Dicationic Ionic Liquids with a Linker of Ether Nature
- Authors: Krasovskii V.G.1, Kapustin G.I.1, Glukhov L.M.1, Chernikova E.A.1, Kustov L.M.1,2
-
Affiliations:
- Zelinsky Institute of Organic Chemistry, Russian Academy of Sciences
- Department of Chemistry, Moscow State University
- Issue: Vol 97, No 9 (2023)
- Pages: 1262-1271
- Section: STRUCTURE OF MATTER AND QUANTUM CHEMISTRY
- Submitted: 15.10.2023
- Published: 01.09.2023
- URL: https://journals.rcsi.science/0044-4537/article/view/136653
- DOI: https://doi.org/10.31857/S0044453723090108
- EDN: https://elibrary.ru/XKFZEM
- ID: 136653
Cite item
Full Text
Abstract
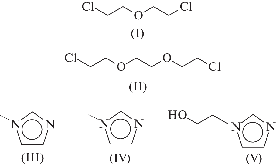
Bis(trifluoromethylsulfonyl)imide dicationic ionic liquids with an ethereal linker between imidazolium cations have been synthesized. Their thermal stability has been studied, melting points, viscosity, and volatility in vacuum have been measured. The properties of the synthesized ionic liquids with ethereal linkers have been compared with the properties of ionic liquids of a similar structure, but with polymethylene linkers.
About the authors
V. G. Krasovskii
Zelinsky Institute of Organic Chemistry, Russian Academy of Sciences
Email: miyusha@mail.ru
119991, Moscow, Russia
G. I. Kapustin
Zelinsky Institute of Organic Chemistry, Russian Academy of Sciences
Email: miyusha@mail.ru
119991, Moscow, Russia
L. M. Glukhov
Zelinsky Institute of Organic Chemistry, Russian Academy of Sciences
Email: miyusha@mail.ru
119991, Moscow, Russia
E. A. Chernikova
Zelinsky Institute of Organic Chemistry, Russian Academy of Sciences
Email: miyusha@mail.ru
119991, Moscow, Russia
L. M. Kustov
Zelinsky Institute of Organic Chemistry, Russian Academy of Sciences; Department of Chemistry, Moscow State University
Author for correspondence.
Email: miyusha@mail.ru
119991, Moscow, Russia; 119992, Moscow, Russia
References
- Kaur G., Kumar H., Singla M. // J. Mol. Liq. 2022. V. 351. P. 118556.https://doi.org/10.1016/j.molliq.2022.118556
- Pei Y., Zhang Y., Ma J. et al. // Materials Today Nano. 2022. V. 17. 100159.https://doi.org/10.1016/j.mtnano.2021.100159
- Ivanov M.Yu., Surovtsev N.V., Fedin M.V. // Успехи химии. 2022. Т. 91. RCR5031
- Tomar P., Jain D. // J. Adv. Sci. Res. 2022. V. 13. P. 1.https://doi.org/10.55218/JASR.202213601
- Kazemi M., Shiri L. // J. Synth. Chem. 2022. V. 1. P. 1.https://doi.org/10.22034/jsc.2022.149201
- Tiago G.A.O., Matias I.A.S., Ribeiro A.P. C. et al. // Molecules. 2020. V. 25. 5812. https://doi.org/10.3390/molecules25245812
- Zheng Y., Wang D., Kaushik S. et al. // EnergyChem. 2022. V. 4. 100075.https://doi.org/10.1016/j.enchem.2022.100075
- Yudaev P.A., Chistyakov E.M. // ChemEngineering. 2022. V. 6. P. 6.https://doi.org/10.3390/chemengineering6010006
- Mahanty B., Mohapatra P K. // Separation Science and Technology. 2022. V. 57. P. 2792.https://doi.org/10.1080/01496395.2022.2038204
- Friess K., Izak P., Karaszova M. et al. // Membranes. 2021. V. 11. P. 97.https://doi.org/10.3390/membranes11020097
