Effect of the Pore Structure of Nanosilicas Decorated with Cobalt and Cerium Oxides on Catalytic Activity in the Selective Oxidation of Carbon Monoxide
- Authors: Rostovshchikova T.N.1, Eurov D.A.2, Kurdyukov D.A.2, Tomkovich M.V.2, Yagovkina M.A.2, Ivanin I.A.1, Maslakov K.I.1, Udalova O.V.3, Shilina M.I.1
- 
							Affiliations: 
							- Faculty of Chemistry, Lomonosov Moscow State University
- Ioffe Institute, Russian Academy of Sciences
- Semenov Federal Research Center for Chemical Physics, Russian Academy of Sciences
 
- Issue: Vol 97, No 9 (2023)
- Pages: 1312-1323
- Section: PHYSICAL CHEMISTRY OF NANOCLUSTERS, SUPRAMOLECULAR STRUCTURES, AND NANOMATERIALS
- Submitted: 15.10.2023
- Published: 01.09.2023
- URL: https://journals.rcsi.science/0044-4537/article/view/136664
- DOI: https://doi.org/10.31857/S0044453723090212
- EDN: https://elibrary.ru/XPMPKM
- ID: 136664
Cite item
Full Text
Abstract
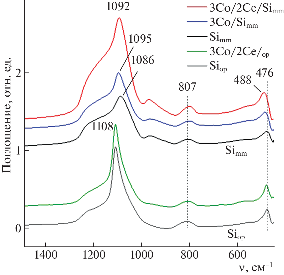
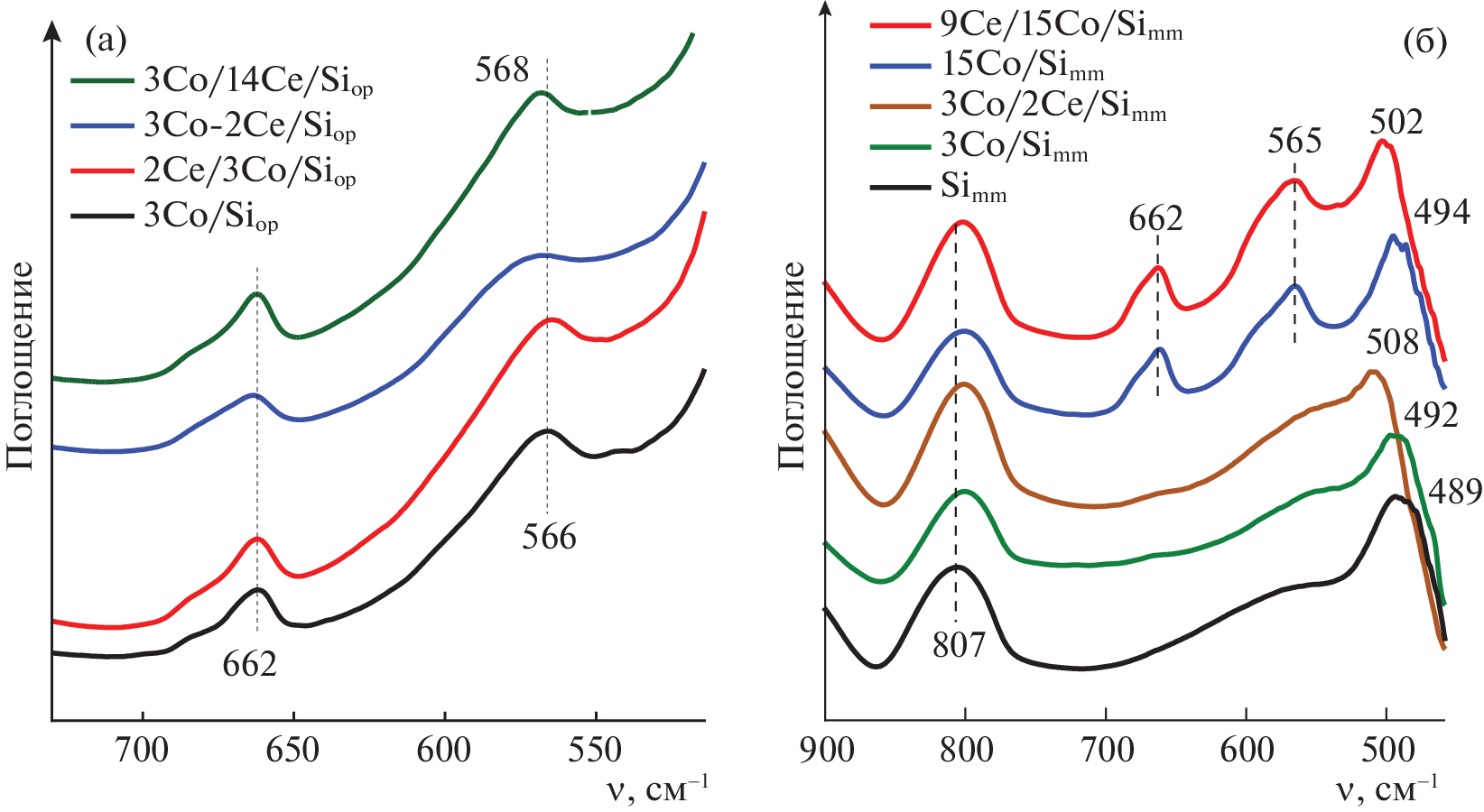
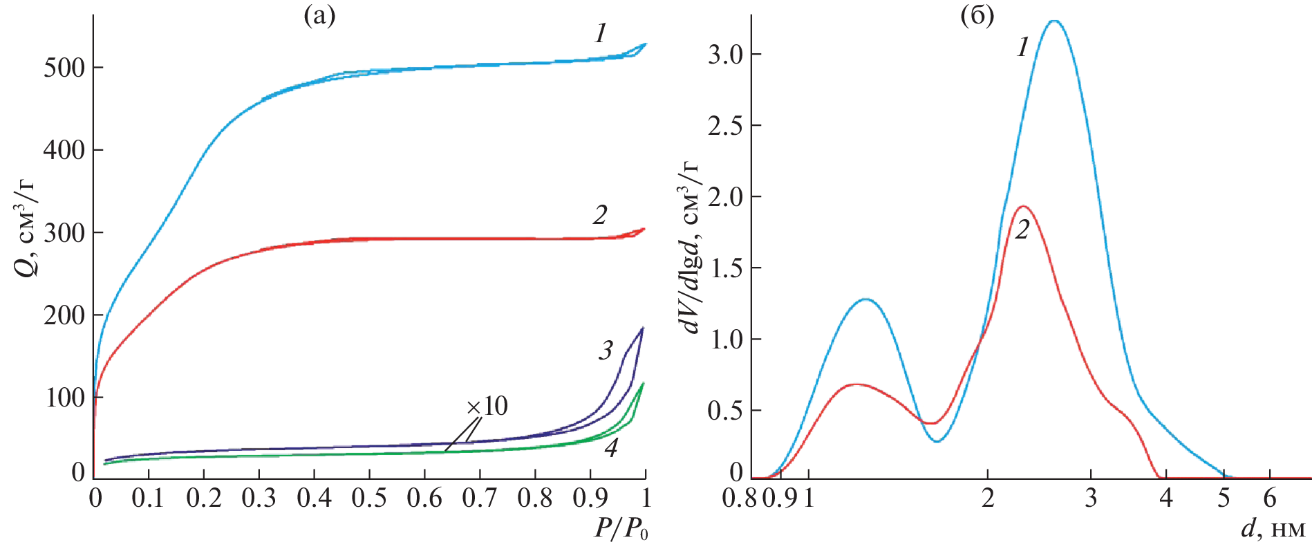
Two types of nanosilicas with different pore structures are synthesized and decorated via impregnation with cobalt and cerium oxides. Meso–microporous spherical silica particles with thin walls of SiO2 nanochannels having specific surface area and pore volume of up to 1400 m2/g and 0.8 cm3/g, respectively, are used. Macroporous three-dimensionally ordered structures based on SiO2 (so-called synthetic opals) consisting of close-packed submicron spherical silica particles with respective porosity characteristics of 11 m2/g and 0.2 cm3/g are also used. The synthesized materials are characterized via low-temperature nitrogen adsorption, X-ray diffraction, SEM, XPS, and Fourier transform IR spectroscopy, and tested as catalysts for the selective oxidation of CO in excess H2 (CO-PROX). The effect of silica, the ratio of introduced oxides, and the order of their introduction on the structure and catalytic properties of Co–Ce/SiO2 are revealed. The catalytic behavior of the synthesized materials is determined from the specificity of interactions among the metal oxides and with the silica surface.
