Определен вклад аномалии Шоттки в области 2.4–300 K.
Full Text
Согласно литературным данным, непрерывные ряды твердых растворов оксидов тяжелых лантаноидов (Dy...Lu) и гафния характеризуются высокими температурами плавления и, как считается, отсутствием структурных превращений в широкой температурной области [1, 2]. Твердые растворы xLn2Or(1-x)HfO2, х=0-0.6, кристаллизуются в структурном типе дефектного флюорита (Fm3m). Центром этих твердых растворов следует считать состав Ln2Q3 ∙ 2HfO2 со стехиометрическим отношением металлов 1:1. Особенности формирования кристаллической структуры описаны в работе [3]. Из-за высоких температур плавления (2400-2800°С) и исключительно низких скоростей установления равновесий при температурах ниже 1800°С фазовые диаграммы в системах Ln2O3-HfO2 изучены достаточно схематично. Существует, однако, предположение о том, что в области низких температур (<300–400°С) твердые растворы способны претерпевать распад на диоксид гафния и Ln4Hf3O12 – так называемую 5-фазу по аналогии с тем, как это наблюдали в результате длительных отжигов в течение 4500–5000 ч при 400°С в системах Y2O3-HfO2 [4] и Yb2O3-HfO2 [5]. Отметим, что такие эксперименты затруднительны и не гарантируют достижения равновесного результата. Так как двойные оксиды лантаноидов и гафния рассматриваются в перспективе как основа термобарьерных материалов [6-9], проблемы распада твердых растворов, а также высокотемпературной коррозионной стойкости в агрессивных средах [10, 11] носят принципиальный характер. Экспериментальное решение этих вопросов достаточно затратно и трудоемко, но ограничить объем исследований возможно применением математического моделирования [12, 13] при условии, что имеются надежные данные по термодинамическим свойствам участвующих в фазовых процессах веществ.
Высокотемпературная теплоемкость твердого раствора Er2O3 ∙ 2HfO2 в интервале температур 320–1300 K представлена в работе [14] наряду с температурной зависимостью параметра кубической решетки, где также показано отсутствие структурных превращений при этих температурах, однако полного представления о термодинамических функциях двойного оксида эрбия-гафния на настоящий момент в литературе не найдено.
Целью настоящей работы является экспериментальное изучение изобарной теплоемкости твердого раствора Er2O3 ∙ 2HfO2 в широком интервале температур 2–1800 K и расчет его термодинамических функций.
ЭКСПЕРИМЕНТАЛЬНАЯ ЧАСТЬ
Синтез, идентификацию твердого раствора Er2O3 ∙ 2HfO2 и калориметрические исследования в области температур 2–350 K проводили так, как это описано в работе [3] при исследовании Dy2O3 ∙ 2HfO2. Для измерений теплоемкости в интервале температур 317–1807 K использовали установку термического анализа DSC 404 F1 Pegasus® фирмы Netzsch [15].
ОБСУЖДЕНИЕ РЕЗУЛЬТАТОВ
Для измерений синтезирован однофазный образец Er2O3 ∙ 2HfO2 структурного типа дефектного флюорита с параметром ячейки а = 5.185 А (рис. 1). Образец, по результатам EDX, не содержал посторонних примесей и не являлся наноразмерным в соответствии с оценками ширины рефлексов дифрактограммы по Шереру. Микрофотография поверхности приведена на рис. 2. В соответствии с результатами химического анализа образец содержал 50.15 ± 0.05 мол. % 2HfO2.
Рис. 1. Дифрактограмма образца твердого раствора Er2O3 ∙ 2HfO2, структурный тип Fm3m, а = 5.185(2) А, CuXa-излучение, X = 1.5418 А.
Рис. 2. Морфология образца твердого раствора Er2O3 ∙ 2HfO2, х100000.
