О связи температурного поведения намагниченности со структурой фаз Ауривиллиуса BIm+1FEm-3TI3O3m+3
- Authors: Ломанова Н.А.1, Ястребов С.Г.1
-
Affiliations:
- Физико-технический институт им. А.Ф. Иоффе РАН
- Issue: Vol 98, No 1 (2024)
- Pages: 26-32
- Section: THERMODYNAMICS AND MATERIAL SCIENCE
- Submitted: 19.07.2024
- Accepted: 19.07.2024
- Published: 19.07.2024
- URL: https://journals.rcsi.science/0044-4537/article/view/259778
- DOI: https://doi.org/10.31857/S0044453724010042
- EDN: https://elibrary.ru/SGXGIS
- ID: 259778
Cite item
Full Text
Abstract
Представлены результаты анализа температурного поведения намагниченности для соединений Bim+1Fem-3Ti3O3m+3 (m = 4, 5.5, 7, 8, 9). Измерения проводились в интервале температур 4.2–300 K. Показано, что для фаз с m = 4 и m > 4 соответственно простая и модифицированная логистические модели Хилла точно совпадают с экспериментальным температурным поведением их магнитных свойств. Выявлена связь между структурными особенностями фаз Ауривиллиуса и характером их профилей намагниченности. Рассмотренные модели представляются перспективными для прогнозирования свойств новых материалов на их основе при разработке перспективных магнитных сред.
Full Text
О связи температурного поведения намагниченности со структурой фаз ауривиллиуса Bim+1Fem-3Ti3O3m+31
Материалы на основе фаз Ауривиллиуса Bim+1Fem-3Ti3O3m+3 в настоящее время являются перспективными для применения как мультиферроики, бессвинцовые пьезоэлектрики, материалы для фотовольтаики, каталитических систем [1–9]. В настоящее время большая часть исследований фаз Ауривиллиуса мотивирована большим потенциалом этих материалов для применения в устройствах энергонезависимого хранения данных, сенсоров и многих других (см. обзор [1] и ссылки в нем). Актуальность этих исследований связана с тем, что материалов, которые проявляют мультиферроидные свойства при комнатной температуре и являются подходящими кандидатами для применения в будущих устройствах, по-прежнему крайне мало. Разработка новых материалов с устойчивым магнитным откликом при комнатной температуре является поэтому весьма актуальной задачей.
Элементарная ячейка соединений Bim+1Fem-3Ti3O3m+3 представляет собой висмут-кислородные слои (Bi2O2)2+, чередующиеся с перовскитоподобными блоками (Bim+1Fem-3Ti3O3m+1)2- [1]. Перовскитоподобные блоки имеют от 3 до 9 слоев, от количества которых (m) зависит характер распределения ионов Fe3+ в структуре. В частности, для малослойных соединений с m < 5 характерен упорядоченный тип этого распределения [10, 11]. Величина m является дробной, если чередуются блоки с разным числом слоев.
В структуре многослойных фаз Ауривиллиуса (m > 7) перовскитподобный блок приближается по своим параметрам и составу к мультиферроику ортоферриту висмута (BiFeO3) [1, 11], поэтому они являются материалами, обладающими магнитным порядком вблизи комнатной температуры [4, 12–14]. Предполагается, что малослойные фазы Ауривиллиуса к таким материалам не относятся [15–17].
Теоретических моделей для описания температурного поведения намагниченности материалов на основе соединений Bim+1Fem-3Ti3O3m+3 в литературе практически не представлено, за исключением четырехслойной фазы Bi5FeTi3O15 (m = 4) [16–18]. Следует отметить, что модель намагничивания из работы [16] опирается на идеализированный случай структуры фазы Ауривиллиуса и неудовлетворительно описывает экспериментальные данные, поскольку предсказывает значительное падение намагниченности Bi5FeTi3O15 около 20 K, в то время как в экспериментах [4, 13, 15] наблюдается ее постепенное уменьшение вплоть до комнатных температур. Ранее нами предложена гипотеза, согласно которой такой характер намагничивания Bi5FeTi3O15 связан со спиновым кантингом, проявляющимся вследствие эффекта Дзялошинского — Мория [18]. Моделей намагничивания соединений с m > 4 в литературе не представлено.
