Structural Causes of the Non-Newtonian Behavior of Fluid Systems
- Authors: Matveenko V.N.1, Kirsanov E.A.1
- 
							Affiliations: 
							- Faculty of Chemistry, Moscow State University
 
- Issue: Vol 97, No 8 (2023)
- Pages: 1137-1154
- Section: STRUCTURE OF MATTER AND QUANTUM CHEMISTRY
- Submitted: 15.10.2023
- Published: 01.08.2023
- URL: https://journals.rcsi.science/0044-4537/article/view/136661
- DOI: https://doi.org/10.31857/S0044453723080162
- EDN: https://elibrary.ru/QVSYIY
- ID: 136661
Cite item
Full Text
Abstract
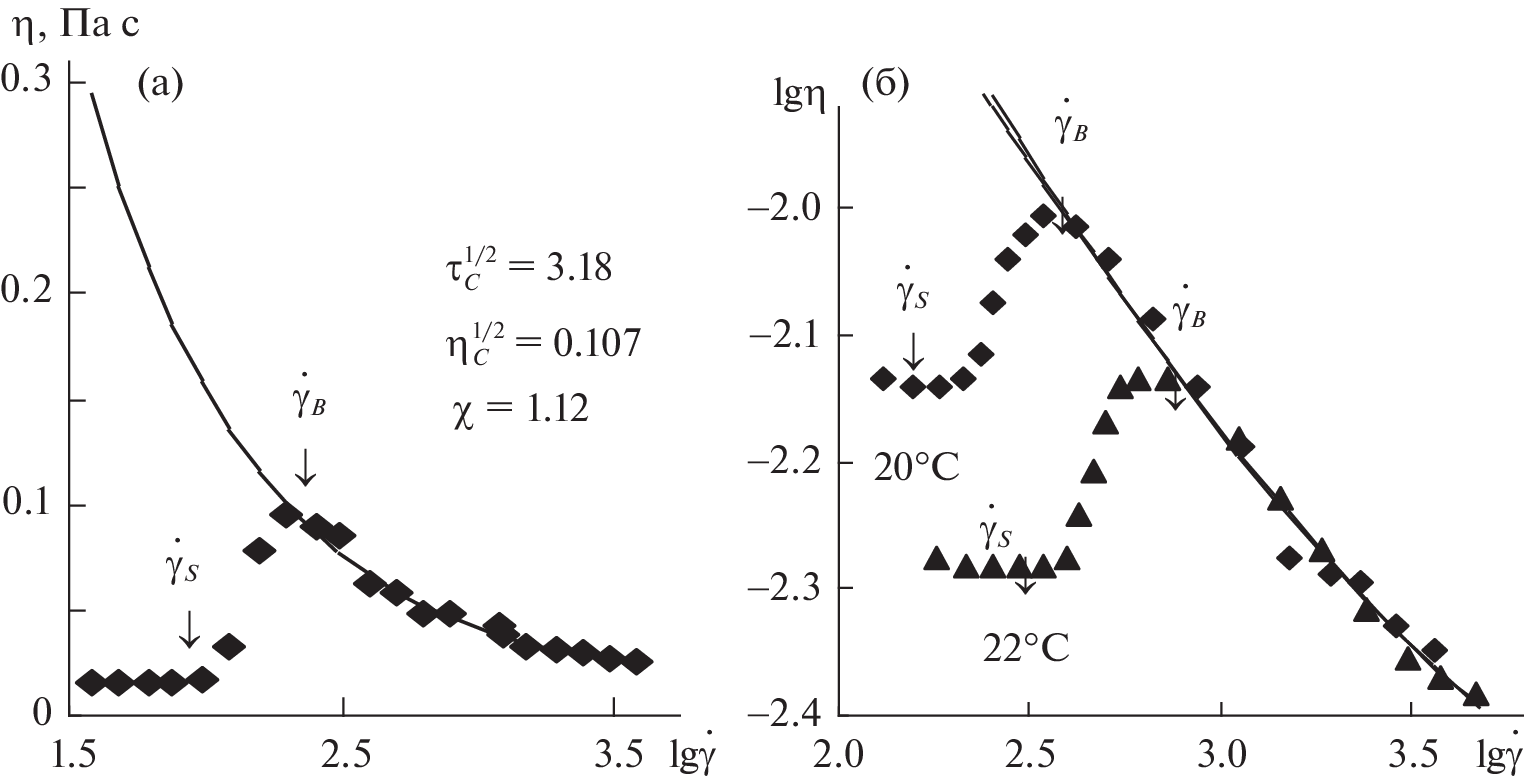
This review considers the well-known results of rheological studies, first of all, the viscosity and flow curves of various dispersed and polymer systems. The existing explanations of the causes of non-Newtonian flow are presented. Various rheological models are described, in which a change in viscosity is associated with a change in the structure of a substance. The new structural rheological model proposed by us is a generalization of the Casson and Cross rheological models. Its scope includes various structured systems: suspensions, emulsions, polymer solutions and melts, micellar solutions, and liquid crystals. Our attention was focused on the features of the stationary shear flow of non-Newtonian systems.
About the authors
V. N. Matveenko
Faculty of Chemistry, Moscow State University
														Email: 13121946VNM@gmail.com
				                					                																			                												                								119991, Moscow, Russia						
E. A. Kirsanov
Faculty of Chemistry, Moscow State University
							Author for correspondence.
							Email: Kirsanov47@mail.ru
				                					                																			                												                								119991, Moscow, Russia						
References
- Виноградов Г.В., Малкин А.Я. Реология полимеров. М.: Химия, 1977. 440 с.
- Малкин А.Я., Исаев А.И. Реология: концепции, методы, приложения / пер. с англ. СПб.: Профессия, 2007. 560 с.
- Barnes H.A. A Handbook of Elementary Rheology. Institute of № n-Newtonian Fluid Mechanics, University of Wales, Aberystwyth. 2000.
- Hunter R.J. Foundations of colloid science. 1995. V. 2. Clarendon Press, Oxford. Chapter 18. Rheology of colloidal dispersions. P. 922.
- Ребиндер П.А. Физико-химическая механика дисперсных структур // Физико-химическая механика дисперсных структур. М.: Наука, 1966. С. 3.
- Урьев Н.Б. // Успехи химии. 2004. Т. 73. № 1. С. 39.
- Бибик Е.Е. Реология дисперсных систем. Л.: Изд-во ЛГУ, 1981. 171 с.