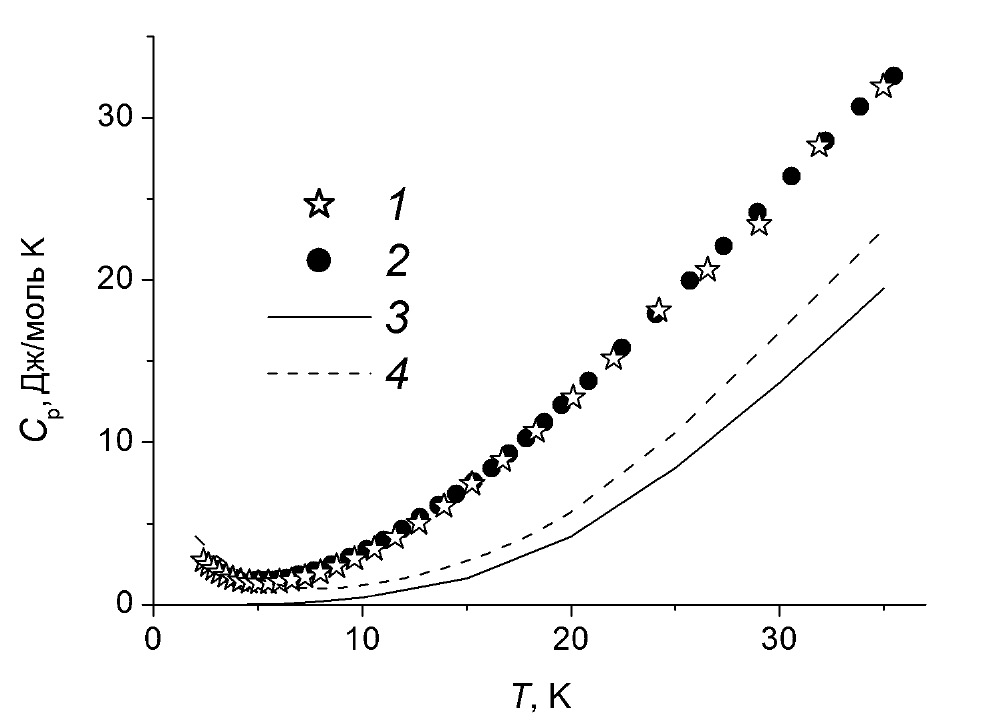
Измерения теплоемкости выполнены методами релаксационной в 30 точках и интервале 2.39–35.0 K, адиабатической в области температур 4.72–349.7 K в 150 точках и дифференциальной сканирующей калориметрии в 150 точках в интервале 317–1807 K, pис. 3. Как видно из врезок на рис. 3, результаты, полученные разными калориметрическими методами, удовлетворительно согласуются между собой. Зависимость теплоемкости от температуры не содержит признаков структурных превращений. В области самых низких температур (рис. 4) обнаружено существование минимума теплоемкости при ~ 5 K, который возникает вследствие магнитных превращений при температурах ниже 2 K. Точное расположение максимума теплоемкости при магнитном упорядочении неизвестно, однако следует предположить, по аналогии с другими соединениями лантаноидов, что его температура находится около 1 K, а вклад в энтропию твердого раствора составляет 2Rln2. Сравнение температурного хода теплоемкости с теплоемкостями твердых растворов Lu2O3 ∙ 2HfO2 (3) [16] и Dy2O3 ∙ 2HfO2 (4) [3] показывает, что помимо магнитного превращения в области самых низких температур присутствует заметный вклад аномалии Шоттки, так как при ее отсутствии решеточная теплоемкость Er2O3 "2HfO2 должна занимать положение между кривыми теплоемкости Dy2O3 ∙ 2HfO2 и Lu2O3 ∙ 2HfO2 вследствие уменьшения объема кристаллической решетки из-за лантаноидного сжатия.
Рис. 3. Экспериментальная теплоемкость твердого раствора Er2O3 ∙ 2HfO2 (флюорит) по результатам: 1 – релаксационной, 2 – адиабатической и 3 – дифференциальной сканирующей калориметрии; на врезках — области низких температур (0–37 K) и стыковки данных адиабатической и дифференциальной сканирующей калориметрии (320–360 K).