About the authors
T. N. Rostovshchikova
Faculty of Chemistry, Lomonosov Moscow State University
														Email: rtn@kinet.chem.msu.ru
				                					                																			                												                								119991, Moscow, Russia						
D. A. Eurov
Ioffe Institute, Russian Academy of Sciences
														Email: rtn@kinet.chem.msu.ru
				                					                																			                												                								194021, St. Petersburg, Russia						
D. A. Kurdyukov
Ioffe Institute, Russian Academy of Sciences
														Email: rtn@kinet.chem.msu.ru
				                					                																			                												                								194021, St. Petersburg, Russia						
M. V. Tomkovich
Ioffe Institute, Russian Academy of Sciences
														Email: rtn@kinet.chem.msu.ru
				                					                																			                												                								194021, St. Petersburg, Russia						
M. A. Yagovkina
Ioffe Institute, Russian Academy of Sciences
														Email: rtn@kinet.chem.msu.ru
				                					                																			                												                								194021, St. Petersburg, Russia						
I. A. Ivanin
Faculty of Chemistry, Lomonosov Moscow State University
														Email: rtn@kinet.chem.msu.ru
				                					                																			                												                								119991, Moscow, Russia						
K. I. Maslakov
Faculty of Chemistry, Lomonosov Moscow State University
														Email: rtn@kinet.chem.msu.ru
				                					                																			                												                								119991, Moscow, Russia						
O. V. Udalova
Semenov Federal Research Center for Chemical Physics, Russian Academy of Sciences
														Email: rtn@kinet.chem.msu.ru
				                					                																			                												                								119991, Moscow, Russia						
M. I. Shilina
Faculty of Chemistry, Lomonosov Moscow State University
							Author for correspondence.
							Email: rtn@kinet.chem.msu.ru
				                					                																			                												                								119991, Moscow, Russia						
References
- Farrando-Perez J., Lopez C., Silvestre-Albero J., Gallego-Gómez F. // J. Phys. Chem. 2018. V. 122. P. 22008. https://doi.org/10.1021/acs.jpcc.8b07278
- Meletov K.P., Efimchenko V.S., Korotkova M.A. et al. // Int. J. Hydrogen Energy. 2023. https://doi.org/10.1016/j.ijhydene.2022.12.297
- Deepanjali Gautam K., Ullas A.V. // Mater. Today: Proc. 2023. V. 74. Part 4. P. 713. https://doi.org/10.1016/j.matpr.2022.10.281
- Walcarius A., Mercier L. // J. Mater. Chem. 2010. V. 20. P. 4478–4511. https://doi.org/10.1039/B924316J
- Qiang T., Zhu R. // Sci. Total Environ. 2022. V. 819. P. 152929. https://doi.org/10.1016/j.scitotenv.2022.152929
- He Q., Shi J. // Adv. Mater. 2014. V. 26. P. 91. https://doi.org/10.1002/adma.201303123
- Gisbert-Garzarán M., Lozano D., Matsumoto K. et al. // ACS Appl. Mater. Interfaces. 2021. V. 13. P. 9656–9666.