- Шрамм Г. Основы практической реологии и реометрии / Пер. с англ. под ред. В.Г. Куличихина. М.: КолосС, 2003. 312 с.
- Фройштетер Г.Б., Трилиский К.К., Ищук Ю.Л., Ступак П.М. Реологические и теплофизические свойства пластичных смазок / Под ред. Г.В. Виноградова. М.: Химия, 1980. 176 с.
- Кирсанов Е.А., Матвеенко В.Н. Неньютоновское течение дисперсных, полимерных и жидкокристаллических систем. Структурный подход. Москва: ТЕХНОСФЕРА, 2016. 384 с.
- Бэтчелор Дж. Введение в динамику жидкости / Под ред. Р.Ю. Степанова. М.: Мир, 1973. 758 с.
- Tadros Th.F. Introduction // Solid / Liquid dispersions / Ed. Th. F. Tadros. Academic press, London, 1987. P. 1.
- Cross M. // J. Colloid Sci. 1965. V. 20. P. 417.
- Krieger I.M. // Advances in Colloid and Interface science. 1972. V. 3. P. 111.
- Gillespie T. // J. Colloid Sci. 1960. V. 15. P. 219.
- Goodeve C.F. // Trans. Faraday Soc. 1939. V. 35. № 2. P. 342.
- Tanaka H., White J. // J. Non-Newtonian Fluid Mech. 1980. V. 7. P. 333.
- Hunter R.J. // Advances in Colloid and Interface science. 1980. V. 76. P. 107.
- Kuhn W. // Z. Phys. Chem. 1932. Bd. 161. S. 1.
- Casson N. // Rheology of disperse systems / Ed. Mill C.C. London: Pergamon Press, 1959. P. 84.
- Hoffman R.L. // J. Colloid Interface Sci. 1974. V. 46. P. 491.
- Scott Blair G.W. // Rheol. Acta. 1966. V. 5. P. 184.
- Cheng D.C.-H. // Br. Soc. Rheol. Bull. 1989. V. 32. № 1. P. 1.
- Bingham E.C. Fluidity and plasticity. New-York. McGraw-Hill. 1922. 219 p.
- Hershell W.H., Bulkey R. // Kolloid Zeitschrift. 1926. Bd. 39. S. 291.
- Смольский Б.П., Шульман З.П., Гориславец В.Н. Реодинамика и теплообмен нелинейно вязкопластичных материалов. Минск: Наука и техника, 1975. 446 с.
- Ostwald W., Auerbach R. // Kolloid Zeitschrift. 1926. Bd. 38. S. 261.
- Krieger I.M., Dougherty T.J. // Trans. Soc. Rheol. 1959. № 3. P. 137.
- Buscall R. // Colloids and Surf. A. 1994. V. 83. P. 33.
- Williamson R.V. // Ind. Eng. Chem. 1929. V. 21. P. 1108.
- Кирсанов Е.А. // Жидкие кристаллы и их практическое использование. 2006. Вып. 1–2. С. 21.
- Кирсанов Е.А. // Там же. 2012. Вып. 3 (41). С. 79.
- Михайлов Н.В., Ребиндер П.А. // Коллоидн. журн. 1955. Т. 17. № 2. С. 107.
- Матвеенко В.Н., Кирсанов Е.А. // Вестн. Моск. ун-та. Сер. 2. Химия. 2011. Т. 52. № 4. С. 243.
- Hunter R.J., Frayne J. // J. Colloid Interface Sci. 1980. V. 76. № 1. P. 107.
- Ree T., Eyring H. // Appl. Phys. 1955. V. 26. P. 793.
- Кирсанов Е.А., Тимошин Ю.Н. // Жидкие кристаллы и их практическое использование. 2013. Вып. 3 (45). С. 35.
- Кирсанов Е.А., Тимошин Ю.Н. // Там же. 2010. Вып. 4 (34). С. 38.
- Oda R., Panizza P., Schmutz M., Lequeux F. // Langmuir. 1997. V. 13. P. 6407.
