Electrocatalytic Reduction of CO2 when Using N-Substituted Salts of 2,4,6-Triphenylpyridine
- Autores: Knyazev A.V.1, Dolganov A.V.2, Klimaeva L.A.2, Kostryukov S.G.2, Kozlov A.S.2, Yudina A.D.2, Tarasova O.V.2
- 
							Afiliações: 
							- Lobachevsky State University
- Ogarev Mordovian State University
 
- Edição: Volume 97, Nº 8 (2023)
- Páginas: 1097-1105
- Seção: CHEMICAL KINETICS AND CATALYSIS
- ##submission.dateSubmitted##: 15.10.2023
- ##submission.datePublished##: 01.08.2023
- URL: https://journals.rcsi.science/0044-4537/article/view/136651
- DOI: https://doi.org/10.31857/S0044453723080058
- EDN: https://elibrary.ru/QTUEON
- ID: 136651
Citar
Texto integral
Resumo
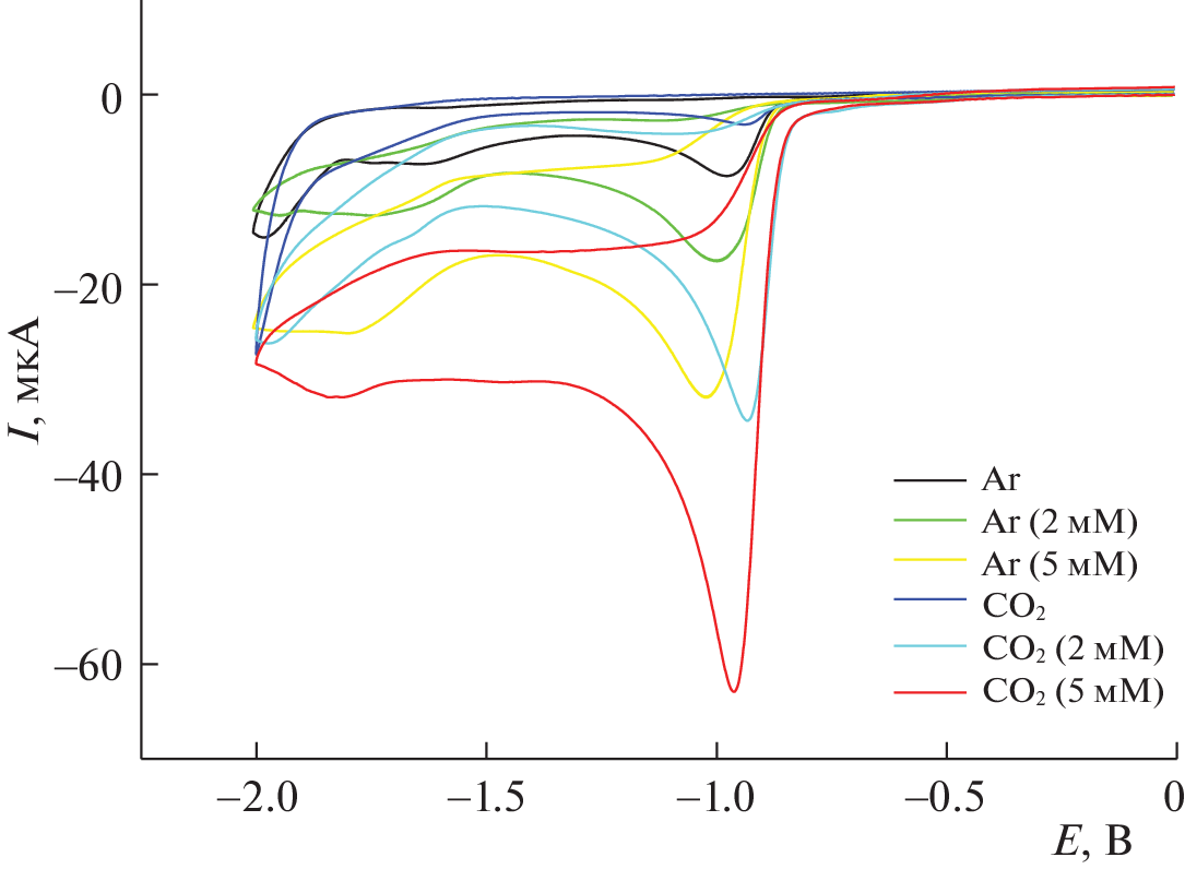
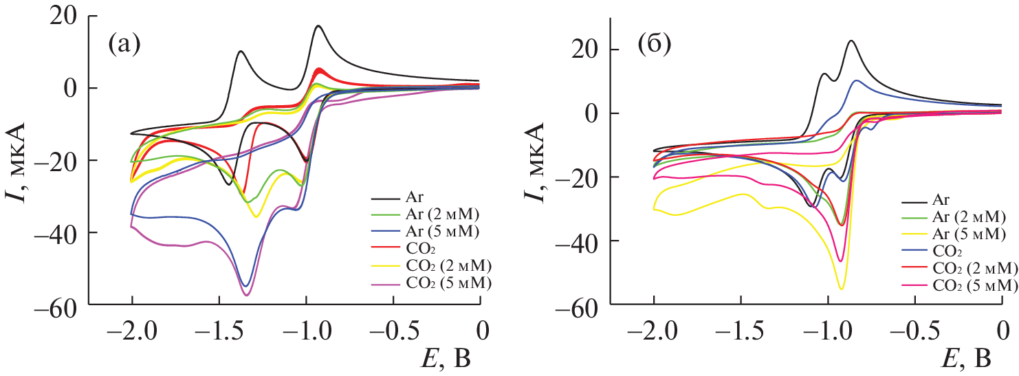
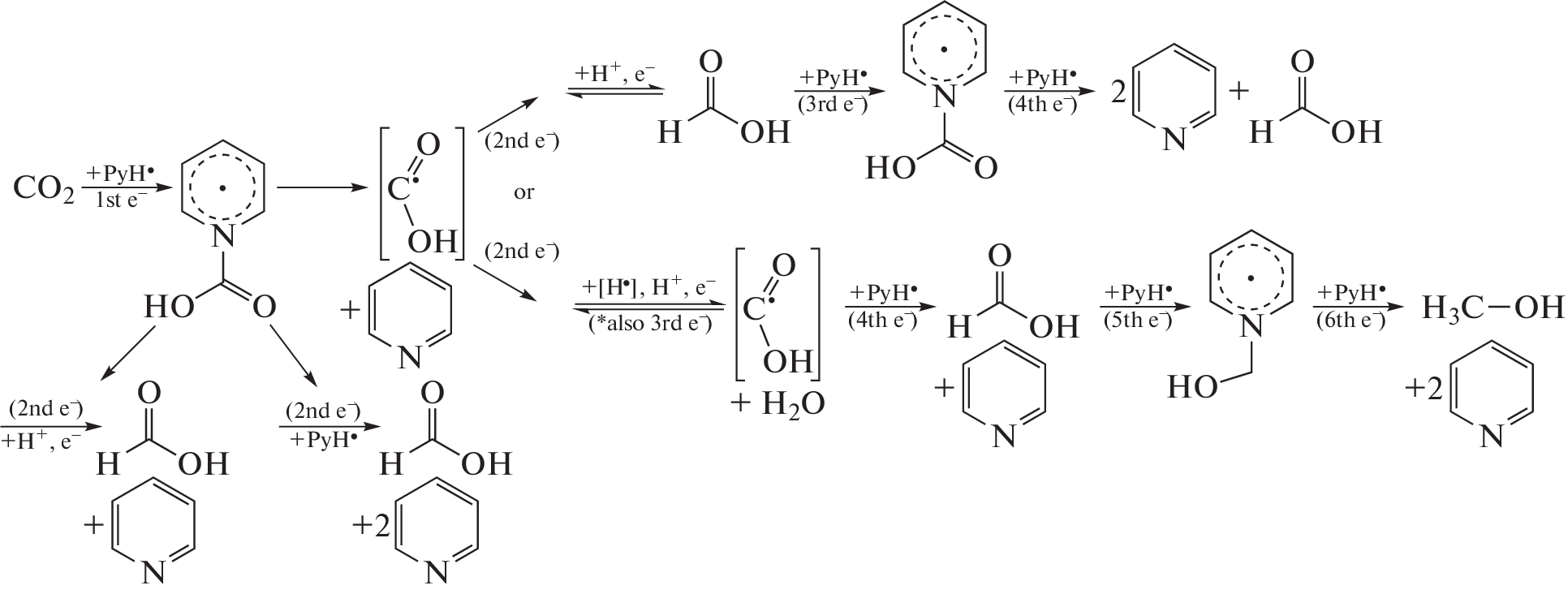
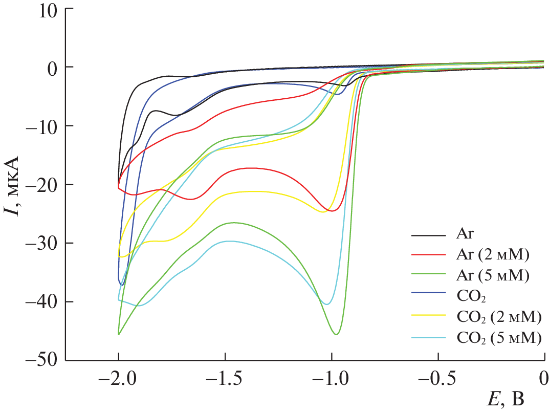
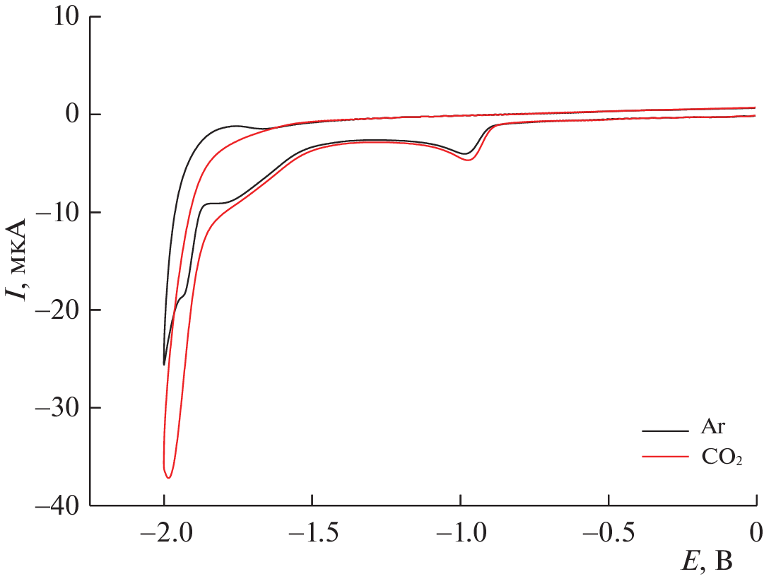
