Using a Neural Network to Study the Effect of the Means of Synthesizing Exfoliated Graphite on Its Macropore Structure
- Authors: Krautsou A.V.1, Shornikova O.N.1, Avdeev V.V.1
-
Affiliations:
- Faculty of Chemistry, Moscow State University
- Issue: Vol 97, No 6 (2023)
- Pages: 821-826
- Section: STRUCTURE OF MATTER AND QUANTUM CHEMISTRY
- Submitted: 15.10.2023
- Published: 01.06.2023
- URL: https://journals.rcsi.science/0044-4537/article/view/136620
- DOI: https://doi.org/10.31857/S0044453723060110
- EDN: https://elibrary.ru/JIBFGL
- ID: 136620
Cite item
Full Text
Abstract
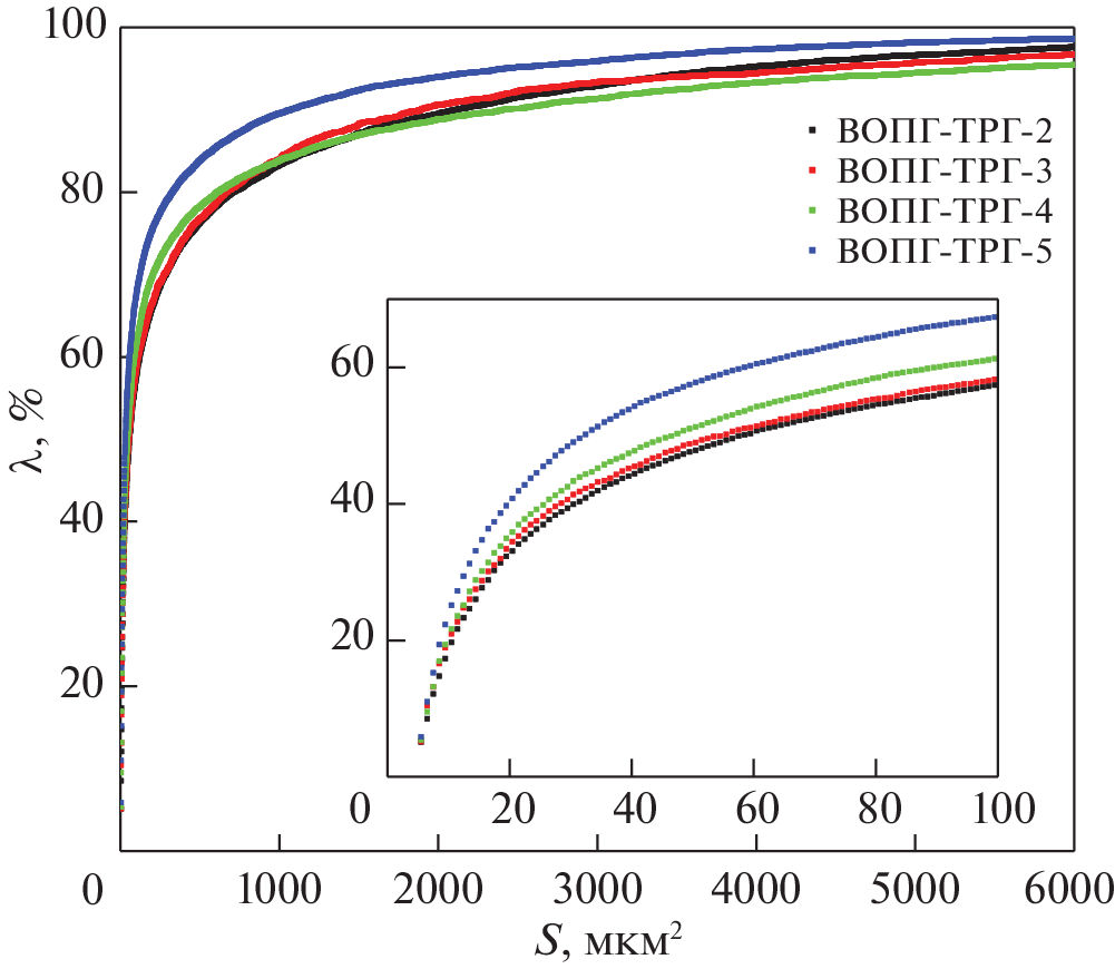
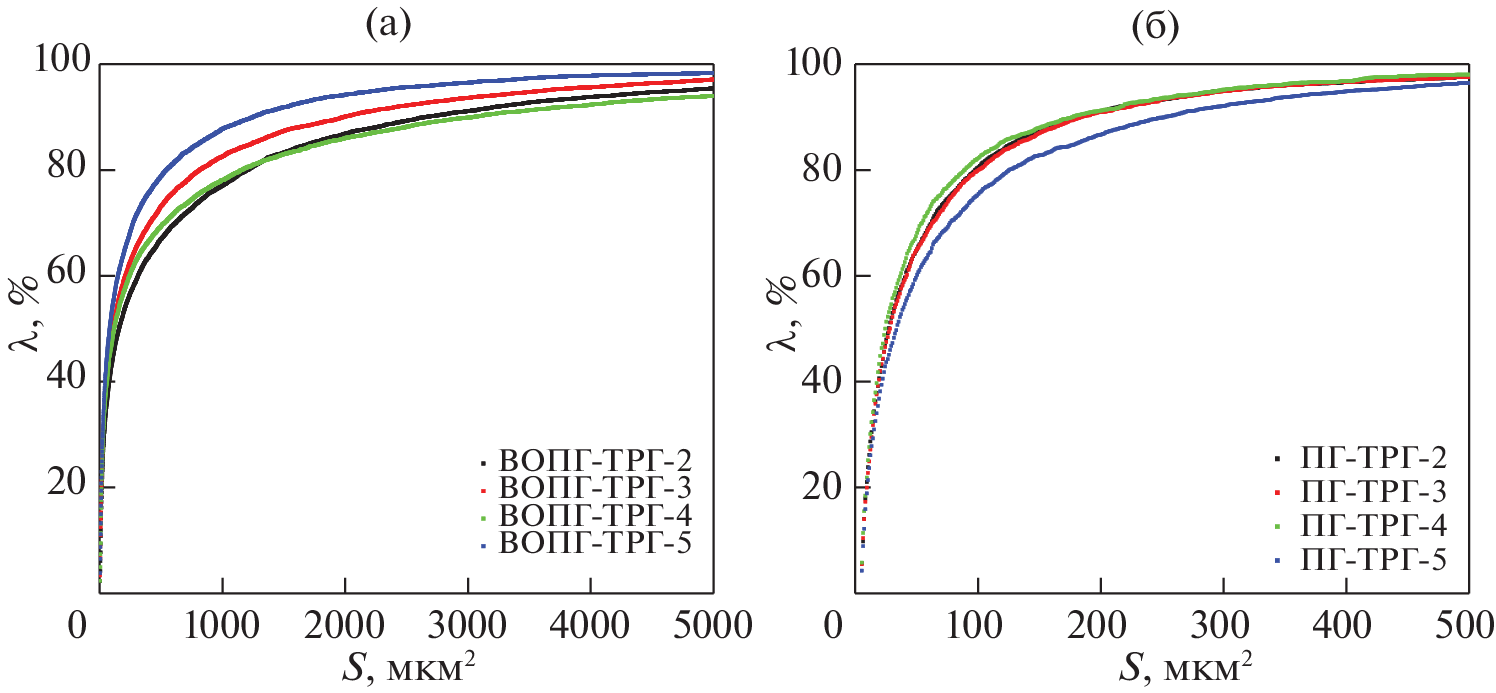
Graphite intercalated compounds (GICs) with different stage numbers are prepared chemically from highly oriented pyrolytic graphite (HOPG), natural flaked graphite (FG) and nitric acid. Exfoliated graphite samples (EG-T) are synthesized from GICs via water treatment followed by thermal shock. The aim of this work is to investigate the dependence of the inner EG-T pore structure on the extent of oxidation and type of graphite by processing scanning electron microscopy (SEM) micrographs of EG-T cross sections. A procedure is developed on the basis of a deep convolutional neural network that speeds up image processing with no appreciable loss of accuracy. A strong correlation is found between EG-T pore structure parameters, the depth of oxidation, and the type of graphite.
About the authors
A. V. Krautsou
Faculty of Chemistry, Moscow State University
Email: aleksei.kravtsov@chemistry.msu.ru
119991, Moscow, Russia
O. N. Shornikova
Faculty of Chemistry, Moscow State University
Email: aleksei.kravtsov@chemistry.msu.ru
119991, Moscow, Russia
V. V. Avdeev
Faculty of Chemistry, Moscow State University