Целью работы является исследование температурной зависимости намагниченности материалов на основе фаз Ауривиллиуса Bim+1Fem-3Ti3O3m+3. Для сравнения будет предложена модель количественного описания этой зависимости для фаз с m = 4, 5.5, 7, 8, 9. Отметим, что изучение температурного поведения намагниченности важно для понимания процессов, происходящих в этих материалах, поскольку оно открывает возможность для управления намагниченностью до температур, превышающих комнатную.
Экспериментальная часть
Образцы соединений Bim+1Fem-3Ti3O3m+3 (m = 4, 5.5, 7, 8 и 9) синтезированы методом твердофазных химических реакций. Подробно технология синтеза и характеризация образцов представлены в предыдущих работах [11, 18].
Фазовый состав определялся на дифрактометре Rigaku SmartLab 3 (CuKα-излучение). Уточнение рентгеновской дифрактограммы методом фундаментальных параметров свидетельствует о хорошем соответствии профиля линии данным эксперимента (рис. 1). Приведенная на рис. 2 зависимость параметра с ромбической элементарной ячейки от величины m показывает, что при комнатной температуре структурные параметры полученных материалов согласуются с данными, известными из литературы.
Рис. 1. Рентгеновские дифрактограммы образцов соединений Bim+1Fem-3Ti3O3m+3 с различным m.
Рис. 2. Зависимость параметра элементарной ячейки с соединений Bim+1Fem-3Ti3O3m+3 от числа слоев m.
Магнитные измерения проводились на вибрационном магнитометре системы PPMS (Quantum Design) в диапазоне температур 4.2–300 K. Результат анализа температурных зависимостей удельной FC/ZFC намагниченности M, измеренных при внешнем поле H = 500 Oe, приведен далее.
ОБСУЖДЕНИЕ РЕЗУЛЬТАТОВ
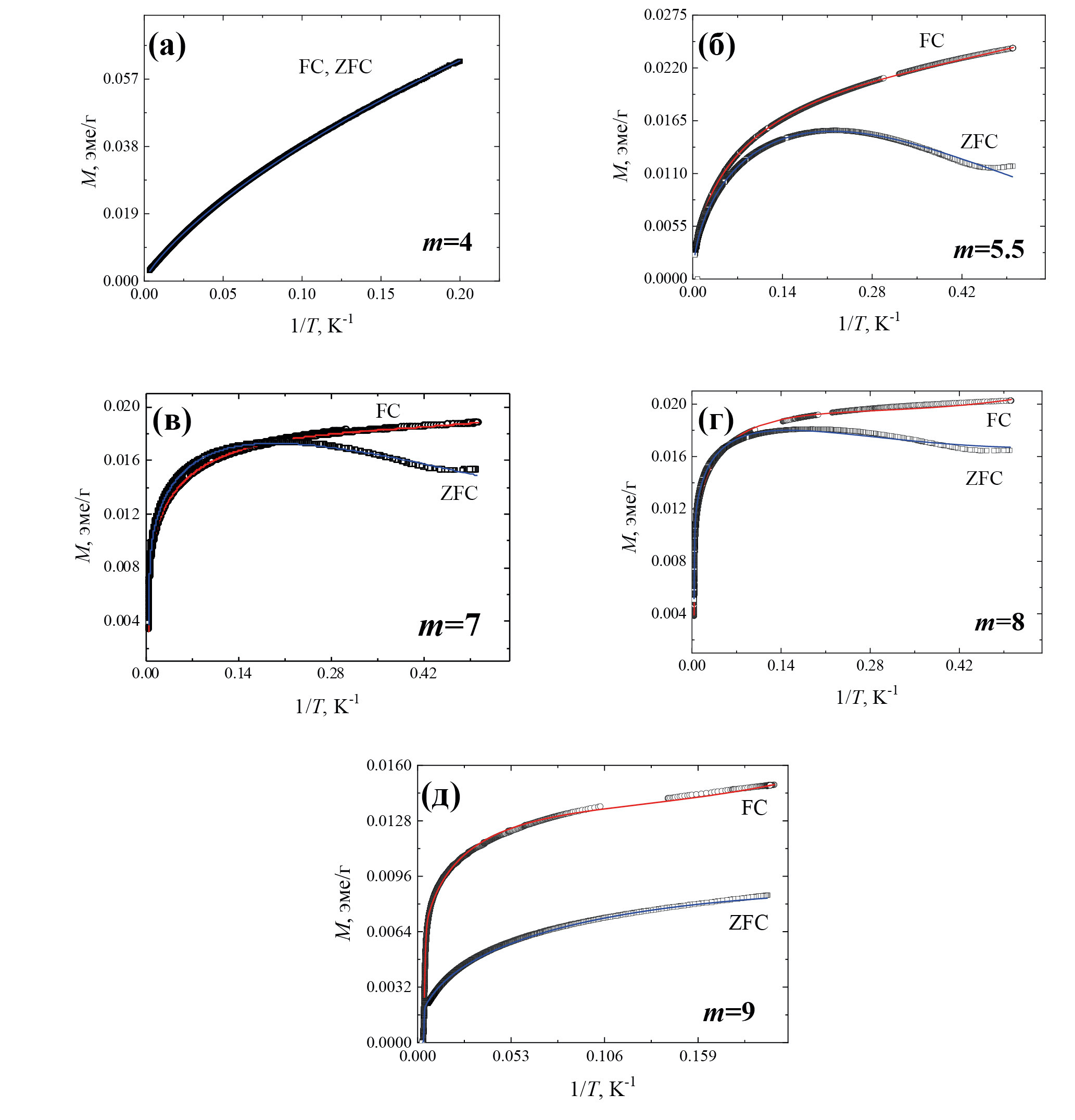
Экспериментальные температурные зависимости намагниченности материалов на основе соединений Bim+1Fem-3Ti3O3m+3 представлены на рис. 3.