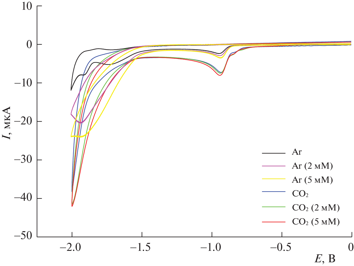
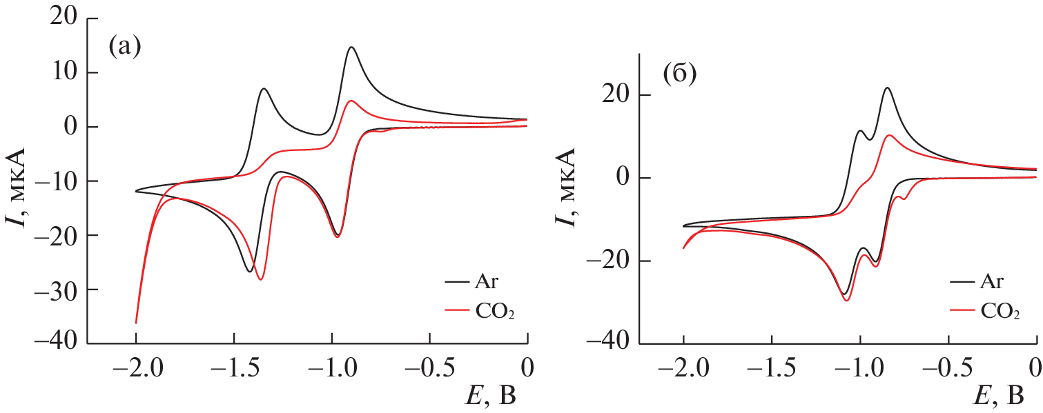
A study is performed of the electrocatalytic activity of substituted pyridine salts (N-hydro-, N‑methyl-, and N-phenyl-2,4,6-triphenylpyridinium perchlorates) in the electroreduction of carbon dioxide to carbon monoxide. The effect the natures of the substituent and the H+ source have on the efficiency of the process is determined. The main reasons for the occurrence of the electrocatalytic process are identified, and the values of TOF (catalyst speed) and TON (number of revolutions of the catalyst) are calculated. It is shown that the values of TOF and TON fall as the pK of the acid rises.
Palavras-chave
Sobre autores
A. Knyazev
Lobachevsky State University
														Email: dolganov_sasha@mail.ru
				                					                																			                												                								Россия, Н.-Новгород						