- Ocreto J.B., Chen W.-H., Rollon A.P. et al. // Chem. Eng. J. 2022. V. 445. 136733.https://doi.org/10.1016/j.cej.2022.136733
- Ali M.K.A., Abdelkareem M.A.A., Chowdary K. et al. // Proceedings of the Institution of Mechanical Engineers, Part J: Journal of Engineering Tribology. 2023. V. 237. P. 3.https://doi.org/10.1177/13506501221091133
- Piper S.L., Kar M., MacFarlane D.R. et al. // Green Chem. 2022. V. 24. P. 102.https://doi.org/10.1039/D1GC03420K
- Li D.-D., Ji X.-Y., Chen M. et al. // J. Electrochem. 2022. V. 28. 2219002.https://doi.org/10.13208/j.electrochem.2219002
- Verissimo N.V., Vicente F.A., de Oliveira R.C. et al. // Biotechnology Advances. 2022. V. 61. 108055.https://doi.org/10.1016/j.biotechadv.2022.108055
- Lu B., Liu T., Wanga H. et al. // J. Mol. Liq. 2022. V. 351. 118643.https://doi.org/10.1016/j.molliq.2022.118643
- Ali K., Moshikur R., Goto M. et al. // Pharmaceutical Research. 2022. V. 39. P. 2335.https://doi.org/10.1007/s11095-022-03322-x
- Kamimura A., Kawamoto T., Fujii K. // Chem. Rec. 2023. e202200269.https://doi.org/10.1002/tcr.202200269
- Kadokawa J. // Mater. Adv. 2022. V. 3. P. 3355.https://doi.org/10.1039/d2ma00101b
- Ben Salah H., Nancarrow P., Al-Othman A. // Fuel. 2021. V. 302. 121195.https://doi.org/10.1016/j.fuel.2021.121195
- Lal B., Qasim A., Shariff A. M. Ionic Liquids Usage in Oil and Gas Industry. Chapter in book: Ionic Liquids in Flow Assurance. Springer Briefs in Petroleum Geoscience & Engineering. Springer, Cham. 2021. 71 p.https://doi.org/10.1007/978-3-030-63753-8_1
- Dong H., Wu Z., Li X., Guo X. et al. // Energy Fuels. 2022. V. 36. P. 6831.https://doi.org/10.1021/acs.energyfuels.2c01021
- Kharazi M., Saien J., Asadabadi S. // Topics in Current Chemistry. 2022. V. 380. 5.https://doi.org/10.1007/s41061-021-00362-6
- Zhang R., Ke Q., Zhang Z. et al. // Int. J. Mol. Sci. 2022. V. 23. 11401.https://doi.org/10.3390/ijms231911401
- Zhao H., Baker G.A. // Green Chemistry Letters and Reviews. 2023. V. 16. 2149280.https://doi.org/10.1080/17518253.2022.2149280
- Mishra D.K., Hussain R., Pugazhenthi G. et al. // ACS Sustainable Chem. Eng. 2022. V. 10. P. 6157.https://doi.org/10.1021/acssuschemeng.2c00561
- Bilgiç G. Investigation of Boron-Based Ionic Liquids for Energy Applications. Chapter in book: Characteristics and Applications of Boron. 2022. 26 p. https://doi.org/10.5772/intechopen.105970
- Paduszynski K., Kłebowski K., Krolikowska M. // J. Mol. Liq. 2021. V. 344. 117631.https://doi.org/10.1016/j.molliq.2021.117631
- Rehman A., Zaini D.B., Lal B. // Process Safety Progress. 2022. V. 41. P. S141.https://doi.org/10.1002/prs.12349
- Bodo E. // J. Phys. Chem. B. 2022. V. 126. P. 3.https://doi.org/10.1021/acs.jpcb.1c09476
- Ionic Liquid Market Size − Global Industry, Share, Analysis, Trends and Forecast 2022–2030 (https://www.acumenresearchandconsulting.com/ionic-liquid-market)
- Bender C.R., Kuhn B.L., Farias C.A.A. et al. // J. Braz. Chem. Soc. 2019. V. 30. P. 2199.https://doi.org/10.21577/0103-5053.20190114
- Xu C., Cheng Z. // Processes. 2021. V. 9. P. 337.https://doi.org/10.3390/pr9020337