Рис. 3. Зависимости намагниченности М от обратной температуры соединений Bim+1Fem-3Ti3O3m+3 (m = 4, 5.5, 7, 8 и 9). Сплошные линии — аппроксимация с использованием выражений (1) и (3).
Для описания экспериментальных зависимостей намагниченности от обратной температуры М(Т-1) мы используем формализм логистических (сигмоидных) функций, которые стандартно появляются в результате решения логистического дифференциального уравнения первого порядка [19]. В общем случае правая часть такого уравнения неизвестна и, для определенности, требует выполнения теоретических оценок. Классическая теория протекания (перколяции) дает схожие по форме зависимости [20]. При этом в качестве функции, т.е. измеряемой величины, часто выступает проводимость материала, представляющего собой смесь зерен проводящей и непроводящей сред, а в качестве аргумента — объемная доля проводящей фазы. При малых значениях аргумента проводимость растет с его ростом, далее наступает участок насыщения и затем не меняется. Точке перегиба на зависимости соответствует так называемый порог протекания. В качестве аналога электропроводности может выступать намагниченность поликристаллического материала, который представляет собой смесь магнитных и немагнитных зерен. В работе [16] показано, что намагниченность фаз Ауривиллиуса может носить перколяционный характер в функции температуры.
Аппроксимация экспериментальных кривых намагниченности от обратной температуры М(Т-1) выполнена логистической функцией Хилла [21] (1), которую мы использовали для описания процесса взаимодействия связанных магнитных моментов друг с другом.
,
где MH – намагниченность, , T — абсолютная температура, n — коэффициент Хилла, n — максимальное значение, достигаемое MH с ростом x, k — константа, характеризующая обратную температуру, при которой MH достигает половины от максимального значения.