Рис. 4. Теплоемкость твердого раствора Er2O3 ∙ 2HfO2 в области самых низких температур по данным: 1 – релаксационной, 2 – адиабатической калориметрии; 3 – теплоемкость твердого раствора Lu2O3 ∙ 2HfO2 [16], 4 – теплоемкость твердого раствора Dy2O3 ∙ 2HfO2 [3].
К сожалению, выделить индивидуальные вклады решеточной, магнитной и аномальной Шоттки теплоемкости в области самых низких температур в настоящем исследовании не представляется возможным. По этой причине термодинамические функции рассчитаны без учета накопления энтропии в интервале 0–2 K. Сглаживание теплоемкости выполнено в области 2–35 K с использованием полинома 6-й степени Cp = ΣAiTi (i=0.. .6), а в температурном интервале 20–1800 K — с помощью программы CpFit [17, 18]. Сглаженные значения теплоемкости и рассчитанные значения термодинамических функций приведены в таблице 1.
Таблица 1. Теплоемкость и термодинамические функции твердого раствора Er2O3 ∙ 2HfO2 (флюорит)
T, K | Cp(T), Дж/(моль K) | S(T)-S(2 K), Дж/(моль K) | H(T)-H(2 K), Дж/моль | Ф(Т), Дж/(моль K) |
2 | 3.046 | 0 | 0 | 0 |
3 | 2.122 | 1.044 | 2.545 | 0.1962 |
4 | 1.615 | 1.577 | 4.383 | 0.4811 |
5 | 1.429 | 1.912 | 5.882 | 0.7357 |
6 | 1.486 | 2.174 | 7.322 | 0.9541 |
7 | 1.729 | 2.420 | 8.916 | 1.146 |
8 | 2.115 | 2.674 | 10.83 | 1.321 |
9 | 2.613 | 2.951 | 13.18 | 1.486 |
10 | 3.203 | 3.256 | 16.08 | 1.648 |
11 | 3.872 | 3.592 | 19.62 | 1.809 |
12 | 4.611 | 3.961 | 23.85 | 1.973 |
13 | 5.416 | 4.361 | 28.86 | 2.141 |
14 | 6.286 | 4.794 | 34.71 | 2.315 |
15 | 7.219 | 5.259 | 41.45 | 2.495 |
16 | 8.212 | 5.756 | 49.16 | 2.684 |
17 | 9.265 | 6.285 | 57.90 | 2.880 |
18 | 10.37 | 6.846 | 67.71 | 3.084 |
19 | 11.53 | 7.438 | 78.66 | 3.298 |
20 | 12.72 | 8.059 | 90.78 | 3.520 |
22 | 15.20 | 9.387 | 118.7 | 3.992 |
24 | 17.72 | 10.82 | 151.6 | 4.501 |
26 | 20.22 | 12.34 | 189.6 | 5.045 |
28 | 22.71 | 13.92 | 232.5 | 5.622 |
30 | 25.30 | 15.58 | 280.5 | 6.230 |
32 | 28.42 | 17.30 | 334.0 | 6.868 |
34 | 30.88 | 19.10 | 393.4 | 7.534 |
35 | 32.05 | 20.02 | 424.8 | 7.878 |
40 | 37.84 | 24.67 | 599.5 | 9.685 |
45 | 43.63 | 29.46 | 803.2 | 11.62 |
50 | 49.44 | 34.36 | 1036 | 13.64 |
60 | 60.84 | 44.39 | 1588 | 17.93 |
70 | 71.64 | 54.59 | 2251 | 22.44 |
80 | 81.78 | 64.83 | 3018 | 27.10 |
90 | 91.43 | 75.02 | 3885 | 31.86 |
100 | 100.8 | 85.14 | 4846 | 36.68 |
110 | 110.0 | 95.18 | 5900 | 41.54 |
120 | 119.0 | 105.1 | 7045 | 46.43 |
130 | 127.9 | 115.0 | 8280 | 51.32 |
140 | 136.5 | 124.8 | 9602 | 56.22 |
150 | 144.8 | 134.5 | 11010 | 61.12 |