A. Dolganov
Ogarev Mordovian State University
														Email: dolganov_sasha@mail.ru
				                					                																			                												                								430005, Saransk, Russia						
L. Klimaeva
Ogarev Mordovian State University
														Email: dolganov_sasha@mail.ru
				                					                																			                												                								430005, Saransk, Russia						
S. Kostryukov
Ogarev Mordovian State University
														Email: dolganov_sasha@mail.ru
				                					                																			                												                								430005, Saransk, Russia						
A. Kozlov
Ogarev Mordovian State University
														Email: dolganov_sasha@mail.ru
				                					                																			                												                								430005, Saransk, Russia						
A. Yudina
Ogarev Mordovian State University
														Email: dolganov_sasha@mail.ru
				                					                																			                												                								430005, Saransk, Russia						
O. Tarasova
Ogarev Mordovian State University
							Autor responsável pela correspondência
							Email: dolganov_sasha@mail.ru
				                					                																			                												                								430005, Saransk, Russia						
Bibliografia
- Liu J.-L., Wang X., Li X.-S. et al. // J. Phys. D: Appl. Phys. 2020. V. 53. № 25. P. 253001.https://doi.org/10.1088/1361-6463/ab7c04
- Jenkinson D.S., Adams D.E., Wild A. // Nature. 1991. V. 351. № 6324. P. 304. https://doi.org/10.1038/351304a0.