Из рис. 3а видно, что только для фазы Bi5FeTi3O15 (m = 4) кривые FC и ZFC совпадают. При этом зависимость воспроизводит сигмоидную только при малых значениях аргумента. Для остальных материалов кривые FC близки к сигмоидным, а ход зависимости ZFC от обратной температуры совпадает с сигмоидой только при малых значения аргумента, после чего наступает участок спада с последующим выходом на насыщение (рис. 3б–г). Исключение представляет также фаза с m = 9 (рис. 3г), для которой оба типа зависимостей близки к ходу логистической функции.
Для всех материалов, кроме фазы Ауривиллиуса с m = 4, схожесть поведения намагниченности FC (а в случае фазы с m = 9 – и ZFC) свидетельствует в пользу перколяционной модели поведения кривой М(Т-1). При этом зависимости проходят через порог протекания. Для четырехслойной фазы Ауривиллиуса порог протекания не достигается. Подобное поведение можно связать с ослабляющим влиянием температуры на эффект спинового кантинга (эффект Дзялошинского — Мория). При этом насыщение не достигается. Кривые М(Т-1) остальных фаз Ауривиллиуса выходят на насыщение. Это означает, что система спинов с понижением температуры, приходя в состояние с минимальной энергией, реализует оптимальное для данной конфигурации значение намагниченности. Можно считать, что зависимости, измеренные в режимах FC и ZFC, характеризуют влияние остаточной намагниченности на проявление эффекта Дзялошинского — Мория (ДМ) в зависимости от условий эксперимента. Этот эффект зависит от m, как следует из рис. 3.
Как известно, количественно поведение магнитных моментов можно описать законом Нееля — Брауна — Аррениуса [22]. Суммарный эффект действий механизмов Аррениуса и Хилла на общее число магнитных моментов можно рассчитать по теореме вероятностей как произведение этих двух функций. Так, для аппроксимации FC/ZFC кривых М(Т-1) фаз Ауривиллиуса с m > 4, приведенных на рис. 3б–д, было использовано произведение M = MHAc, функции Хилла (1) на функцию Аррениуса и введение в последнюю квадратичной добавки [23], в результате чего получено выражение:
,
где , T – температура (K), E — энергия активации (K-1), E1 – энергия кооперативного взаимодействия (K-1).
По результатам авторов работы [24], нелинейность показателя в функции Аррениуса связана с динамикой движения и температурно зависимым энергетическим барьером, возникающим из-за кооперативных эффектов при низких температурах. Приведенное ниже описание температурных зависимостей намагниченности фаз Ауривиллиуса с m > 4 учитывает вклад кооперативного взаимодействия и поведение невзаимодействующих магнитных моментов в системе и, соответственно, описывается комбинацией выражением (3). В данном случае предполагается, что нелинейный показатель в выражении (3) отражает нелинейную динамику магнитных моментов при изменении температуры.
Как можно видеть из рис. 3, теоретические зависимости, построенные с учетом выражений (2) и (3), имеют хорошее соответствие с экспериментальными данными для всех фаз Ауривиллиуса. Параметры функций приведены в таблице 1. Некоторое расхождение экспериментальной и теоретической кривых можно объяснить незначительным отличием предложенной модели от реальной физической картины в поликристаллическом образце.
Таблица 1. Параметры модифицированной функции Хилла
m | ν, emu/g | n | k, K1/n | m | dE, K | dE1, K2 | ||||||
FC | ZFC | FC | ZFC | FC | ZFC | FC | ZFC | FC | ZFC | FC | ZFC | |
4 | - | 0.409 | - | 0.7990 | - | 1.720 | - | - | - | - | - | - |
5.5 | 0.051 | 0.054 | 0.94 | 1.0239 | 0.0007 | 0.00025 | -0.477 | -0.526 | 1.369 | 1.733 | -1.076 | 1.5795 |
7 | 0.031 | 0.034 | 4.8 | 4.76 | 0.004 | 0.0034 | -0.247 | -0.253 | 1.049 | 1.336 | -0.776 | -0.097 |
8 | 0.035 | 0.032 | 7.143 | 6.987 | 0.004 | 0.003 | -0.223 | -0.198 | 1.397 | 1.628 | -1.287 | -1.1 |
9 | 0.037 | 0.020 | 10.703 | 37.66 | 0.004 | 0.004 | -0.312 | -0.413 | 3.889 | 0.443 | -9.156 | 3.161 |
Для описания особенностей намагничивания соединений Bim+1Fem-3Ti3O3m+3 построены зависимости параметров модифицированной функции Хилла (1) от числа слоев m (рис. 4а). Зависимости коэффициента Хилла n и максимального значения намагниченности í, достигаемого величиной MH (см. выражение (2), таблица 1) от m, приведены на рис. 4а. В общем случае значение n характеризует резкость падения FC/ZFC намагниченности с ростом температуры, и чем меньше n, тем слабее падают кривые М(Т-1) вследствие того, что в системе больше несвязанных магнитных моментов.