160 | 152.8 | 144.1 | 12500 | 66.01 |
170 | 160.4 | 153.6 | 14060 | 70.88 |
180 | 167.6 | 163.0 | 15700 | 75.74 |
190 | 174.3 | 172.2 | 17410 | 80.57 |
200 | 180.7 | 181.3 | 19190 | 85.38 |
220 | 192.1 | 199.1 | 22920 | 94.92 |
240 | 202.1 | 216.2 | 26860 | 104.3 |
260 | 210.7 | 232.8 | 30990 | 113.6 |
280 | 218.1 | 248.7 | 35280 | 122.7 |
298.15 | 224.0 | 262.5 | 39290 | 130.7 |
300 | 224.5 | 263.9 | 39710 | 131.6 |
320 | 230.1 | 278.6 | 44260 | 140.3 |
340 | 234.9 | 292.7 | 48910 | 148.8 |
350 | 237.1 | 299.5 | 51270 | 153.1 |
400 | 246.1 | 331.8 | 63360 | 173.4 |
500 | 257.7 | 388.1 | 88607 | 210.9 |
600 | 264.6 | 435.8 | 114700 | 244.5 |
700 | 269.3 | 476.9 | 141500 | 274.8 |
800 | 273.0 | 513.1 | 168600 | 302.4 |
900 | 276.1 | 545.5 | 196000 | 327.6 |
1000 | 279.1 | 574.7 | 223800 | 350.9 |
1100 | 281.9 | 601.4 | 251800 | 372.5 |
1200 | 284.7 | 626.1 | 280200 | 392.6 |
1300 | 287.3 | 649.0 | 308800 | 411.5 |
1400 | 289.9 | 670.4 | 337600 | 429.2 |
1500 | 292.3 | 690.4 | 366800 | 445.9 |
1600 | 294.5 | 709.4 | 396100 | 461.8 |
1700 | 296.6 | 727.3 | 425700 | 476.9 |
1800 | 298.6 | 744.3 | 455400 | 491.3 |
В отличие от магнитных явлений, приводящих к увеличению теплоемкости в узком температурном интервале, взаимодействие 4f электронной оболочки происходит в широком температурном интервале, что и вносит аномальный вклад в теплоемкость (аномалия Шоттки) [19]. Для того чтобы определить его величину, необходимо выделить решеточную теплоемкость. В первом приближении, считая, что теплоемкость твердого раствора Lu2O3 ∙ 2HfO2 незначительно отличается от решеточной теплоемкости Er2O3 ∙ 2HfO2, определили общий вид аномалии Шоттки (рис. 5). Как видно, наблюдается ярко выраженный максимум величиной ~ 15 Дж/(моль K) при температуре около 50 K и более пологий (~ 7 Дж/(моль K)) – при температуре ~ 210 K. Следует отметить, что общий вид кривой аномальной теплоемкости Er2O3 ∙ 2HfO2 согласуется с кривой теплоемкости Шоттки для полуторного оксида Er2O3 [20].
Рис. 5. Разность теплоемкостей твердых растворов Er2O3 ∙ 2HfO2 и Lu2O3 ∙ 2HfO2 [16].
Высокотемпературная теплоемкость твердого раствора Er2O3 ∙ 2HfO2 может быть также описана уравнением Майера — Келли (320-1310 K) [21]:
В работе [14] для измерений высокотемпературной теплоемкости в интервале 320–1300 K использовали установку синхронного термического анализа DSC 404 F1 Jupiter® фирмы Netzsch и был получен результат:
Cp, Дж/(моль K) = 269.5 + 0.0207984 ∙ T - 4662594.6/T2, R2 = 0.9999.