- Majeed S., Nawaz R., Rasheed T., Bilal M. Micro and nano technologies, nanomaterials for biocatalysis, Chapter 6 – Silica-based nanomaterials in biocatalysis, Elsevier, 2022. P. 171.
- Muñoz-Pina S., Amorós P., El Haskouri J. et al. // Nanomaterials. 2020. V. 10. P. 1927. https://doi.org/10.3390/nano10101927
- Kumar A., Madden D.G., Lusi M. et al. // Angew. Chem. Int. Ed. Engl. 2015. V. 54. P. 14372. https://doi.org/10.1002/anie.201506952
- Zhao D., Wan Y., Zhou W. Ordered Mesoporous Materials. Wiley, 2013. P. 523.
- Huirache-Acuña R., Nava R., Peza-Ledesma C.L. et al. // Materials. 2013. V. 6. P. 4139. https://doi.org/10.3390/ma6094139
- Verma P., Kuwahara Y., Mori K. et al. // Nanoscale. 2020. V. 12. P. 11333. https://doi.org/10.1039/D0NR00732C
- Ribeiro P.C., Kiminami R.H.G.A., Costa A.C.F.M. // Ceram. 2014. V. 40. P. 2035. https://doi.org/10.1016/j.ceramint.2013.07.115
- Xantini Z., Erasmus E. // Polyhedron. 2021. V. 193 P. 114769. https://doi.org/10.1016/j.poly.2020.114769
- Chong C.C., Cheng Y.W., Bahari M.B. et al. // Int. J. Hydrog. Energy. 2021. V. 46. P. 24687. https://doi.org/10.1016/j.ijhydene.2020.01.086
- Liu Y., Wang Z., Zhao W. et al. // Chem. Eng. J. 2023. V. 455. P. 140622. https://doi.org/10.1016/j.cej.2022.140622
- Jiang X., Tang X., Tang L. et al. // Ceram. 2019. V 45. P. 7673. https://doi.org/10.1016/j.ceramint.2019.01.067
- Еуров Д.А., Кириленко Д.А., Томкович М.В. и др. // Неорган. материалы. 2022. Т. 58. № 12. С. 1404. https://doi.org/10.31857/S0002337X22120077
- Курдюков Д.А., Певцов А.Б., Смирнов А.Н. и др. // ФТТ. 2016. Т. 58. № 6. С. 1176. https://doi.org/10.1134/S1063783416060275
- Трофимова Е.Ю., Алексенский А.Е., Грудинкин С.А. и др. // Коллоид. журн. 2011. Т. 73. № 4. С. 535. https://doi.org/10.1134/S1061933X11040156
- Еуров Д.А., Кириленко Д.А., Томкович М.В. и др. // Неорган. материалы. 2021. Т. 57. № 9. С. 954. https://doi.org/10.31857/S0002337X21090050
- Eurov D.A., Rostovshchikova T.N., Shilina M.I. et al. // Appl. Surf. Sci. 2022. V. 579. P. 152121. https://doi.org/0.1016/j.apsusc.2021.152121
- Freund H.-J., Meijer G., Scheffler M. et al. // Angew. Chem. Int. Ed. 2011. V. 50. P. 10064. https://doi.org/10.1002/anie.201101378
- Royer S., Duprez D. // ChemCatChem. 2011. V. 3. № 1. P. 24. https://doi.org/10.1002/cctc.201000378
- Jing P., Gong X., Liu B., Zhang J. // Catal. Sci. Technol. 2020. № 10. P. 919. https://doi.org/10.1039/C9CY02073J
- Marino F., Descorme C., Duprez D. // Appl. Catal. B. 2005. V. 58. P. 175. https://doi.org/10.1016/j.apcatb.2004.12.008