Рис. 4. Зависимости параметров n и n модифицированной функции Хилла (1) от числа слоев m (a), зависимость ZFC намагниченности MRT, измеренной при комнатной температуре, от объема элементарной ячейки (V) соединений Bim+1Fem-3Ti3O3m+3 (б).
Следует отметить, что зависимости n(m) и n (m) коррелируют с данными работ [10, 11, 14] о характере распределения ионов железа в структуре фаз Ауривиллиуса. Значение n минимально для соединения Bi5FeTi3O15 (m = 4), имеющего упорядоченную локализацию ионов железа в структуре с ближним антиферромагнитным взаимодействием между ними. Величина n < 1 этого материала указывает на низкую кооперативность. Можно предполагать, что в поликристаллическом материале на основе Bi5FeTi3O15 меньше связанных магнитных моментов, которые дают вклад в магнетизм.
При m > 5.5 значение n резко возрастает. Для многослойных фаз Ауривиллиуса (m > 5) характерно наличие дальнего магнитного порядка [14]. Как определено в [11], распределение железа в структуре этих соединений является менее упорядоченным и при m = 9 ионы железа статистически распределяются по структурным позициям в перовскитоподобном блоке. В соответствии с этим в магнетизме многослойных фаз Ауривиллиуса участвует большее количество связанных магнитных моментов, и оно растет с увеличением m. При этом переменнослойность структуры фаз Ауривиллиуса, по-видимому, не сказывается на характере их намагничивания, т.к. параметры модели для фазы с m = 5.5 укладываются в общую тенденцию.
Таким образом, зависимости n(m) и n(m) указывают, что при m > 5.5 в материалах растет количество доступных для вклада в магнетизм магнитных моментов и при этом они быстрее развязываются с ростом температуры. Данная тенденция согласуется с характером распределения магнитных ионов в структуре, определенным в работе [14]. При m = 7–9 величина n > 1, что свидетельствует о положительном кооперативном взаимодействии. Рост величины n при увеличении m связан с повышением вклада кооперативного взаимодействия магнитных моментов в суммарный магнитный отклик материалов.
На рис. 4б показана зависимость ZFC намагниченности (MRT), измеренной при комнатной температуре, от параметров структуры соединений Bim+1Fem-3Ti3O3m+3 (объема элементарной ячейки, V). Из рисунка видно, что функция MRT(V) возрастает при увеличении V и достигает максимума при значениях m = 7 – 8. С дальнейшим ростом V и m график резко убывает. Как отмечалось выше, в этой области составов изменяется характер распределения ионов Fe3+ в структуре фаз Ауривиллиуса, который при m = 9 становится статистическим. Видно, что для девятислойной фазы Ауривиллиуса (m = 9) величина MRT значительно ниже значений, измеренных для остальных фаз. Поскольку с ростом m растет концентрация ионов железа в перовскитоподобных слоях, возрастает и доля ориентированных спинов, принадлежащих треугольной конфигурации катионов железа (два катиона железа принадлежат одному слою и один катион — соседнему). Как показано [16, 18], такая конфигурация спинов приводит к ослаблению суперобменного взаимодействия ионов железа в Fe3+ – O2- – Fe3+. Этот эффект, в свою очередь, по-видимому, приводит к уменьшению намагниченности материала с наибольшим содержанием железа, фазы Ауривиллиуса с m = 9.