Author for correspondence.
Email: aleksei.kravtsov@chemistry.msu.ru
119991, Moscow, Russia
References
- Chung D.D.L. // J. Mater. Sci. 2016. V. 51. P. 554. https://doi.org/10.1007/s10853-015-9284-6
- Nayak S.K., Mohanty S., Nayak S.K. // High Perform. Polym. 2019. V. 32. P. 506. https://doi.org/10.1177/0954008319884616
- Sorokina N.E., Redchitz A.V., Ionov S.G. et al. // J. Phys. Chem. Solids. 2006. V. 67. P. 1202. https://doi.org/10.1016/j.jpcs.2006.01.048
- Inagaki M., Kang F., Toyoda M. et al. // Advanced Materials Science and Engineering of Carbon, Butterworth-Heinemann. 2014. P. 313. https://doi.org/10.1016/B978-0-12-407789-8.00014-4
- Wang Z., Han E., Ke W. // Corros. Sci. 2007. V. 49. P. 2237. https://doi.org/10.1016/j.corsci.2006.10.024
- Inagaki M., Suwa T. // Carbon. 2001. V. 39. P. 915. https://doi.org/10.1016/S0008-6223(00)00199-8
- Inagaki M., Tashiro R., Washino Y. et al. // J. Phys. Chem. Solids. 2004. V. 65. P. 133. https://doi.org/10.1016/j.jpcs.2003.10.007
- Inagaki M., Saji N., Zheng Y.-P. et al. // TANSO. 2004. V. 2004. P. 258. https://doi.org/10.7209/tanso.2004.258
- Bellens S., Vandewalle P., Dewulf W. // Procedia CIRP. 2020. V. 96. P. 336. https://doi.org/10.1016/j.procir.2021.01.157
- Varfolomeev I., Yakimchuk I., Safonov I. // Computers. 2019. V. 8. № 4. P. 72. https://doi.org/10.3390/computers8040072
- Li X., Lai T., Wang S. et al. // 2019 IEEE Intl. Conf. Parallel Distrib. Process. with Appl. Big Data Cloud Comput. Sustain. Comput. Commun. Soc. Comput. Networking. 2019. P. 1500. https://doi.org/10.1109/ISPA-BDCloud-SustainCom-SocialCom48970.2019.00217
- Kang F., Zheng Y.-P., Wang H.-N. et al. // Carbon. 2002. V. 40. № 9. P. 1575. https://doi.org/10.1016/S0008-6223(02)00023-4
Supplementary files