Сравнение полученных зависимостей показывает, что разность в результатах расчетов по этим уравнениям не превышает 2%, что ниже погрешностей каждой из калориметрических установок.
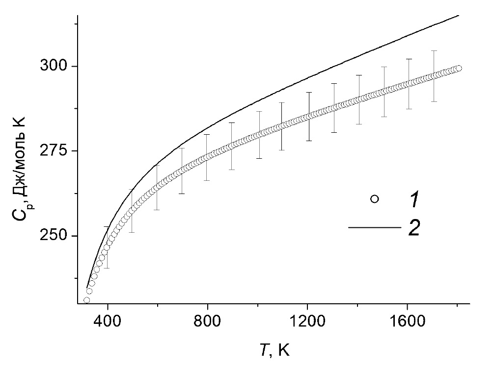
На рис. 6 приведены сравнение высокотемпературной теплоемкости твердого раствора Er2O3 ∙ 2HfO2 (1) и модельный расчет (2) из теплоемкостей простых оксидов Er2O3 [22] и HfO2 [23]. Как и для большинства гафнатов лантаноидов и твердых растворов, модельный расчет теплоемкости значительно отличается от экспериментальных значений, и ее использование в расчетах может привести к ошибочному результату, особенно при экстраполяции в область высоких температур.
Рис. 6. Высокотемпературная теплоемкость твердого раствора Er2O3 ∙ 2HfO2 (1) и модельный расчет (2) из теплоемкостей простых оксидов Er2O3 [22] и HfO2 [23].
ВЫВОДЫ
На синтезированном и идентифицированном методами РФА, химического анализа и электронной микроскопии образце твердого раствора Er2O3 ∙ 2HfO2 измерена изобарная теплоемкость в интервале температур 2.4–1807 K, выполнено сглаживание и рассчитаны термодинамические функции в указанной области температур. Проведена оценка вклада аномалии Шоттки в области 2–300 K, и показано наличие двух максимумов. Установлено, что использование модельного расчета теплоемкости Er2O3 ∙ 2HfO2 из простых оксидов по Нейману – Коппу дает завышенные значения. Аномалий, свидетельствующих о протекании структурных превращений, во всем изученном интервале температур не найдено.
ФИНАНСИРОВАНИЕ РАБОТЫ
Исследование выполнено за счет гранта Российского научного фонда № 18-13-00025, https:///rscf.ru/project/18-13-00025/, с использованием оборудования ЦКП ФМИ ИОНХ РАН.
КОНФЛИКТ ИНТЕРЕСОВ
Авторы заявляют об отсутствии конфликта интересов.
About the authors
А. В. Гуськов
Институт общей и неорганической химии им. Н.С. Курнакова РАН
Author for correspondence.
Email: a.gus@igic.ras.ru
Russian Federation, Москва
П. Г. Гагарин
Институт общей и неорганической химии им. Н.С. Курнакова РАН
Email: a.gus@igic.ras.ru
Russian Federation, Москва
В. Н. Гуськов
Институт общей и неорганической химии им. Н.С. Курнакова РАН
Email: a.gus@igic.ras.ru
Russian Federation, Москва
А. В. Хорошилов
Институт общей и неорганической химии им. Н.С. Курнакова РАН
Email: a.gus@igic.ras.ru
Russian Federation, Москва
К. С. Гавричев
Институт общей и неорганической химии им. Н.С. Курнакова РАН
Email: a.gus@igic.ras.ru
Russian Federation, Москва
References
- Andrievskaya E.R. // J. Europ. Ceram. Soc. 2008. V. 28. P. 2363. https://doi.org/10.1016/jeurceramsoc.2008.01.009
- Арсеньев П.А., Глушкова В.Б., Евдокимов А.А. и др. Соединения редкоземельных элементов. Цирконаты, гафнаты, ниобаты, танталаты, антимонаты. Москва: «Наука», 1985. 261 с.