Выполненный анализ позволяет прогнозировать характер намагничивания материалов на основе фаз Ауривиллиуса при изменении температуры и условий проведения эксперимента.
Таким образом, выполнен анализ температурного поведения намагниченности материалов на основе фаз Ауривиллиуса Bim+1Fem-3Ti3O3m+3 (m = 4, 5.5, 7, 8, 9) в диапазоне 4.2–300 K. Определено, что форма кривых намагниченности от обратной температуры имеет вид логистической кривой. Для фаз с числом перовскитоподобных слоев m = 4 и m > 4 ход этих зависимостей корректно описывается простой и модифицированной моделями Хилла соответственно. При низких температурах значения намагниченности максимальны, с ростом температуры они падают, что свидетельствует о разупорядочении магнитных моментов с ростом температуры. Зависимость намагниченности, измеренной при комнатной температуре, от объема элементарной ячейки соединений Bim+1Fem-3Ti3O3m+3 представляет собой асимметричный контур с максимумом в диапазоне 7 < m < 8. Параметры представленных зависимостей согласуются с характером распределения катионов в структуре фаз Ауривиллиуса.
Представленные результаты позволяют количественно описать изменение температурного поведения намагниченности фаз Ауривиллиуса с различным числом перовскитоподобных слоев. Описанные модели могут быть использованы с целью прогнозирования магнитных свойств в материалах на основе фаз Ауривиллиуса различного состава, при вариации как метода и условий синтеза, так и измерения намагниченности.
ФИНАНСИРОВАНИЕ РАБОТЫ
Исследование выполнено за счет гранта Российского научного фонда № 23-23-00052, https://rscf. ru/project/23-23-00052/.
КОНФЛИКТ ИНТЕРЕСОВ
Авторы заявляют об отсутствии конфликта интересов.
Авторы благодарят М.П. Волкова за магнитометрию образцов.
1 Материалы XV симпозиума с международным участием. Новосибирск, 3–7 июля 2023 г.
About the authors
Н. А. Ломанова
Физико-технический институт им. А.Ф. Иоффе РАН
Author for correspondence.
Email: natus@mail.ioffe.ru
Russian Federation, Санкт-Петербург
С. Г. Ястребов
Физико-технический институт им. А.Ф. Иоффе РАН
Email: yass071@gmail.com
Russian Federation, Санкт-Петербург
References
- Sun S., Yin X. // Crystals. 2021. V. 11. No 23. P. 1. https://doi.org/10.3390/cryst11010023
- Keeney L., Smith R.J., Palizdar M. et al. // Adv. Electron. Mater. 2020. V. 6. No 3. P. 1901264. https://doi.org/10.1002/aelm.201901264
- Ломанова Н.А. // Журн. неорган. химии. 2022. Т. 67. № 6. С. 1–14. [Lomanova N.A. // Russ. J. Inorg. Chem. 2022. V. 67. № 6. P. 741–753. https://doi.org/10.1134/S0036023622060146]
- Sun Sh., Liu Ch., Wang G. et al. // J. Am. Ceram. Soc. 2016. V. 99. No 9. P. 3033–3038. https://doi.org/10.1111/jace.14312
- Del Carmen Rodríguez Aranda Ma., G. Rodríguez-Vázquez Á., Salazar-Kuri U. et al. // J. Appl. Phys. 2018. V. 123. 084101. https://doi.org/10.1063/1.5019291
- Veenachary V., Ramana E.V., Babu S.N. et al. // Crystals. 2023. V. 13. No 3. Р. 426. https://doi.org/10.3390/cryst13030426
- Subramani S. // Coord. Chem. Rev. 2023. V. 479. 215010. https://doi.org/10.1016/j.ccr.2022.215010.