- Chakraborty M., Barik S., Mahapatra A. et al. // J. Phys. Chem. B. 2021. V. 125. P. 13015.https://doi.org/10.1021/acs.jpcb.1c07442
- Cai S., Tao C., Yao T. et al. // Pet. PetroChem. Eng. J. 2021. V. 5. 00028.https://doi.org/10.23880/ppej-16000288
- Chen Y., Han X., Liu Z. et al. // J. Mol. Liq. 2022. V. 366. 120336.https://doi.org/10.1016/j.molliq.2022.120336
- Lovelock K.R.J., Deyko A., Corfield J.-A. et al. // ChemPhysChem. 2009. V. 10. P. 337.https://doi.org/10.1002/cphc.200800690
- Montalbana M.G., Vílloraa G., Licence P. // Ecotoxicology and Environmental Safety. 2018. V. 150. P. 129.https://doi.org/10.1016/j.ecoenv.2017.11.073
- Shirota H., Mandai T., Fukazawa H. et al. // J. Chem. Eng. Data. 2011. V. 56. P. 2453.https://doi.org/10.1021/je2000183
- Majhi D., Seth S., Sarkar M. // Phys. Chem. Chem. Phys. 2018. V. 20. 7844.https://doi.org/10.1039/c7cp08630j
- Cao Y., Mu T. // Ind. Eng. Chem. Res. 2014. V. 53. P. 8651.https://doi.org/10.1021/ie5009597
- Haddad B., Kiefer J., Brahim H. et al. // Appl. Sci. 2018. V. 8. 1043.https://doi.org/10.3390/app8071043
- Jin C., Ye C., Phillips B.S. et al. // J. Mater. Chem. 2006. V. 16. P. 1529.https://doi.org/10.1039/B517888F
- Красовский В.Г., Капустин Г.И., Глухов Л.М. др. // Журн. физ. химии. 2022. Т. 96. С. 1031.https://doi.org/10.1134/S0036024422070172
- Lowe J.P. Barriers to Internal Rotation about Single Bonds. Chapter in book: Progress in Physical Organic Chemistry. V. 6 (P. 1.) Edited by A. Streitwieser, Jr. R. W. Taft. John Wiley & Sons, Inc. 1968.https://doi.org/10.1002/9780470171851.ch1
- Масимов Э.А., Пашаев Б.Г., Гасанов Г.Ш. и др. // Журн. физ. химии. 2019. Т. 93. С. 845.https://doi.org/10.1134/S0036024419060207
- Flory P.J. Statistical Mechanics of Chain Molecules, Wiley: New York 1969, 432 p. (ISBN 0-470-26495-0); reissued 1989 (ISBN 1-56990-019-1)
- Everaers R., Karimi-Varzaneh H.A., Fleck F. et al. // Macromolecules. 2020. V. 53. P. 1901.https://doi.org/10.1021/acs.macromol.9b02428
- Solution Chemistry Research Progress. Ed. D.V. Bostrelli, New York: Nova Science, 2011. 187 p.
- Huang H.-C., Yen Y.-C., Chang J.-C. et al. // J. Mater. Chem. A. 2016. V. 4. P. 19160.https://doi.org/10.1039/C6TA08203C
- Zhang L., Zhang Z., Sun Y. et al. // Ind. Eng. Chem. Res. 2013. V. 52. P. 16335.https://doi.org/10.1021/ie4022682
- Mei X., Yue Z., Ma Q. et al. // J. Mol. Liq. 2018. V. 272. P. 1001.https://doi.org/10.1016/j.molliq.2018.10.085
- Web Site Wired Chemist (https://www.wiredchemist.com/chemistry/data/bond_energies_lengths.html)
- University of Texas. General Chemistry. Data and Tables. (https://gchem.cm.utexas.edu/data/section2.php?target=bond-energies-table4.php)
- Красовский В.Г., Черникова Е.А., Глухов Л.М. и др. // Журн. физ. химии. 2018. Т. 92. С. 1851.
- Красовский В.Г., Черникова Е.А., Глухов Л.М. и др. // Изв. Академии наук. Сер. Хим. 2018. Т. 67. С. 1621.https://doi.org/10.1007/s11172-018-2268-3
- Krasovskiy V.G., Kapustin G.I., Gorbatsevich O.B. et al. // Molecules. 2020. V. 25. 2949.https://doi.org/10.3390/molecules25122949
Supplementary files

