- Гуськов А.В., Гагарин П.Г., Гуськов В.Н. и др. // Журн. физ. химии. 2022. Т. 96. С. 1230. https://doi.org/10.31857/S004445372209014X [Guskov A.V., Gagarin P.G., Guskоv V.N. et al. // Russ. J. Phys. Chem. A. 2022. V. 96. P. 1831. https://doi.org/10.1134/S0036022442209014X]
- Trubelja M.F., Stubican V.S. // J. Am. Ceram. Soc. 1988. V. 71. P. 662. https://doi.org/10.1111/j.1151-2916.1988.tb06385.x
- Duran P., Pascual C. // J. Mater. Sci. 1984. V. 19. P. 1178. https://doi.org/10.1007/bf01120027
- Cao X.Q., Vassen R., Stoever D. // J. Europ. Ceram. Soc. 2004. V. 24. P. 1. https://doi.org/10.1016/s0955-2219(03)00129-8
- Mehboob G., Liu M.-J., Xu T., Hussain S. et al. // Ceram. Int. 2019. V. 46. P. 8497. https: //doi.org/ 10.1016/j.ceramint.2019.12.20
- Padture N.P. // Science. 2002. V. 296. P. 280. https://doi.org/10.1126/science.1068609
- Wu Z., Hong D., Zhong X., Niu Y., Zheng X. // Ceram. Int. 2023. V. 49. P. 21133. https://doi.org/10.1016/j.ceramint.2023.03.280.
- Poerschke D.L., Barth T.L., Levi C.G. // Acta Mater. 2016. V. 120. P. 302. https://doi.org/10.1016/j.actamat.2016.08.077
- Poerschke D.L., Jackson R.W., Levi C.G. // Ann. ReV. Mater. Res. 2017. V. 47. P. 297. https://doi.org/10.1146/annurev-matsci-010917-105000
- Summers W.D., Poerschke D.L., Begley M.R., et al. // J. Am. Ceram. Soc. 2020. V. 103. P. 5196. https://doi.org/10.1111/jace.17187
- Fabrichnaya O., Seifert H.J. // J. Phase Eq. Diffus. 2010. V. 32. P. 2. https://doi.org/10.1007/s 11669-010-9815-4
- Guskov A.V., Gagarin P.G., Guskov V.N. et al. // Ceram. Int. 2021. V. 47. P. 28004. https://doi.org/ 10.1016/j.ceramint.2021.06.125
- https://analyzing-testing.netzsch.com/ru/pribory-resheniya/differenczialnaya- skaniruyushhaya-kalorimetriya-dsk-differenczialnyj-termicheskij-analiz-dta/dsc- 404-f1-pegasus
- Гуськов А.В., Гагарин П.Г., Гуськов В.Н. // Докл. РАН. Химия. Науки о материалах. 2021. Т. 498. С. 83. https://doi.org/31857.S2686953521050083
- Voskov A.L., Kutsenok I.B., Voronin G.F. // Calphad. 2018. V. 61. P. 50. https: //doi.org/10.1016/j.calphad.2018.02.001
- Voronin G.F., Kutsenok I.B. // J. Chem. Eng. Data. 2013. V. 58. P. 2083. https://doi.org/
- E.F. Westrum, Ir. // J. Therm. Anal. 1985. V. 30. P. 1209
- Gruber G.B., Chirico R.D., Westrum E.F., Jr. // J. Chem. Phys. 1982. V. 76. P. 4600.
- Maier C.G., Kelley K.K. // J. Am. Chem. Soc. 1932. V. 54. P. 3243.
- Konings R.J.M., Benes O., Kovacs A. et al. // J. Phys. Chem. Refer. Data. 2014. V. 43. P. 013101. https://doi.Org/10.1063/1.4825256
- Pankratz L.B. // U.S. Bureau of Mines Bulletin. 1982. V. 672. P. 509.
Supplementary files