- Čontala A., Daneu N., Gupta S. // Nanoscale Adv. 2023. V. 5. P. 3005–3017. https://doi.org/10.1039/D2NA00741J
- Abreu Y.G., Barranco A.P., Faloh-Gandarill J. et al. / J. Alloys Compd. 2023. V. 947. No 1. 169538. https://doi.org/10.1016/j.jallcom.2023.169538
- Giddings A.T., Stennett M.C., Reid D.P. et al. // J. Solid State Chem. 2011. V. 184. P. 252–263. https://doi.org/10.1016/j.jssc.2010.09.031
- Lomanova N.A., Semenov V.G., Panchuk V.V. et al. // J. Alloys Compd. 2012. V. 528. Р. 103 –108. https://doi.org/10.1016/j.jallcom.2012.03.040
- Jartych E., Pikula T., Mazurek M. et al. // J. Magn. Magn. Mater. 2013. V. 342. P. 27–34. https://doi.org/10.1016/j.jmmm.2013.04.046
- Lomanova N.A., Pleshakov I.V., Volkov M.P., Gusarov V.V. // Mater. Sci. Eng., B: Adv. Funct. Solid-State Mater. 2016. V. 214. Р. 51. https://doi.org/10.1016/j.mseb.2016.08.001
- Huang Y., Wang G., Sun Sh. et al. // Sci. Rep. 2015. No 5. Art. 15261. https://doi.org/10.1038/srep15261
- Pikula T., Dzik J., Guzdek P. et al. // Ceram. Int. 2017. V. 43. No 14. P. 11442-11449. https://doi.org/10.1016/j.ceramint.2017.06.008
- Birenbaum A.Y., Ederer C. // Phys. Rev. B. 2014. V. 90. P. 214109. https://doi.org/10.1103/PhysRevB.90.21410
- Birenbaum A.Y., Scaramucci A., Ederer C. // Phys. Rev. B. 2017. V. 95. No 10. Р. 104419 https://doi.org/10.1103/PhysRevB.95.104419
- Ястребов С.Г., Ломанова Н.А. // Физика твердого тела. 2022. Т. 64. No 2. С. 207–211. /Yastrebov S.G., Lomanova N.A. // Phys. Solid State. 2022. V. 64. No 2. P. 201–205. https://doi.org/10.21883/PSS.2022.02.52968.228
- Дроздюк А. Логистическая кривая. Торонто: Choven, 2019. 270 с.
- Brauer F., Castillo-Chavez C. Mathematical Models in Population Biology and Epidemiology. Springer: New York. 2012.
- Focke W.W., van der Westhuizen I., Musee N. et al. // Sci. Rep. 2017. V. 7. P. 2234. https://doi.org/10.1038/s41598-017-02474-w
- Stier M., Neumann A., Philippi-Kobs A. et al. // J. Magn. Magnet. Mater. 2018. V. 447. P. 96–100. https://doi.org/10.1016/j.jmmm.2017.09.068
- Silvius J.R., McElhaney R.N. // J. Theor. Biol. 1981. V. 7. No 88(1). P. 135–152. https://doi.org/10.1016/0022-5193(81)90332-5
- Lemes N.H.T., Simpao V.A., dos Santos J.P.C. // Arxiv. 2016 https://doi.org/10.48550/arXiv.1603.06768
- Морозов М.И., Гусаров В.В. // Неорган. матер. 2002. Т. 38. № 7. С. 867–874 (Morozov M.I., Gusarov V.V. // Inorg. Mater. 2002. V. 38. No 7. P. 723. https://doi.org/10.1023/A:1016252727831)
- Zheng Y., Wu X., Zhang Y. et al. // Acta Cryst. 2020. C. 76. P. 454–457. https://doi.org/10.1107/S2053229620005045
- García-Guaderrama M., Fuentes-Cobas L., Montero-Cabrera M.E. et al. // Integr. Ferroelectrics. 2005. V. 71. No 1. P. 233–239. https://doi.org/10.1080/10584580590965401
- Patri S.K., Choudhary R.N.P., Samantaray B.K. // J. Alloys Compds. 2008. V. 459. P. 333–337. https://doi.org/10.1016/j.jallcom.2007.04.240
Supplementary files