- Hartmann V., Cressely R. // J. Phys. II France. 1997. V. 7. P. 1087.
- Кирсанов Е.А., Тимошин Ю.Н. // Жидкие кристаллы и их практическое использование. 2012. Вып. 4 (42). С. 71.
- Youngsuk Heo. Universal scaling of linear and №nlinear rheological properties of semidilute and concentrated polymer solutions. Thesis Ph.D. University of Michigan. 2008. 122 p.
- Матвеенко В.Н., Кирсанов Е.А. Структурное обоснование неньютоновского течения Вестник МГУ. Серия 2. Химия. 2017. Т. 58. № 2. С. 59.
- Dzuy Ng.Q., Boger D.V. // J. Rheology. 1983. V. 27. № 4. P. 321.
- Hieber C.A., Chiang H.H. // Rheol. Acta. 1989. V. 28. P. 451.
- Kalman D.R., Rosen B.A., Wagner N.J. // The XV Intern. Congress on Rheology. 2008. P. 1408.
- Grizzuti N., Cavella S., Cicarelli P. // J. Rheol. 1990. V. 34. № 8. P. 1293.
- Tuinier R., Kruif C. // J. Colloid Interface Sci. 1999. V. 218. P. 201.
- Фролов Ю.Г. Курс коллоидной химии. М.: ООО ТИД Альянс, 2004. 464 с. Гл. VII.
- Markovitz H. // J. Rheology. 1985. V. 29. № 6. P. 777.
- Barnes H.A., Walters K. // Rheol. Asta. 1985. V. 24. № 4. P. 323.
- Кирсанов Е.А., Матвеенко В.Н. Вязкость и упругость структурированных жидкостей. Москва: ТЕХНОСФЕРА. 2022. 283 с.
- Матвеенко В.Н., Кирсанов Е.А., Ремизов С.В. // Вестн. Моск. ун-та. Сер. 2. Химия. 2006. Т. 47. № 6. С. 393.
- Кирсанов Е.А., Ремизов С.В., Новоселова Н.В., Матвеенко В.Н. // Вестн. Моск. ун-та. Сер. 2. Химия. 2007. Т. 48. № 1. С. 22.
- Кирсанов Е.А. Течение дисперсных и жидкокристаллических систем. Иваново: Изд-во “Ивановский государственный университет”. 2006. 232 с.
- Maron S.N., Fok S.M. // J. Colloid Sci. 1955. V. 10. P. 482.
- Maron S.N., Levy-Pascal A.E. // J. Colloid Sci. 1955. V. 10. P. 494.
- Hertel D. Flow of polyethylene melts within and into rectangular ducts investigated by laser-Doppler velocimetry. 2007. PhD Thesis. Friedrich-Alexander-Universitat Erlangen-Nurnberg. Sierke Verlag, Gottingen.
- Матвеенко В.Н., Кирсанов Е.А. // Журн. прикл. химии. 2018. Т. 91. Вып. 5. С. 720.
- Кирсанов Е.А. // Жидкие кристаллы и их практическое использование. 2011. Вып. 4 (38). С. 110.
- Кирсанов Е.А., Тимошин Ю.Н. // Там же. 2011. Вып. 1 (35). С. 48.
- Кирсанов Е.А., Тимошин Ю.Н. // Там же. 2013. Вып. 3 (45). С. 79.
- Матвеенко В.Н., Кирсанов Е.А., Ремизов С.В. // Коллоидн. журн. 1994. Т. 56. № 3. С. 393.
- Matveenko V.N., Kirsanov E.A. // Colloids and Surfaces A. 1995. V. 101. P. 1.
- Kirsanov E.A., Remizov S.V. // Rheol. Acta. 1999. V. 38. P. 172.
Supplementary files
 
				
			 
					 
						 
						 
						 
						 
				
 
  
  
  Email this article
			Email this article 

