- Weimer T., Schaber K., Specht M. et al. // Energy Conversion and Management/ 1996. V. 370020 № 6–8. P. 1351.https://doi.org/10.1016/0196-8904(95)00345-2
- Ren S., Joulié D., Salvatore D. // Science. 2019. V. 365. № 6451. P. 367.https://doi.org/10.1126/science.aax4608
- Jin S., Hao Z., Zhang K. // Angewandte Chemie. 2021. V. 133. № 38. P. 20795.https://doi.org/10.1002/ange.202101818
- Nielsen D.U., Hu X.-M. // Nat. Catal. 2018. V. 1. № 4. P. 244.https://doi.org/10.1038/s41929-018-0051-3
- Hori Y., Wakebe H., Tsukamoto T. et al. // Electrochimica Acta. 1994. № 39. № 11–12. P. 1833.https://doi.org/10.1016/0013-4686(94)85172-7
- Gao X., Liang J., Wu L. et al. // Catalysts. 2022. V. 12. № 1. P. 66.https://doi.org/10.3390/catal12010066
- Frontera P., Macario A., Ferraro M. et al. // Catalysts. 2017. V. 7. № 12. P. 59.https://doi.org/10.3390/catal7020059
- Mikhail M., Wang B., Jalain R. et al. // Reac. Kinet. Mech. Cat. 2019. V. 126. № 2. P. 629–643.https://doi.org/10.1007/s11144-018-1508-8
- Zhu D.D., Liu J.L., Qiao S.Z. // Adv. Mater. 2016. V. 28. № 18. P. 3423.https://doi.org/10.1002/adma.201504766
- Alberico E., Nielsen M. // Chem. Commun. 2015. V. 51. № 31. P. 6714.https://doi.org/10.1039/C4CC09471A
- Dong K., Razzaq R., Hu Y. // Top Curr. Chem. (Z). 2017. V. 375. № 2. P. 23.https://doi.org/10.1007/s41061-017-0107-x
- Boutin E., Robert M. // Trends in Chemistry. 2021. V. 3. № 5. P. 359.https://doi.org/10.1016/j.trechm.2021.02.003
- Qiao J., Liu Y., Hong F. // Chem. Soc. Rev. 2014. V. 43. № 2. P. 631.https://doi.org/10.1039/C3CS60323G
- Zheng Y., Vasileff A., Zhou X. et al. // J. Am. Chem. Soc. 2019. V. 141. № 19. P. 7646.https://doi.org/10.1021/jacs.9b02124
- Lim R.J., Xie M., Sk M.A. et al. // Catalysis Today. 2014. V. 233. P. 169.https://doi.org/10.1016/j.cattod.2013.11.037
- Specht M. // International Journal of Hydrogen Energy. 1998. V. 23. № 5. P. 387.https://doi.org/10.1016/S0360-3199(97)00077-3
- Barton Cole E., Lakkaraju P.S., Rampulla D.M. et al. // J. Am. Chem. Soc. 2010. V. 132. № 33. P. 11539.https://doi.org/0.1021/ja1023496
- Dolganov A.V., Tanaseichuk B.S., Pryanichnikova M.K., et al. // J. Phys. Org. Chem. 2019. V. 32. № 5. e3930.https://doi.org/10.1002/poc.3930
- Dolganov A.V., Muryumin E.E., Chernyaeva O.Y. et al. // Materials Chemistry and Physics. 2019. V. 224. P. 148.https://doi.org/10.1016/j.matchemphys.2018.12.006
- Dolganov A.V., Tanaseichuk, B.S., Tsebulaeva Y.V. et al. // Int. J. Electrochem. Sci. 2016. P. 9559.https://doi.org/10.20964/2016.11.24
- Dolganov A.V., Tanaseichuk B.S., Yurova V.Yu. et al. // Intern. J. of Hydrogen Energy 2019. V. 44. № 39. P. 21495.https://doi.org/10.1016/j.ijhydene.2019.06.067
- Dolganov A.V., Tanaseichuk B.S., Moiseeva D.N. et al. // Electrochem. Commun., 2016. V. 68. P. 59. https://doi.org/10.1016/j.elecom.2016.04.015
- Dolganov A.V., Chernyaeva O.Y., Kostryukov S.G. et al. // Intern. J. of Hydrogen Energy 2020. V. 45. № 1. P. 501.https://doi.org/10.1016/j.ijhydene.2019.10.175
- Ganz O.Yu., Klimaeva L.A., Chugunov D.B. et al. // Russ. J. Phys. Chem. 2022. V. 96 № 5. P. 954.https://doi.org/10.1134/S0036024422050120
- Klimaeva L.A., Ganz O.Yu., Chugunov D.B. et al. // Russ. J. Phys. Chem. 2022. V. 96. № 5. P. 958.https://doi.org/10.1134/S0036024422050156
- Urban J., Volke J. // Collect. Czech. Chem. Commun. 1994. V. 59. № 11. P. 2545.https://doi.org/10.1135/cccc19942545
Arquivos suplementares
 
				
			 
						 
						 
					 
						 
						 
				
 
  
  
  Enviar artigo por via de e-mail
			Enviar artigo por via de e-mail 