- Arango-Diaz A., Cecilia J.A., Marrero-Jerez J. et al. // Ceram. 2016. V. 46. P. 7462. https://doi.org/10.1016/j.ceramint.2016.01.151
- Gawade P., Bayram B., Alexander A.-M.C., Ozkan U.S. // Appl. Catal. B. 2012. V. 128. P. 21. https://doi.org/10.1016/j.apcatb.2012.06.032
- Zhang L., Zhang L., Xu G. et al. // New J. Chem. 2017. V. 41. P. 13418. https://doi.org/10.1039/c7nj02542d
- Shilina M., Udalova O., Krotova I. et al. // ChemCatChem. 2020. V. 12. P. 2556. https://doi.org/10.1002/cctc.201902063
- Ivanin I.A., Krotova I.N., Udalova O.V. et al. // Kin. Cat. 2021. V. 62. P. 798. https://doi.org/10.1134/S0023158421060082
- Kaplin I.Y., Lokteva E.S., Maslakov K.I. et al. // Appl. Sur. Sci. 2022. V. 594. P. 153473. https://doi.org/10.1016/j.apsusc.2022.153473
- Тетерин Ю.А., Соболев А.В., Белик А.A. и др. // ЖЭТФ. 2019. Т. 155. № 6. С. 1061. https://doi.org/10.1134/S0044451019060105
- Medvedeva A., Makhonina E., Pechen L. et al. // Materials. 2022. V. 15. № 22. P. 8225. https://doi.org/10.3390/ma15228225
- Qiao L., Xiao H.Y., Meyer H.M. et al. // J. Mater. Chem. C. 2013. V. 1. № 31. P. 4628. https://doi.org/10.1039/C3TC30861H
- Грег С., Синг К. Адсорбция, удельная поверхность, пористость. М.: Мир, 1984. С. 310.
- Kurdyukov D.A., Chernova E.N., Russkikh Y.V. et al. // J. Chromatogr. A. 2017. V. 1513. P. 140. https://doi.org/10.1016/j.chroma.2017.07.043
- Kurdyukov D.A., Eurov D.A., Kirilenko D.A. et al. // Microporous Mesoporous Mater. 2016. V. 223. P. 225. https://doi.org/10.1016/j.micromeso.2015.11.018
- Киселев А.В., Лыгин В.И. Инфракрасные спектры поверхностных соединений. М.: Наука, 1972. С. 459.
- Wang Y.-Z., Zhao Y.-X., Gao C.-G., Liu D.-S. // Catal. Lett. 2007. V. 116. P. 136. https://doi.org/10.1007/s10562-007-9099-4
- Tang C.-W., Wang C.-B., Chien S.-H. // Termochim. Acta. 2008. V. 473. № 1–2. P. 68. https://doi.org/10.1016/j.tca.2008.04.015
- Hou X.-D., Wang Y.-Z., Zhao Y.-X. // Catal. Lett. 2008. V. 123. P. 321. https://doi.org/10.1007/s10562-008-9426-4
- Lukashuk L., Föttinger K., Kolar E. et al. // J. Catal. 2016. V. 344. P. 1. https://doi.org/10.1016/j.jcat.2016.09.002
- Химия привитых поверхностных соединений / Под ред. Г.В. Лисичкина. М.: Физматлит, 2003. С. 49.
- Puskas I., Fleisch T.H., Hall J.B. et al. // J. Catal. 1992. V. 134. № 2. P. 615. https://doi.org/10.1016/0021-9517(92)90347-K
- Tiscornia I.S., Lacoste A.M., Gomez L.E. et al. // Int. J. Hydrog. Energy. 2020. V. 45. № 11. P. 6636. https://doi.org/10.1016/j.ijhydene.2019.12.126
Supplementary files
 
				
			 
					 
						 
						 
						 
						 
				
 
  
  
  Email this article
			Email this article 







